1 210 318 126,00 zł 46 151 221 90,60 zł 2 288 411 172,80 zł 47 119

Transkrypt

1 210 318 126,00 zł 46 151 221 90,60 zł 2 288 411 172,80 zł 47 119
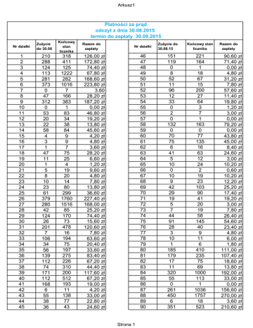
Arkusz1
Płatności za prąd
odczyt z dnia 30.08.2015
termin do zapłaty 30.09.2015
Nr działki
1
2
3
4
5
6
7
8
9
10
11
12
13
14
15
16
17
18
19
20
21
22
23
24
25
26
27
28
29
30
31
32
33
34
35
36
37
38
39
40
41
42
43
44
45
Zużycie
do 30.08
210
288
124
113
281
373
0
47
312
0
53
20
22
58
4
3
1
47
11
1
5
8
10
23
61
379
280
42
124
26
201
7
106
34
56
139
112
74
171
112
168
6
55
38
36
Końcowy
stan
licznika
318
411
125
1222
282
1016
7
166
383
1
83
34
38
84
9
9
7
75
25
4
19
20
14
80
299
1760
1516
85
170
73
478
16
194
75
197
275
226
310
200
512
193
11
138
77
43
Razem do
zapłaty
Nr działki
46
47
48
49
50
51
52
53
54
55
56
57
58
59
60
61
62
63
64
65
66
67
68
69
70
71
72
73
74
75
76
77
78
79
80
81
82
83
84
85
86
87
88
89
90
126,00 zł
172,80 zł
74,40 zł
67,80 zł
168,60 zł
223,80 zł
3.60
28,20 zł
187,20 zł
0,00 zł
46,80 zł
19,20 zł
13,80 zł
45,60 zł
4,20 zł
4,80 zł
3,60 zł
28,20 zł
6,60 zł
1,20 zł
9,60 zł
4,80 zł
7,80 zł
13,80 zł
36,60 zł
227,40 zł
168,00 zł
25,20 zł
74,40 zł
15,60 zł
120,60 zł
7,80 zł
63,60 zł
20,40 zł
33,60 zł
83,40 zł
67,20 zł
44,40 zł
117,60 zł
67,20 zł
19,00 zł
4,20 zł
33,00 zł
22,80 zł
24,60 zł
Strona 1
Zużycie do
30.08.15
151
119
0
8
52
11
96
12
33
0
2
0
132
0
70
75
6
41
5
10
0
10
9
42
29
19
5
7
44
91
28
3
10
1
185
179
17
11
320
55
0
261
450
6
351
Końcowy stan
licznika
221
164
1
18
67
15
200
27
64
3
7
1
163
0
77
135
16
63
12
24
2
19
23
103
90
41
20
19
58
145
40
9
11
6
410
235
75
69
1000
113
1
1036
1757
18
523
Razem do
zapłaty
90,60 zł
71,40 zł
0,00 zł
4,80 zł
31,20 zł
7,80 zł
57,60 zł
11,40 zł
19,80 zł
1,20 zł
3,00 zł
0,00 zł
79,20 zł
0,00 zł
43,80 zł
45,00 zł
8,40 zł
24,60 zł
3,00 zł
10,20 zł
0,60 zł
10,20 zł
12,20 zł
25,20 zł
17,40 zł
19,20 zł
3,00 zł
7,80 zł
26,40 zł
54,60 zł
23,40 zł
4,80 zł
6,00 zł
1,80 zł
111,00 zł
107,40 zł
18,60 zł
13,80 zł
192,00 zł
33,00 zł
0,00 zł
156,60 zł
270,00 zł
3,60 zł
210,60 zł
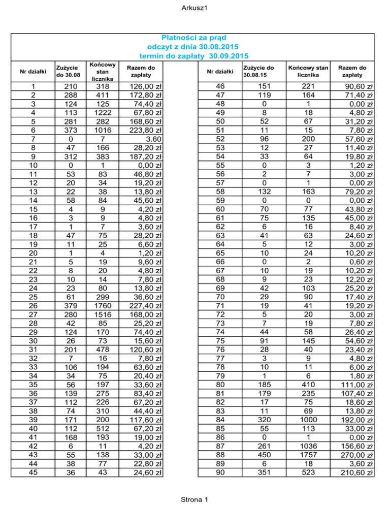
91
92
93
94
95
96
97
98
99
100
101
102
103
104
105
106
107
108
109
110
111
112
113
114
115
116
117
118
119
120
121
122
123
124
125
126
127
128
129
130
131
132
133
134
135
197
76
1
308
10
211
200
70
2
85
12
74
67
179
11
33
31
49
16
9
5
5
33
189
5
114
17
16
215
391
5
12
3
5
6
7
118
6
135
123
357
32
30
71
138
300
190
4
483
10
366
1095
151
5
179
37
96
171
311
26
96
62
73
66
28
16
11
46
314
13
220
24
22
394
697
6
28
4
20
12
24
227
100
429
179
2408
42
51
489
849
118,20 zł
45,60 zł
0,60 zł
184,80 zł
6,00 zł
126,60 zł
120,00 zł
42,00 zł
1,80 zł
72,00 zł
13,80 zł
44,40 zł
40,20 zł
187,60 zł
6,60 zł
19,80 zł
25,80 zł
34,20 zł
19,80 zł
12,00 zł
4,80 zł
4,80 zł
24,00 zł
113,40 zł
3,00 zł
68,40 zł
13,20 zł
11,40 zł
129,00 zł
234,60 zł
3,00 zł
8,40 zł
1,80 zł
9,00 zł
4,80 zł
6,60 zł
70,80 zł
11,40 zł
81,00 zł
73,80 zł
214,20 zł
23,40 zł
18,00 zł
42,60 zł
82,80 zł
Arkusz1
Strona 2
136
137
138
139
140
141
142
143
144
145
146
147
148
149
150
151
152
153
154
155
156
157
158
159
160
161
162
163
164
165
166
167
168
169
170
171
172
173
174
175
176
177
178
179
180
530
261
140
193
94
208
6
178
4
3
1
62
38
83
115
251
50
76
14
1
79
702
462
309
53
46
102
2
91
60
127
241
30
40
538
194
0
91
168
0
213
298
73
38
7
3676
2484
265
401
478
286
22
279
10
11
5
78
59
141
262
605
95
118
34
3
156
4378
2650
398
94
92
137
71
137
150
280
445
227
139
3454
1085
0
214
371
2
404
469
150
67
13
318,00 zł
156,60 zł
84,00 zł
115,80 zł
56,40 zł
124,80 zł
9,60 zł
106,80 zł
4,20 zł
3,60 zł
0,60 zł
37,20 zł
22,80 zł
49,80 zł
69,00 zł
150,60 zł
30,00 zł
45,60 zł
15,60 zł
0,60 zł
55,80 zł
421,20 zł
277,20 zł
185,40 zł
40,20 zł
27,60 zł
61,20 zł
4,00 zł
54,60 zł
36,00 zł
148,20 zł
144,60 zł
18,00 zł
24,00 zł
322,80 zł
116,40 zł
0,00 zł
54,60 zł
100,80 zł
0,60 zł
127,80 zł
178,80 zł
43,80 zł
22,80 zł
6,00 zł
Arkusz1
0,6
Strona 3