Formularz zgłoszeniowy dla lokali użytkowych

Transkrypt

Formularz zgłoszeniowy dla lokali użytkowych
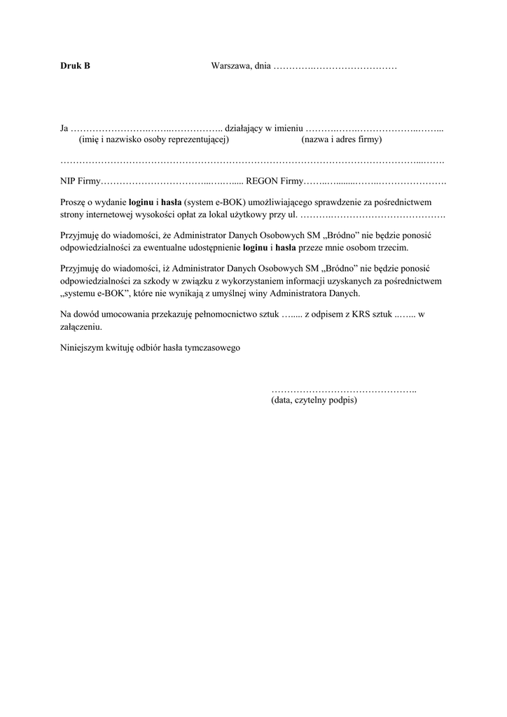
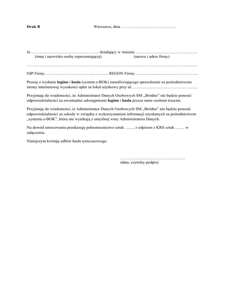
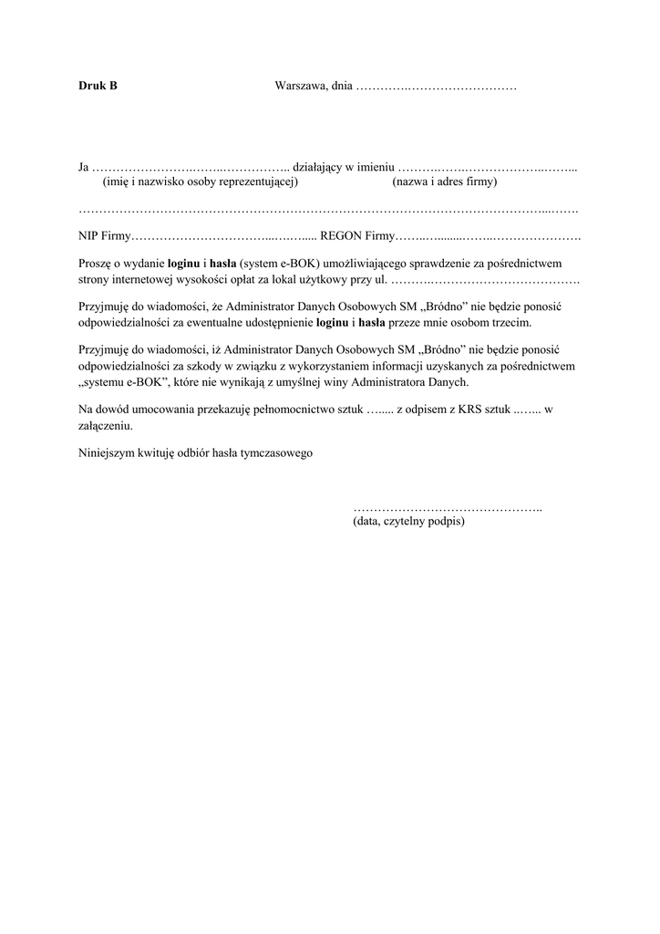
Druk B
Warszawa, dnia ………….………………………
Ja …………………….……..…………….. działający w imieniu ……….…….………………..……...
(imię i nazwisko osoby reprezentującej)
(nazwa i adres firmy)
……………………………………………………………………………………………………...…….
NIP Firmy……………………………...….…..... REGON Firmy……..…........……..………………….
Proszę o wydanie loginu i hasła (system e-BOK) umożliwiającego sprawdzenie za pośrednictwem
strony internetowej wysokości opłat za lokal użytkowy przy ul. ……….……………………………….
Przyjmuję do wiadomości, że Administrator Danych Osobowych SM „Bródno” nie będzie ponosić
odpowiedzialności za ewentualne udostępnienie loginu i hasła przeze mnie osobom trzecim.
Przyjmuję do wiadomości, iż Administrator Danych Osobowych SM „Bródno” nie będzie ponosić
odpowiedzialności za szkody w związku z wykorzystaniem informacji uzyskanych za pośrednictwem
„systemu e-BOK”, które nie wynikają z umyślnej winy Administratora Danych.
Na dowód umocowania przekazuję pełnomocnictwo sztuk …..... z odpisem z KRS sztuk ..…... w
załączeniu.
Niniejszym kwituję odbiór hasła tymczasowego
………………………………………..
(data, czytelny podpis)