Luma PT instrukcja

Transkrypt

Luma PT instrukcja
A OBSŁUGI
INSTRUKCJA MONTAŻU
Oprawa awaryjna LUMA
wersja podtynkowa AWP
PRZECZYTAJ
Przed rozpoczęciem montażu należy uważnie przeczytać instrukcję. Instrukcja zawiera ważne
informacje dotyczące montażu, eksploatacji i konserwacji oprawy oświetlenia awaryjnego.
WSKAZÓWKI OGÓLNE:
1. Oprawa powinna być zamontowana przez wykwalifikowanego instalatora.
2. Instalacja elektryczna musi być wykonana zgodnie z aktualnie obowiązującymi normami
3. Niewłaściwe podłączenie, samodzielne przeróbki lub wykorzystanie oprawy do celów innych niż
jest przeznaczona może spowodować utratę gwarancji.
4. Przed rozpoczęciem instalacji należy odłączyć napięcie zasilające.
5. Oprawa posiada I klasę ochronności, dlatego bezwzględnie musi być uziemiona.
PODŁĄCZENIE ZASILANIA
Napięcie zasilania jest określone na etykiecie umieszczonej na obudowie. Kostka połączeniowa posiada
oznaczenia przewodów zasilających i komunikacyjnych (jeżeli występują).
EKSPLOATACJA OPRAW OŚWIETLENIA AWARYJNEGO
DANE TECHNICZNE:
Zasilanie
Autonomia
Źródło światła(wymienialne)
Czas ładowania
Temperatura otoczenia (ta)
Akumulator (wymienialny)
Klasa ochrony
Klasa szczelności
Zgodność z normą
Strumień świetlny
: 230V AC lub 220V DC
: 1 lub 3 godziny (str.2)
: świetlówka T8 -18,36W
lub T5 – 14, 28W tab.str.2
: 24 godziny
: 5°C - 40°C
: NiCd lub NiMh HT 3,6V - 1,5; 2,5; 4 lub 4,5Ah
: I
: IP 20
: PN-EN 60598-2-22,
PN-EN 1838
: tabela str.2
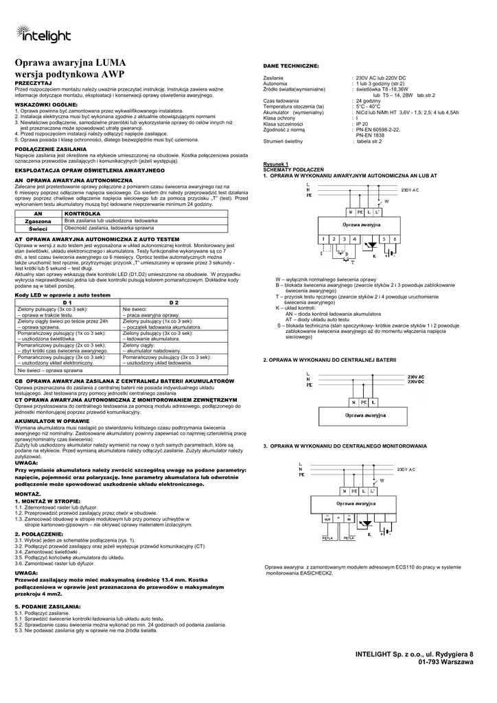
Rysunek 1
SCHEMATY PODŁĄCZEŃ
1. OPRAWA W WYKONANIU AWARYJNYM AUTONOMICZNA AN LUB AT
AN OPRAWA AWARYJNA AUTONOMICZNA
Zalecane jest przetestowanie oprawy połączone z pomiarem czasu świecenia awaryjnego raz na
6 miesięcy poprzez odłączenie napięcia sieciowego. Co siedem dni należy przeprowadzić test działania
oprawy poprzez chwilowe odłączenie napięcia sieciowego lub za pomocą przycisku „T” (test). Przed
wykonaniem testu akumulatory muszą być ładowane nieprzerwanie minimum 24 godziny.
