adres lokalu usytuowanie właściciel budynku ulica nr 1 1 Maja 47

Transkrypt

adres lokalu usytuowanie właściciel budynku ulica nr 1 1 Maja 47
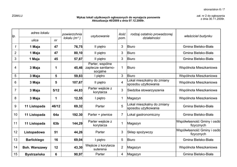
strona/stron 6 / 7
ZGM/LU
lp.
Wykaz lokali użytkowych ogłoszonych do wynajęcia ponownie
Aktualizacja 40/2009 z dnia 07.12.2009r.
adres lokalu
powierzchnia
lokalu (m² )
usytuowanie
ilość
pom.
rodzaj ostatnio prowadzonej
działalności
zał. nr 2 do ogłoszenia
z dnia 30.11.2009r.
właściciel budynku
ulica
nr
1
1 Maja
47
76,75
II piętro
3
Biuro
Gmina Bielsko-Biała
2
1 Maja
47
80,10
II piętro
3
Biuro
Gmina Bielsko-Biała
3
1 Maja
45
57,87
3
Biuro
Gmina Bielsko-Biała
4
3 Maja
1
1
Biuro
Wspólnota Mieszkaniowa
5
3 Maja
5
3
Wspólnota Mieszkaniowa
6
3 Maja
5
107,67
II piętro
4
Biuro
Lokal mieszkalny do zmiany
sposobu użytkowania
7
3 Maja
5/12
44,83
Parter wejście z
korytarza
3
Siedziba stowarzyszenia
Wspólnota Mieszkaniowa
8
3 Maja
1
12,55
I piętro
1
Magazyn
Wspólnota Mieszkaniowa
9
11 Listopada
46/12
69,32
Parter
5
Lokal mieszkalny do zmiany
sposobu użytkowania
Gmina Bielsko-Biała
10
11 Listopada
64a
192.30
Parter + piwnice
7
Lokal gastronomiczny
Gmina Bielsko-Biała
11
11 Listopada
63b
144,29
Parter wejście z
korytarza
1
Magazyn
12
Listopadowa
51
44,26
Parter
3
Sklep spożywczy
13
Barlickiego
16
69,04
I piętro
5
Biuro
14
Boh. Warszawy
12
43,30
2
Magazyn
Wspólnota Mieszkaniowa
15
Bystrzańska
6
4
Magazyn
Gmina Bielsko-Biała
II piętro
Parter, wspólne
45,46 zaplecze sanitarnosocjalne
I piętro
59,83
Wejście z korytarza
suterena
Parter
90,97
Wspólnota Mieszkaniowa
Współwłasność Gminy i osób
fizycznych
Współwłasność Gminy i osób
fizycznych
Gmina Bielsko-Biała
strona/stron 6 / 7
ZGM/LU
lp.
Wykaz lokali użytkowych ogłoszonych do wynajęcia ponownie
Aktualizacja 40/2009 z dnia 07.12.2009r.
adres lokalu
powierzchnia
lokalu (m² )
usytuowanie
ilość
pom.
rodzaj ostatnio prowadzonej
działalności
zał. nr 2 do ogłoszenia
z dnia 30.11.2009r.
