l:::1

Transkrypt

l:::1
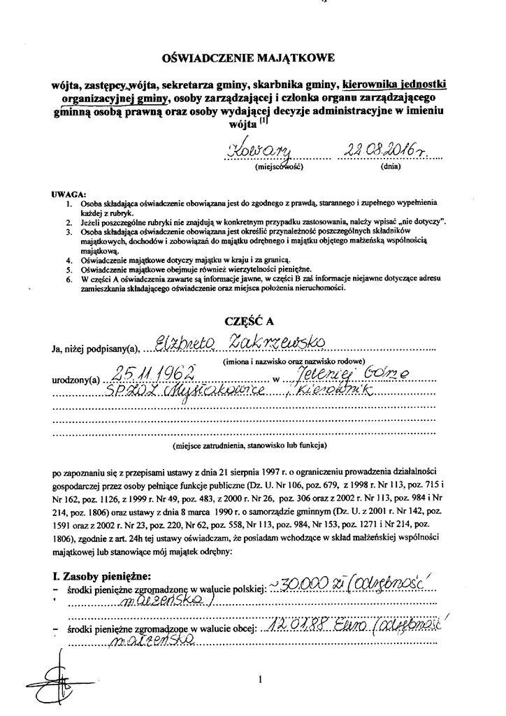
oŚwIADczENIE MA.IĄTKoWE
wójta, zastępqr''wójta, sekretana gminyn skarbnika gminy' kierownika iednostki
organiz.acyjnej gminy, osoby zanądzaiącej i czlonka oĘanu zanądzaiącąo
gtinnĘosoilą prawną orrz osoby wydająq-ej decyzje administracyjne w imieniu
wójta ul
:VoAAru
'.,.,......'...,.,)r
(miej scó{vość)
"?,,
C3)0/6ł
(dnia)
UWAGA:
l.
2.
3.
4.
5.
6.
osoba skhdająca oświadczenie obowiąpanajest do zgodnego z prawĘ starannego i zupełnego wypehienia
każdej z nrbryk.
leżeli Fszrzsgóhe rubryki nie anajdują w konlaetnym przrypadku zstosowanią należy wpisać .nie dotyczy".
określićPrŻynależnoścposzczególnych składników
majątkowycb' dochodów i zobowiązari do mająlku odębnego i majątku objętego małirńsĘ wspólnością
osoba składająpa oświadczcnie obowiąBn8j€st
majątkorłą'
oświadczeuie majątkowe dotyczy majątku w lrraju i za granicą.
O'świadczenie mająrkowe obcjmuje również wier4telności pieniężne'
W części A oświadczenia zawarte ą informacjejawne, w części B zaśinformacjc niejavme dotycące adresu
zamieszkania skhdającego oświadczenie oraz micjsca połoź:enianieruchomości-
czĘsc A
(miejsce zatrudnienią stanowisko lub funkcja)
po zapomaniu się z przepisami ustawy z dnia
2l sierpnia
1997 r. o ograniczeniu prowadzenia działalności
Nr 106, poz 679, z 1998 r. Nr ll3' wz.715 i
Nr l62,poz. 1126,21999 r.Nr 49,po2.483, z 2000 r' Nr 26, poz.3M oraz z2@2 r. Nr I13, poz. 984 i Nr
2l4,pz.1806) oraz ustawy z &lia 8 marca l990 r' o samorządzie gninnym (Dz. U. z 200l r. Nr 142'poz.
1591 orazz2OlŻ r. Nr 23, poz 220, Nr 62, pz 558, Nr l 13, poz. 984' Nr l53' poz 1271 iNr Ż14' poz.
1806)' zgodnie z ań 24h tej ustawy oświadczanu ż posiadam wchodz4ce w skład małźeliskiej wspólności
gospodarczsj przez osoby pełniąpe fiukcje publiczrre (Dz. U.
majątkowej lub stanowiące mój majątek odrybny:
I. Zasoby pieniężne:
:
-
r'*
l^:ffi,ff;3ffi::WY:
:l:::1
środkipieniężne zgoma{zope-w walucie obcej:
........'...../n. ai-e.
eil.*p-
c
tr.
l.