AN
Zgaszona
Świeci
KONTROLKA
Brak zasilania lub uszkodzona ładowarka
Obecność zasilania, ładowarka sprawna
AT OPRAWA AWARYJNA AUTONOMICZNA Z AUTO TESTEM
Oprawa w wersji z auto testem jest wyposażona w układ autonomicznej kontroli. Monitorowany jest
stan świetlówki, układu elektronicznego i akumulatora. Testy funkcjonalne wykonywane są co 7
dni, a test czasu świecenia awaryjnego co 6 miesięcy. Oprócz testów automatycznych można
także uruchomić test ręcznie, przytrzymując przycisk „T” umieszczony w oprawie przez 3 sekundy test krótki lub 5 sekund – test długi.
Aktualny stan oprawy wskazują dwie kontrolki LED (D1,D2) umieszczone na obudowie. W przypadku
wykrycia nieprawidłowości jedna lub dwie kontrolki pulsują kolorem pomarańczowym. Dokładne kody
podane są w tabeli poniżej.
Kody LED w oprawie z auto testem
D1
Zielony pulsujący (3x co 3 sek):
– oprawa w trakcie testu.
Zielony ciągły świeci po teście przez 24h
– oprawa sprawna.
Pomarańczowy pulsujący (1x co 3 sek):
– uszkodzona świetlówka.
Pomarańczowy pulsujący (2x co 3 sek):
– zbyt krótki czas świecenia awaryjnego.
Pomarańczowy pulsujący (3x co 3 sek):
– uszkodzony układ elektroniczny.
D2
Nie świeci:
– praca awaryjna oprawy.
Zielony pulsujący (1x co 3 sek):
– początek ładowania akumulatora.
Zielony pulsujący (3x co 3 sek):
– ładowanie akumulatora.
Zielony ciągły:
– akumulator naładowany.
Pomarańczowy pulsujący (3x co 3 sek):
– uszkodzony układ ładowania.
W – wyłącznik normalnego świecenia oprawy
B – blokada świecenia awaryjnego (zwarcie styków 2 i 3 powoduje zablokowanie
świecenia awaryjnego)
T – przycisk testu ręcznego (zwarcie styków 2 i 4 powoduje uruchomienie
świecenia awaryjnego)
K – układ kontroli:
AN – dioda kontroli ładowania akumulatora
AT – diody układu auto testu
S – blokada techniczna (stan spoczynkowy- krótkie zwarcie styków 1 i 2 powoduje
zablokowanie świecenia awaryjnego aż do momentu włączenia napięcia
sieciowego)
2. OPRAWA W WYKONANIU DO CENTRALNEJ BATERII
Nie świeci – oprawa sprawna
CB OPRAWA AWARYJNA ZASILANA Z CENTRALNEJ BATERII AKUMULATORÓW
Oprawa przeznaczona do zasilania z centralnej baterii nie posiada indywidualnego układu
testującego. Jest testowana przy pomocy jednostki centralnego zasilania
CT OPRAWA AWARYJNA AUTONOMICZNA Z MONITOROWANIEM ZEWNĘTRZNYM
Oprawa przystosowana do centralnego testowania za pomocą modułu adresowego, podłączonego do
jednostki monitorującej poprzez przewód komunikacyjny.
AKUMULATOR W OPRAWIE
Wymiana akumulatora musi nastąpić po stwierdzeniu krótszego czasu podtrzymania świecenia
awaryjnego niż nominalny. Zastosowane akumulatory powinny zapewniać co najmniej czteroletnią pracę
oprawy(nominalny czas świecenia).
Zużyty lub uszkodzony akumulator należy wymienić na nowy o tych samych parametrach, które są
podane na etykiecie. Przed wymianą akumulatora należy odłączyć zasilanie. Zużyty akumulator należy
zutylizować.
UWAGA:
Przy wymianie akumulatora należy zwrócić szczególną uwagę na podane parametry:
napięcie, pojemność oraz polaryzację. Inne parametry akumulatora lub odwrotnie
podłączenie może spowodować uszkodzenie układu elektronicznego.
