Zalacznik nr 10 - wykaz Budynkow

Transkrypt

Zalacznik nr 10 - wykaz Budynkow
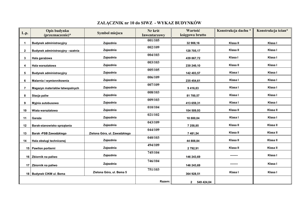
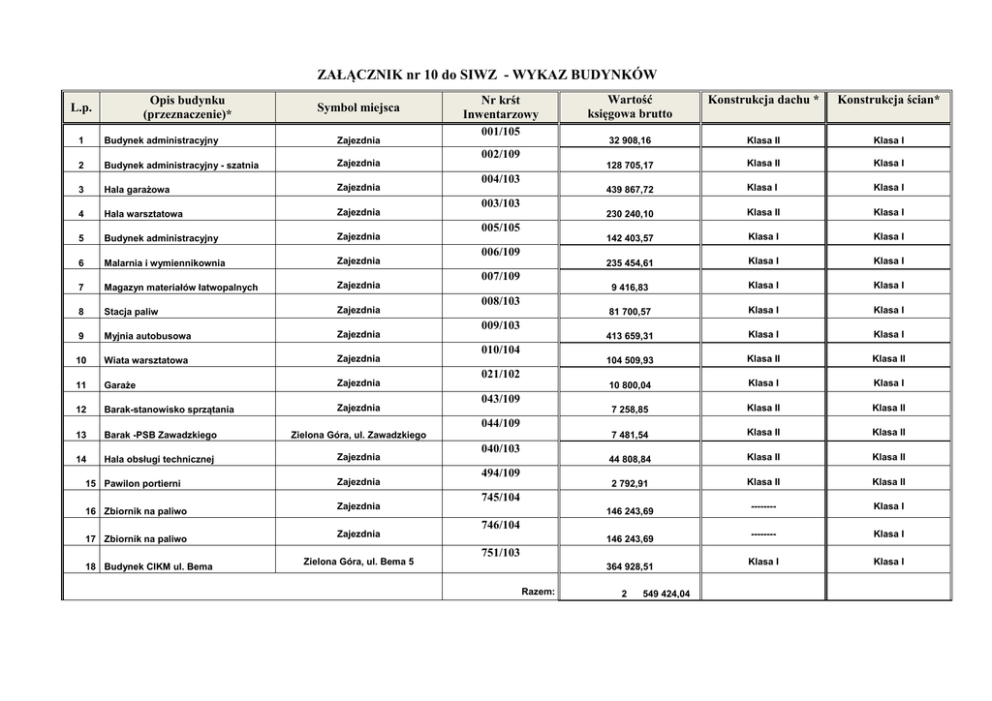
ZAŁĄCZNIK nr 10 do SIWZ - WYKAZ BUDYNKÓW
Opis budynku
(przeznaczenie)*
L.p.
1
Budynek administracyjny
2
Budynek administracyjny - szatnia
3
Hala garażowa
Symbol miejsca
Zajezdnia
Zajezdnia
Zajezdnia
4
Hala warsztatowa
Zajezdnia
5
Budynek administracyjny
Zajezdnia
6
Malarnia i wymiennikownia
Zajezdnia
7
Magazyn materiałów łatwopalnych
8
Stacja paliw
Zajezdnia
Zajezdnia
9
Myjnia autobusowa
Zajezdnia
10
Wiata warsztatowa
Zajezdnia
11
Garaże
Zajezdnia
12
Barak-stanowisko sprzątania
Zajezdnia
Nr krśt
Inwentarzowy
001/105
Wartość
księgowa brutto
Konstrukcja dachu *
Konstrukcja ścian*
32 908,16
Klasa II
Klasa I
128 705,17
Klasa II
Klasa I
439 867,72
Klasa I
Klasa I
230 240,10
Klasa II
Klasa I
142 403,57
Klasa I
Klasa I
235 454,61
Klasa I
Klasa I
9 416,83
Klasa I
Klasa I
81 700,57
Klasa I
Klasa I
413 659,31
Klasa I
Klasa I
104 509,93
Klasa II
Klasa II
10 800,04
Klasa I
Klasa I
7 258,85
Klasa II
Klasa II
7 481,54
Klasa II
Klasa II
44 808,84
Klasa II
Klasa II
2 792,91
Klasa II
Klasa II
--------
Klasa I
--------
Klasa I
Klasa I
Klasa I
002/109
004/103
003/103
005/105
006/109
007/109
008/103
009/103
010/104
021/102
043/109
044/109
13
Barak -PSB Zawadzkiego
Zielona Góra, ul. Zawadzkiego
14
Hala obsługi technicznej
Zajezdnia
15 Pawilon portierni
16 Zbiornik na paliwo
17 Zbiornik na paliwo
18 Budynek CIKM ul. Bema
Zajezdnia
Zajezdnia
Zajezdnia
Zielona Góra, ul. Bema 5
040/103
494/109
745/104
146 243,69
746/104
146 243,69
751/103
364 928,51
Razem:
2
549 424,04
Klasyfikacja obiektów dla potrzeb ubezpieczeniowych z uwagi na stopień palności zastosowanych materiałów budowlanych:
Klasa I – obiekty wykonane z materiałów niepalnych to takie, których główna konstrukcja nośna oraz elementy osłonowe i przekrycie wykonano z materiałów niepalnych, tzn. których elementy
wykonano z zastosowaniem materiałów kamiennych, ceramicznych, kruszyw mineralnych, silikatowych, betonowych, żelbetowych, stalowych itp. oraz materiałów wielowarstwowych z
zastosowaniem materiałów niepalnych
do tej grupy obiektów kwalifikujemy również obiekty, w których pokrycie wykonane jest z materiałów trudno zapalnych ułożonych na podłożu niepalnym (np. papa na podłożu betonowym lub
stalowym itp.)
Klasa II – obiekty wykonane z użyciem materiałów palnych to takie, które zawierają elementy konstrukcji nośnej, elementy osłonowe lub przekrycia wykonane z materiałów palnych lub z
zastosowaniem materiałów palnych, np.: z zastosowaniem drewna, trzciny, pianki poliuretanowej, styropianu itp., do tej grupy zaliczamy również obiekty, których elementy wykonane są z tkanin,
folii, topliwych tworzyw sztucznych oraz obiekty tymczasowe, jak również ściany z rdzeniem (wypełnieniem) ze spienionego polistyrenu (styropianu) lub poliuretanu.