właściciel budynku
ulica
nr
16
17
Chopina
Cieszyńska
6
59
37,02
82,21
Suterena
Suterena
3
5
Usługi krawieckie
Magazyn
18
Cieszyńska
109
49,35
Parter
3
Magazyn
19
Gazownicza
15
29,10
Suterena
2
20
Głowackiego
5
60,35
Suterena
3
Magazyn
Lokal mieszkalny
przeznaczony do zmiany
sposobu użytkowania
21
22
Grażyńskiego
Głęboka
29
7
18,80
52,21
3
3
Magazyn
Sklep odzieżowy
23
Grunwaldzka
22c
35,82
2
Magazyn
Wspólnota Mieszkaniowa
24
25
Hallera
Hallera
5
5
7,20
17,00
Parter
Parter
Suterena wejście z
korytarza
Piwnica
I piętro
1
1
Magazyn
Biuro
Wspólnota Mieszkaniowa
Wspólnota Mieszkaniowa
26
Hallera
7
73,15
Parter
4
Pracownia plastyczna
Wspólnota Mieszkaniowa
27
Kasztanowa
5
93,68
4
Hurtownia skarpet
Wspólnota Mieszkaniowa
28
Komorowicka
8
52,21
1
Magazyn
Gmina Bielsko-Biała
29
Komorowicka
10
40,32
Parter
Parter, wejście od
podwórka
Parter (wejście od
podwórka)
1
Magazyn – ślusarstwo
Gmina Bielsko-Biała
30
Komorowicka
14
27,31
Parter
2
Sklep odzieżowy
Gmina Bielsko-Biała
31
Krakowska
42
36,52
2
Magazyn
32
Krakowska
42/8
2
Pracownia artystyczna
Gmina Bielsko-Biała
33
Krasińskiego
5a
1
Biuro
Gmina Bielsko-Biała
Suterena ( wejście z
korytarza )
Suterena
27,70
29,70
I piętro
Wspólnota Mieszkaniowa
Wspólnota Mieszkaniowa
Gmina Bielsko –Biała
Wspólnota Mieszkaniowa
Wspólnota Mieszkaniowa
Gmina Bielsko –Biała
Gmina Bielsko-Biała
Wspólnota Mieszkaniowa
strona/stron 6 / 7
ZGM/LU
lp.
Wykaz lokali użytkowych ogłoszonych do wynajęcia ponownie
Aktualizacja 40/2009 z dnia 07.12.2009r.
adres lokalu
powierzchnia
lokalu (m² )
usytuowanie
ilość
pom.
rodzaj ostatnio prowadzonej
działalności
zał. nr 2 do ogłoszenia
z dnia 30.11.2009r.
właściciel budynku
ulica
nr
34
Krasińskiego
5a
16,00
I piętro
1
Biuro
Gmina Bielsko-Biała
35
Krasińskiego
5a
25,10
I piętro
1
Biuro
Gmina Bielsko-Biała
36
Krasińskiego
27
42,18
Suterena
3
Biuro
Wspólnota Mieszkaniowa
37
Krasińskiego
20c
198,98
I piętro
38
Kunickiego
10
35,45
Suterena
3
Zaplecze socjalne
39
Lipnicka
36
9,00
Kiosk
1
Kiosk spożywczy
40
Lipnicka
61
30,00
Suterena
1
Magazyn
Wspólnota Mieszkaniowa
Miasto Bielsko-Biała na
prawach powiatu
Gmina Bielsko-Biała
41
Lipnicka
214
22,10
Parter
1
Magazyn
Gmina Bielsko-Biała
42
Lipnicka
70
45,20
Suterena
2
Usługi tapicerskie
Gmina Bielsko-Biała
43
Listopadowa
34
13,45
Parter
1
Magazyn
Gmina Bielsko – Biała
44
Listopadowa
120
22,00
Parter
1
Magazyn
Gmina Bielsko-Biała
45
Listopadowa
54
36,60
Suterena
4
Biuro
Gmina Bielsko-Biała
46
Łukasiewicza
7
49,50
Suterena
2
Magazyn
Wspólnota Mieszkaniowa
47
Modrzewskiego
2
40,44
Suterena
2
Sklep odzieżowy
Wspólnota Mieszkaniowa
48
Matejki
8
17,17
Parter
1
Biuro
Wspólnota Mieszkaniowa
49
Mickiewicza
11
20,90
Parter
1
Magazyn
Gmina Bielsko-Biała
50
Mickiewicza
11
76,50
Suterena
3
Magazyn
Gmina Bielsko-Biała
51
Mickiewicza
11
115
Suterena
6
Gabinet kosmetyczny
Gmina Bielsko-Biała
14 Biuro
Budynek prywatny
zarządzany przez ZGM
strona/stron 6 / 7
ZGM/LU
lp.
