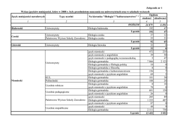
Wykaz języków mniejszości, które w 2008 r. były przedmiotem

Transkrypt

Wykaz języków mniejszości, które w 2008 r. były przedmiotem
Załącznik nr 1
Wykaz języków mniejszości, które w 2008 r. były przedmiotem nauczania na uniwersytetach oraz w szkołach wyższych
Ogółem
Język mniejszości narodowych
Typy uczelni
Na kierunku "filologia"/"kulturoznawstwo" *
studenci absolwenci
1
2
3
4
5
OGÓŁEM
24 879
6 494
Uniwersytety
filologia białoruska
192
47
Białoruski
Łącznie
192
47
Uniwersytety
filologia czeska
37
12
Czeski
Państwowe Wyższe Szkoły Zawodowe filologia czeska
55
53
Łącznie
92
65
Uniwersytety
filologia litewska
32
0
Litewski
Łącznie
32
0
język niemiecki
472
235
język niemiecki z angielskim
39
50
język niemiecki z pedagogiką wczesnoszkolną
5
47
filologia germańska
7 866
2 123
Uniwersytety
filologia germańska z filologią polską
10
0
filologia germańska z filozofią
8
0
filologia germańska z kulturoznawstwem
156
7
język niemiecki z językiem angielskim
69
5
KUL
filologia germańska
181
30
Niemiecki
Politechniki
filologia germańska
188
24
filologia germańska
0
18
Uczelnie rolnicze
język niemiecki z językiem angielskim
78
0
filologia germańska
681
150
Uczelnie pedagogiczne
język niemiecki z językiem angielskim
26
0
język niemiecki
205
89
Państwowe Wyższe Szkoły Zawodowe filologia germańska
1 222
407
87
0
język niemiecki z językiem angielskim
język niemiecki
48
9
Uczelnie niepubliczne
filologia germańska
2 111
758
Łącznie
13 452
3 952
Uniwersytety
Rosyjski
Uczelnie rolnicze
Uczelnie pedagogiczne
Państwowe Wyższe Szkoły Zawodowe
Uczelnie niepubliczne
Słowacki
Ukraiński
Państwowe Wyższe Szkoły Zawodowe
Uniwersytety
Państwowe Wyższe Szkoły Zawodowe
Hebrajski
Uniwersytety
Uniwersytety
filologia rosyjska
filologia rosyjska z językiem angielskim
filologia rosyjska z językiem niemieckim
filologia rosyjska z lingwistyką stosowaną
filologia rosyjsko-angielska
filologia rosyjsko-ukraińska
język i kultura Rosji *
język rosyjski biznesu
kultura Rosji i narodów sąsiadujących *
rosjoznawstwo *
rosjoznawstwo - Makrokierunek *
filologia rosyjska
filologia rosyjska z językiem angielskim
filologia rosyjska
filologia rosyjska z językiem angielskim
filologia rosyjska z językiem niemieckim
język rosyjski biznesu
język rosyjski
filologia rosyjska
filologia rosyjska z językiem angielskim
filologia rosyjska
filologia rosyjska z językiem angielskim
Łącznie
filologia słowacka
Łącznie
filologia ukraińska
filologia ukraińsko-polska
filologia ukraińska
Łącznie
hebraistyka
Łącznie
Bałtystyka (litewski, łotewski, estoński)
Łącznie
4 457
245
43
43
141
169
106
44
167
93
63
4
213
542
79
0
176
219
227
68
283
9
7 391
6
6
515
34
65
614
30
30
164
164
831
58
22
0
17
38
13
0
18
20
0
78
0
111
32
13
72
66
124
0
38
2
1 553
2
2
97
15
6
118
0
0
15
15
Uniwersytety
KUL
Politechniki
Państwowe Wyższe Szkoły Zawodowe
Uniwersytety
Uniwersytety
Filologia słowiańska (może dotyczyć języka
czeskiego i słowackiego)
Łącznie
Filologia słowiańska i filologia polska (może
dotyczyć języka czeskiego i słowackiego)
Łącznie
Slawistyka (może dotyczyć języka czeskiego i
słowackiego)
Łącznie
1 768
174
416
40
2 398
438
58
126
0
622
91
11
91
11
417
109
417
109