Zgłoszenie awarii natury technicznej budynku

Transkrypt

Zgłoszenie awarii natury technicznej budynku
KARTA PROCEDURY
P.85_DT
Procedura: P.85
Zakres przedmiotowy: zgłoszenie awarii natury technicznej budynku, budowli
Formularz: umowa,
Uczestnicy procesu:
1. pracownicy: dysponent środków finansowych, jednostka/komórka
konserwator Działu Technicznego (DT),
2. podmiot zewnętrzny: firma remontowa,
Właściciel procesu: Dział Techniczny (DT)
UP w
Poznaniu,
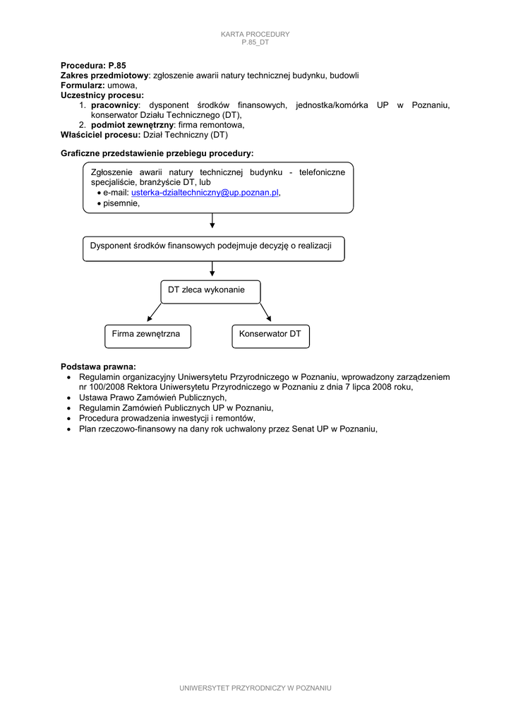
Graficzne przedstawienie przebiegu procedury:
Zgłoszenie awarii natury technicznej budynku - telefoniczne
specjaliście, branŜyście DT, lub
• e-mail: [email protected],
• pisemnie,
Dysponent środków finansowych podejmuje decyzję o realizacji
DT zleca wykonanie
Firma zewnętrzna
Konserwator DT
Podstawa prawna:
• Regulamin organizacyjny Uniwersytetu Przyrodniczego w Poznaniu, wprowadzony zarządzeniem
nr 100/2008 Rektora Uniwersytetu Przyrodniczego w Poznaniu z dnia 7 lipca 2008 roku,
• Ustawa Prawo Zamówień Publicznych,
• Regulamin Zamówień Publicznych UP w Poznaniu,
• Procedura prowadzenia inwestycji i remontów,
• Plan rzeczowo-finansowy na dany rok uchwalony przez Senat UP w Poznaniu,
UNIWERSYTET PRZYRODNICZY W POZNANIU