Wykaz lokali użytkowych ogłoszonych do wynajęcia ponownie
Aktualizacja 40/2009 z dnia 07.12.2009r.
adres lokalu
ulica
nr
powierzchnia
lokalu (m² )
usytuowanie
ilość
pom.
rodzaj ostatnio prowadzonej
działalności
zał. nr 2 do ogłoszenia
z dnia 30.11.2009r.
właściciel budynku
Gmina Bielsko-Biała
budynki pozostające w
opiece ZGM
Gmina Bielsko-Biała
budynki pozostające w
opiece ZGM
52
Paderewskiego
11
102
I piętro
3
Magazyn
53
Paderewskiego
11
90,84
Parter
1
Magazyn
54
Partyzantów
23
54,13
I piętro, oficyna
1
Magazyn tkanin i konfekcji
Gmina Bielsko-Biała
55
Partyzantów
23
16,63
I piętro
1
Biuro
Gmina Bielsko-Biała
56
Partyzantów
23
23,12
I piętro oficyna
1
Magazyn
Gmina Bielsko-Biała
57
Partyzantów
23
26,66
I piętro, oficyna
1
Biuro
Gmina Bielsko-Biała
58
Partyzantów
23
36,46
I piętro
1
Biuro
Gmina Bielsko-Biała
59
Partyzantów
74
41,30
Parter
3
Magazyn
Gmina Bielsko-Biała
60
Pl. Fabryczny
5
66,80
Parter
3
Lokal biurowy
61
Pl. Fabryczny
5
45,00
Parter
3
Sklep odzieżowy
62
Pl. Fabryczny
5
60,00
Parter
2
Sklep zoologiczny
63
Pl. Fabryczny
3
62,30
I piętro
3
Usługi elektroniczne
64
Pocztowa
26
85,48
Parter
2
Magazyn
Gmina Bielsko-Biała
65
Pl. M. Lutra
4b
17,21
Suterena
1
Magazyn
Gmina Bielsko-Biała
Współwłasność Thermy
i gminy Bielsko – Biała
Współwłasność Thermy i
Gminy Bielsko-Biała
Współwłasność Thermy
i gminy Bielsko – Biała
Współwłasność Thermy
i gminy Bielsko – Biała
strona/stron 6 / 7
ZGM/LU
lp.
Wykaz lokali użytkowych ogłoszonych do wynajęcia ponownie
Aktualizacja 40/2009 z dnia 07.12.2009r.
adres lokalu
ulica
nr
powierzchnia
lokalu (m² )
usytuowanie
ilość
pom.
rodzaj ostatnio prowadzonej
działalności
zał. nr 2 do ogłoszenia
z dnia 30.11.2009r.
właściciel budynku
Budynek prywatny
zarządzany przez ZGM
Budynek prywatny
zarządzany przez ZGM
66 Pl. Żwirki i Wigury
5
15,53
Parter
1
Salon gier
67 Pl. Żwirki i Wigury
5
55,95
Suterena
5
Magazyn
68
Piastowska
6
6,60
Parter
1
Magazyn
Wspólnota Mieszkaniowa
69
Podcienie
11
60,95
2
Pracownia artystyczna
Wspólnota Mieszkaniowa
70
Reymonta
6
3
Pracownia krawiecka
Wspólnota Mieszkaniowa
71
Staszica
7
134,80
Parter
7
Biuro
Gmina Bielsko-Biała
72
Sukiennicza
3
289,79
Parter
9
Klub sportowy
Gmina Bielsko-Biała
73
Sikornik
7
56,77
Suterena
3
Produkcja – wyrób sznurowadeł
obuwniczych
Wspólnota Mieszkaniowa
74
Sixta
13
62,62
Wejście z korytarza
suterena
3
Usługi poligraficzne
Wspólnota Mieszkaniowa
75
Słowackiego
14
69,35
Suterena
5
Lokal gastronomiczny
Wspólnota Mieszkaniowa
76
Słowackiego
2
93,71
Parter
5
Usługi RTV
Gmina Bielsko-Biała
77
Skargi
7
32,80
3
Gmina Bielsko-Biała
78
Słowackiego
6a
123,72
Biuro
Usługi w zakresie renowacji
mebli
Parter wejście z
korytarza
Suterena ( wejście z
korytarza
39,45
piwnicznego)
Parter
Parter – oficyna
8
Gmina Bielsko-Biała
strona/stron 6 / 7
ZGM/LU
lp.
