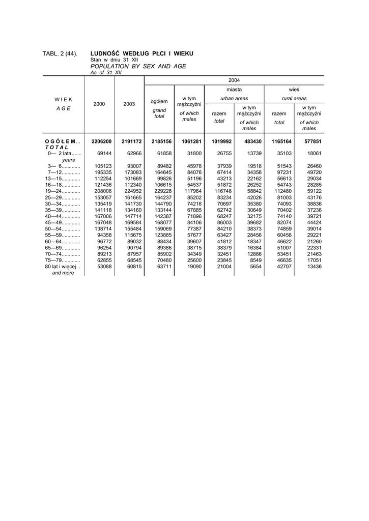
TABL. 2 (44). LUDNOŚĆ WEDŁUG PŁCI I WIEKU POPULATION BY

Transkrypt

TABL. 2 (44). LUDNOŚĆ WEDŁUG PŁCI I WIEKU POPULATION BY
TABL. 2 (44).
LUDNOŚĆ WEDŁUG PŁCI I WIEKU
Stan w dniu 31 XII
POPULATION BY SEX AND AGE
As of 31 XII
2004
WIEK
AGE
O G Ó Ł E M ...
TOTAL
0— 2 lata.......
years
3— 6.............
7—12.............
13—15.............
16—18.............
19—24.............
25—29.............
30—34.............
35—39.............
40—44.............
45—49.............
50—54.............
55—59.............
60—64.............
65—69.............
70—74.............
75—79.............
80 lat i więcej ..
and more
2000
2003
ogółem
grand
total
w tym
mężczyźni
of which
males
miasta
wieś
urban areas
rural areas
razem
total
w tym
mężczyźni
of which
males
razem
total
w tym
mężczyźni
of which
males
2206200
2191172
2185156
1061281
1019992
483430
1165164
577851
69144
62966
61858
31800
26755
13739
35103
18061
105123
195335
112254
121436
208006
153057
135419
141118
167006
167048
138714
94358
96772
96254
89213
62855
53088
93007
173083
101669
112340
224952
161665
141730
134160
147714
169584
155484
115675
89032
90794
87957
68545
60815
89482
164645
99826
106615
229228
164237
144790
133144
142387
168077
159069
123885
88434
89386
85902
70480
63711
45978
84076
51196
54537
117964
85202
74216
67885
71896
84106
77387
57677
39607
38715
34349
25600
19090
37939
67414
43213
51872
116748
83234
70697
62742
68247
86003
84210
63427
41812
38379
32451
23845
21004
19518
34356
22162
26252
58842
42026
35380
30649
32175
39682
38373
28456
18347
16384
12886
8549
5654
51543
97231
56613
54743
112480
81003
74093
70402
74140
82074
74859
60458
46622
51007
53451
46635
42707
26460
49720
29034
28285
59122
43176
38836
37236
39721
44424
39014
29221
21260
22331
21463
17051
13436