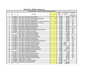
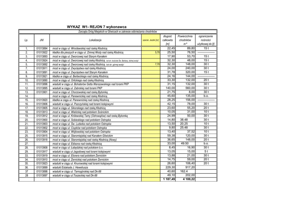
WYKAZ W1- REJON 7 wykonawca

Transkrypt

WYKAZ W1- REJON 7 wykonawca
WYKAZ W1- REJON 7 wykonawca
Zarządu Dróg Miejskich w Gliwicach w zakresie odśnieżania chodników
Lp.
JNI
Lokalizacja
1.
2.
3.
4.
5.
7.
8.
9.
10.
11.
12.
13.
14.
15.
16.
17.
18.
19.
20.
21.
22.
23.
25.
26.
27.
28.
29.
33.
34.
35.
36.
37
28
01013894
01013922
01013893
01013924
01013892
01013911
01013891
01013921
01013890
01013896
01013895
01013901
most w ciągu ul. Wrocławskiej nad rzeką Kłodnicą
kładka dla pieszych w ciągu ul. Zimnej Wody nad rzeką Kłodnicą
most w ciągu ul. Dworcowej nad Starym Kanałem
most w ciągu ul. Dworcowej nad rzeką Kłodnicą /od str. kościoła Św. Barbary, dolnej wody/
most w ciągu ul. Dworcowej nad rzeką Kłodnicą /od str. górnej wody/
most w ciągu ul. Zwycięstwa nad rzeką Kłodnicą
most w ciągu ul. Zwycięstwa nad Starym Kanałem
kładka w ciągu ul. Berbeckiego nad rzeką Kłodnicą
most w ciągu ul. Orlickiego nad rzeką Kłodnicą
wiadukt w ciągu ul. Bohaterów Getta Warszawskiego nad torami PKP
wiadukt w ciągu ul. Zabrskiej nad torami PKP
most w ciągu ul. Chorzowskiej nad rzeką Bytomką
most w ciągu ul. Panewnickiej nad rzeką Kłodnicą
kładka w ciągu ul. Panewnickiej nad rzeką Kłodnicą
wiadukt w ciągu ul. Pszczyńskiej nad torami kolejowymi
most w ciągu ul. Sikorskiego nad rzeką Kłodnicą
most w ciągu ul. Wielickiej nad potokiem Sośnickim
most w ciągu ul. Królewskiej Tamy (Odrowążów) nad rzeką Bytomką
most w ciągu ul. Sobieskiego nad potokiem Ostropka
most w ciągu ul. Św. Ludwika nad potokiem Ostropka
most w ciągu ul. Ciupków nad potokiem Ostropka
most w ciągu ul. Wójtowskiej nad potokiem Ostropka
most w ciągu ul. Staromiejskiej nad Kanałem Gliwickim
most w ciągu ul. Staromiejskiej nad rzeką Kłodnicą (Nowy)
most w ciągu ul. Edisona nad rzeką Kłodnicą
most w ciągu ul. Łabędzkiej nad potokiem b.n.
wiadukt w ciągu ul Jagodowej nad torami kolejowymi
most w ciągu ul. Elsnera nad potokiem Żernickim
most w ciągu ul. Żernickiej nad potokiem Żernickim
wiadukt w ciągu ul. Knurowskiej nad torami kolejowymi
wiadukt Estakada J. Heweliusza
wiadukt w ciągu ul. Tarnogórskiej nad Dk-88
wiadukt w ciągu ul.Toszeckiej nad Dk-88
01013920
01013906
01013905
01013913
01013912
01013900
01013903
01013902
01013904
01013915
01013918
01013908
01013917
01013919
01013910
01013923
01013899
01013898
01013897
długość
Powierzchnia
całkowita
chodników
[m]
m²
22,45
89,80
5,70
25,50
76,50
17,90
53,70
32,30
48,00
7,70
32,30
148,00
24,00
240,00
31,78
320,00
24,16
144,00
33,30
132,00
31,15
132,00
140,00
560,00
21,75
8,00
45,60
135,00
28,25
156,00
42,15
78,00
23,60
55,20
10,05
31,00
24,99
50,00
14,80
38.48
13,50
20.25
9,80
25.48
13,40
37,52
59,38
120,00
36,65
148,00
33,00
49.50
8,45
16,90
13,05
15,00
13,88
21,00
14,75
59,00
26,60
106,40
229,30
917,20
40,60
162.4
49,10
202,00
1 187,49
4 100,22
szerok. Jezdni [m]
ograniczenie
nośności
użytkowej do [t]
15 t
----------------15 t
15 t
30 t
30 t
15 t
----------------20 t
30 t
30 t
30 t
b.o.
----------------30 t
20 t
10 t
30 t
30 t
10 t
30 t
10 t
30 t
20 t
b.o.
30 t
5t
30 t
20 t
20 t