Wykaz lokali użytkowych ogłoszonych do wynajęcia ponownie
Aktualizacja 40/2009 z dnia 07.12.2009r.
adres lokalu
powierzchnia
lokalu (m² )
usytuowanie
ilość
pom.
rodzaj ostatnio prowadzonej
działalności
zał. nr 2 do ogłoszenia
z dnia 30.11.2009r.
właściciel budynku
ulica
nr
79
Słowackiego
6a
47,99
Parter-oficyna
2
Magazyn
Wspólnota Mieszkaniowa
80
Słowackiego
21a
75,38
Parter
2
Magazyn
Gmina Bielsko-Biała
81
Słowackiego
25
62,14
Parter
4
Magazyn
Gmina Bielsko-Biała
82
Słowackiego
25
221,03
II piętro
7
Biuro
Gmina Bielsko-Biała
83
84
85
Słowackiego
Sobieskiego
Sobieskiego
80/3
2-4
92
38,10
57,31
95,3
Parter
Parter
I piętro
1
2
5
Magazyn
Usługi elektroniczne
Biuro
Gmina Bielsko-Biała
Gmina Bielsko-Biała
Gmina Bielsko-Biała
86
Sobieskiego
92
34,1
Parter
1
Magazyn
Gmina Bielsko-Biała
87
Sobieskiego
130
259,45
88
Szkolna
16
49,68
89
30
92
Szkolna
Towarzystwa
Szkoły Ludowej
Towarzystwa
Szkoły Ludowej
Wilsona
93
90
91
14
Parter
Suterena ( wejście z
korytarza )
Parter
27,17
Suterena ( wejście z
13,68
korytarza )
6
Hurtownia kosmetyczna
Współwłasność Gminy
Bielsko-Biała i Miasta
Bielsko-Biała na prawach
powiatu
1
Magazyn
Wspólnota Mieszkaniowa
3
Zaplecze socjalne
1
Magazyn
Wspólnota Mieszkaniowa
Wspólnota Mieszkaniowa
Gmina Bielsko –Biała
14
6,30
Suterena
1
Usługi kominiarskie
11
49,84
Suterena
4
Magazyn
Gmina Bielsko-Biała
Wyzwolenia
293
21,33
I piętro
1
Wypożyczalnia kaset
Gmina Bielsko-Biała
94
Wyspiańskiego
6
15,95
Suterena
2
Magazyn
Wspólnota Mieszkaniowa
95
Wita Stwosza
8
22,19
Parter
2
Magazyn
Gmina Bielsko – Biała
strona/stron 6 / 7
ZGM/LU
lp.
zał. nr 2 do ogłoszenia
z dnia 30.11.2009r.
Wykaz lokali użytkowych ogłoszonych do wynajęcia ponownie
Aktualizacja 40/2009 z dnia 07.12.2009r.
adres lokalu
powierzchnia
lokalu (m² )
usytuowanie
ilość
pom.
rodzaj ostatnio prowadzonej
działalności
właściciel budynku
ulica
nr
96
Zielona
12
16,60
Parter
1
Magazyn
Wspólnota Mieszkaniowa
97
Żywiecka
54
54,60
Parter
3
Gabinet lekarski
Wspólnota Mieszkaniowa
ZGM informuje, iż działka nr 40/9 objęta KW nr 79496,na której położone są lokale przy Pl. Fabrycznym 5 nie posiada dostępu do drogi publicznej.