)
;.;;;l'."o -' ;'"-...:-"#,;;; ", *ęr*;
Mieszkanie o powierzchni: ............. m2. o wańości: '................. tytuł prawnj: ..!).........
...,powierzchnia:.................
J. Gospodarstwo rolne: rodzaj
rodzaj zabudowy: ...............'...
o
wartości:
gospodarstwa:
tytuł prawny:
Z tego Ętufu osiągnąłem(ęłam) w roku ubiegłym przychod i dochód w wysokości:. .. . . . . . . . . ..
udziĄ
te stanowią pakiet
więkvy niż lf/o udziałów w społce:
ZtegoĘtułuosiągnąłem(ęłam)wrokuubiegłymdochódwwysokości:................
rv.
:::i: :: : :**: :::w fr;il #il:#'
akcje te stanowią pakiet większy niż l0olo akcji w spółce:
:*
*::
....'.....'.
Z tego tytufu osiągnąłem(ęłam) w roku ubiegłym dochod w wysokości:
v.
Nabyłem(am) (nabył mój małżonek, z wyłąpzeniem mienia przynależnego do jego majątku
odrębnego) od Skarbu Panstwą innej par[stwowej osoby prawnej, jednostek samorządu
terytońalnego, ich zwią,zków lub od komunalnej osoby prawnej nastęujące mienie, które
*]:T]:*:::::*:-*%fr:"ffi
włay;:::::::::::T]:iilil
vI.
]
l]]*.]-1'l":u':'*Ą)ńr):?ffiffi,-Ę::*'::*:*]]]] :'
-
osobi&:ie
wspólnie z innymi osobami
Z tego Ętufu osiągnąłem(ęłam) w roku ubiegłym przychod i dochód w wysokości: .................'
2. z'arządzarrl działalnościągospodarcą lub jestem przedstawiciel€m,
-
pełnomocnikiem takiej
wspólnie z innymi osobami
Z tego tytufu osiągnąłem(ęłam) w roku ubiegłym dochód w wysokości:'...'...........
vII.
1.
W spółkach handlowych (nazwą siedziba społki): ..........rz.ue..'eał&!?rg
-
jestan członkiern zarządu (od kiedy):..........'........
-
jestem członklern redy na zarczej (odkiedy):........
-
jestem członkiem komisji rewizyjnej (od kiedy)
-
jestern członkiem zarządu (od kidy):
-
jestem członkiern rady nadzoIrze;t3]
-
jestem członkiem komisji rewizyjnej (od kiedy):
..............
1od
kiedy;:
Ztegotytułuosiągnąłem(ęłam)wrokuubiegłymdochódwwysokości:................
..
3. W fundacjach prowadących działalnośógospodarcą:
t..... .;...: .... ....
........../.n/.e'..cłar]łC24.
,JU
-
jestern członkiem rady nadzorczej (od kiedy):
-
jestern członkiein komisji rewizyjnej (od kiedy):
Z tego Ętufu osiągnąłem(ęłam) w roku ubiegłym dochód w wysokości:
lX.
Składniki mienia ruchomego o wartości po}vyżej l0 000 złoĘch (w prrypadku pojazdów
mechanicmych należy podac ma*ę model i rok produkcji):
Zobowią,zania pieniężle o wartości powyżej l0 000 złotych, w tym zaciągnięte kredyty i
pożyczki oraz warunki' na jakich mstały udzielone (wobec kogo, w związku z jakim zdarzeniar1w
X.
jakiej wysokości):
-k)ruunin,łą
ruii.dłł;ź
.::::::::: : :: :::: : :::ó&, /I0,0Ó.a''Ł:
" " """ :"7'rił;;r;
"
""""""" """"'/
1"""'7""""/}nźJźcn'śŁiłq