3. OPRAWA W WYKONANIU DO CENTRALNEGO MONITOROWANIA
MONTAŻ.
1. MONTAŻ W STROPIE:
1.1. Zdemontować raster lub dyfuzor.
1.2. Przeprowadzić przewód zasilający przez otwór w obudowie.
1.3. Zamocować obudowę w stropie modułowym lub przy pomocy uchwytów w
stropie kartonowo-gipsowym – nie okrywać oprawy materiałem izolacyjnym.
2. PODŁĄCZENIE:
3.1. Wybrać jeden ze schematów podłączenia (rys. 1).
3.2. Podłączyć przewód zasilający oraz jeżeli występuje przewód komunikacyjny (CT)
3.4. Zamontować świetlówki .
3.5. Podłączyć końcówkę akumulatora do układu.
3.6. Zamontować raster lub dyfuzor.
UWAGA:
Przewód zasilający może mieć maksymalną średnicę 13.4 mm. Kostka
podłączeniowa w oprawie jest przeznaczona do przewodów o maksymalnym
przekroju 4 mm2.
Oprawa awaryjna z zamontowanym modułem adresowym ECS110 do pracy w systemie
monitorowania EASICHECK2.
5. PODANIE ZASILANIA:
5.1. Podłączyć zasilanie.
5.1 Sprawdzić świecenie kontrolki ładowania lub układu auto testu.
5.2. Sprawdzenie czasu świecenia można wykonać po min. 24 godzinach od podania zasilania.
5.3. Nie podawać zasilania gdy w oprawie nie ma źródła światła.
INTELIGHT Sp. z o.o., ul. Rydygiera 8
01-793 Warszawa
A OBSŁUGI
INSTRUKCJA MONTAŻU
LUMA AWP - TYPY
Lp.
Typ oprawy
1.
AWP-218(14)/AN/1
2.
3.
4.
5.
6.
7.
AWP-218(14)/AT/1
AWP-218(14)/CT/1
AWP-218(14)/AN/3
AWP-218(14)/AT/3
AWP-218(14)/CT/3
AWP-218(14)/CB
8.
AWP-236(28)/AN/1
9.
10.
11.
12.
13.
14.
AWP-236(28)/AT/1
AWP-236(28)/CT/1
AWP-236(28)/AN/3
AWP-236(28)/AT/3
AWP-236(28)/CT/3
AWP-236(28)/CB
15.
AWP-418(14)/AN/1
16.
17.
18.
19.
20.
21.
AWP-418(14)/AT/1
AWP-418(14)/CT/1
AWP-418(14)/AN/3
AWP-418(14)/AT/3
AWP-418(14)/CT/3
AWP-418(14)/CB
Źródło światła[W]
Strumień świetlny
sieć/awaria[lm]
2x18(14)/1x18(14)
2400/180
-„-„-„-„-„2x18(14)/2x18(14)
2400/2400
2x36(28)/1x36(28)
6000/450
-„-„-„-„-„2x36(28)/2x36(28)
6000 /6000
4x18(14)/1x18(14)
4800/180
-„-„-„-„-„4x18(14)/4x18(14)
4800/4800
Czas
świec.[h]
Waga
[kg]
1
Wymiary
długość/szerokość/wysokość
[mm]
595/295/75
1
1
3
3
3
-
-„-„-„-„-„-„-
258
2,63
2,65
2,68
2,73
2,32
1
1195/295/75
4,10
1
1
3
3
3
-
-„-„-„-„-„-„-
4,13
4,18
4,20
4,23
4,28
3,87
1
600/600/75
3,95
1
1
3
3
3
-
-„-„-„-„-„-„-
3,98
4,03
4,05
4,08
4,13
3,72
Intelight Sp. z o.o.
ul. Rydygiera 8, 01-793 Warszawa
www.intelight.pl
2,55