Krajowa deklaracja zgodności

Transkrypt

Krajowa deklaracja zgodności
Den Braven East Sp. z o.o.
Siedziba główna / Headquarters:
ul. Bukowska 11a, Wysogotowo k/Poznania, 62-081 Przeźmierowo, Poland
tel. +48 (0 61) 89 61 740, fax +48 (0 61) 81 62 825
e-mail: [email protected], http://www.denbraven.pl
NIP: 777-10-07-481
Oddział w Warszawie:
ul.Połczyńska 122, 01-304 Warszawa
tel. (0 22) 666 29 57-58, fax (0 22) 666 16 57
e-mail: [email protected]
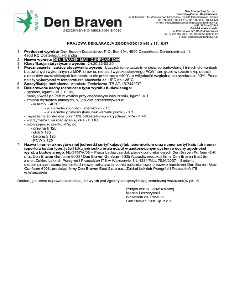
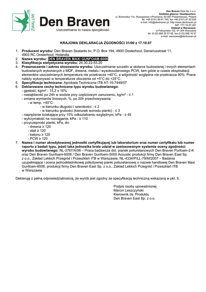
KRAJOWA DEKLARACJA ZGODNOŚCI 31/00 z 17.10.07
1. Producent wyrobu: Den Braven Sealants bv, P.O. Box 194, 4900 Oosterhout, Denariusstraat 11,
4903 RC Oosterhout, Holandia
2. Nazwa wyrobu: DEN BRAVEN MAXI GUNFOAM-6006
3. Klasyfikacja statystyczna wyrobu: 24.30.22-53.20
4. Przeznaczenie i zakres stosowania wyrobu: Uszczelnianie szczelin w stolarce budowlanej i innych elementach
budowlanych wykonanych z MDF, drewna, metalu i wysokoudarowego PCW, tam gdzie w czasie eksploatacji
elementów uszczelnianych temperatura nie przekracza +40°C, a wilgotność względna nie przekracza 90%. Prace
należy wykonywać w temperaturze otoczenia od +5°C do +25°C.
5. Specyfikacja techniczna: Aprobata Techniczna ITB AT-15-7449/07
6. Deklarowane cechy techniczne typu wyrobu budowlanego:
- gęstość, kg/m³ - 15,2 ± 10%
- nasiąkliwość po 24h w wodzie przy częściowym zanurzeniu, kg/m² - ≤ 1
- zmiana wymiarów liniowych, %, po 20h przechowywania:
- w temp. +40°C:
- w kierunku długości i szerokości - ≤ 2
- w kierunku grubości (kierunek wzrostu pianki) - ≤ 3
- naprężenie ściskające przy 10% odkształceniu względnym, kPa - ≥ 45
- wytrzymałość na rozciąganie, kPa - ≥ 110
- przyczepność pianki, kPa, do:
- drewna ≥ 120
- stali ≥ 120
- betonu ≥ 120
- PCW ≥ 120
7. Nazwa i numer akredytowanej jednostki certyfikującej lub laboratorium oraz numer certyfikatu lub numer
raportu z badań typu, jeżeli taka jednostka brała udział w zastosowanym systemie oceny zgodności
wyrobu budowlanego: NL-3767/A/06 – Praca badawcza dot. pianek poliuretanowych Den Braven Purfoam-2-K
oraz Den Braven Gunfoam-6006 / Den Braven Gunfoam-5005 Acoustic produkcji firmy Den Braven East Sp.
z o.o., Zakład Lekkich Przegród i Przeszkleń ITB w Warszawie, NL-4334/P/LL-79/M/2007 – Badania
uzupełniające i ocena jednoskładnikowej półsztywnej pianki poliuretanowej o nazwie handlowej Den Braven Maxi
Gunfoam-6006, produkcji firmy Den Braven East Sp. z o.o., Zakład Lekkich Przegród i Przeszkleń ITB
w Warszawie
Deklaruję z pełną odpowiedzialnością, że wyrób jest zgodny ze specyfikacją techniczną wskazaną w pkt. 5.
Podpis osoby upoważnionej
Marcin Leszczyński
Kierownik ds. Produktu
Den Braven East Sp. z o.o.