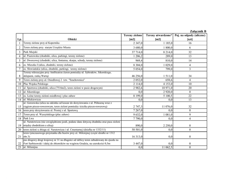
Załącznik B

Transkrypt

Załącznik B
Załącznik B
Lp.
1 Tereny zielone przy ul Kopernika
Obiekt
2
Teren zielony przy starym Urzędzie Miasta
3
4
5
Park Miejski
ul. Piastowska (chodniki, ulica, parkingi, tereny zielone)
6
7
os. Mieszka I (ulica, chodniki, tereny zielone)
os. Słowiańskie (ulica, chodniki, parkingi, tereny zielone)
Tereny rekreacyjne przy Amfiteatrze (teren pomiedzy ul. Sybiraków, Sikorskiego,
sklepami, rzeką Wartą)
Teren zielony przy ul. Osiedlowej 2 tzw. "Szachownica"
Plac Wojska Polskiego
ul. Sportowa (chodniki, ulica (7516m2), teren zieleni w pasie drogowym)
ul. Sikorskiego
os. Leśne tereny zieleni osiedlowej i plac zabaw
ul. Mickiewicza
ul. Gorzowska (ulica na odcinku od koszar do skrzyżowania z ul. Północną wraz z
ciągiem pieszo-rowerowym, teren zieleni pomiedzy ścieżka pieszo-rowerową)
teren przy skrzyżowaniu ul. Prostej z ul. Sportową
8
9
10
11
12
13
14
ul. Dworcowej (chodniki, ulica, fontanna, skarpa, schody, tereny zielone)
15
16
17 Teren przy ul. Wyszyńskiego (plac zabaw)
18 Park Lwa
Tereny zielone
[m2]
2 347,0
Tereny utwardzone* Poj. na odpady (uliczne)
[m2]
[szt]
1 185,0
16
3 680,0
1 800,0
6
37 714,0
1 206,2
969,4
8 214,0
289,0
810,0
32
13
14
8 304,0
5 054,0
1 029,0
799,0
4
3
46 256,0
2 052,0
2 114,0
2 982,6
0,0
8 199,0
0,0
1 511,0
658,6
4 153,0
10 971,0
2 920,0
5 100,5
0,0
34
4
10
20
0
22
13
2 747,3
7 267,0
9 632,0
7 790,0
11 076,0
0,0
1 081,0
0,0
32
0
9
4
890,0
50 501,0
2 250,0
0,0
0
0
16 313,0
0,0
0
3 447,0
0,0
0,0
11 062,5
0
0
ul. Narutowicza (nie uwzględniono jezdi, podane dane dotyczą chodnika oraz pasa zieleni
19 między chodnikiem a ulicą)
20 teren zieleni u zbiegu ul. Narutowicza i ul. Cmentarnej (działka nr 1332/11)
teren tymczasowego przystanku dla busów przy ul. Milenijnej (część działki nr 1312
21 obr.3)
pas drogowy drogi krajowej nr 31 na długości od tablicy teren zabudowany do zjazdu na
22 Fort Sarbinowski i dalej do zbiorników na wzgórzu Grudzia, na szerokości 0,5m
23 ul. Milenijna
* w obmiarach uwzględniono zarówno powierzchnie ulic jak i chodników
219 465,5
64 909,6
236