Zał. nr 1 do zarządzenia nr 64_16 Karta procedury

Transkrypt

Zał. nr 1 do zarządzenia nr 64_16 Karta procedury
Załącznik nr 1
do zarządzenia nr 64/2016
Karta procedury
P. nr 165 UKdsJK
Procedura: P. nr 165 UKdsJK
Zakres przedmiotowy: monitorowanie losów zawodowych absolwentów
Formularze: ankieta monitorowania losów zawodowych absolwentów (P. nr 165 F1), raport z
analizy ankiet (P. nr 165 F2)
Uczestnicy procesu: absolwenci, kierunkowe zespoły ds. jakości kształcenia (KZdsJK), dziekan
Właściciel procesu: kierunkowe zespoły ds. jakości kształcenia (KZdsJK)
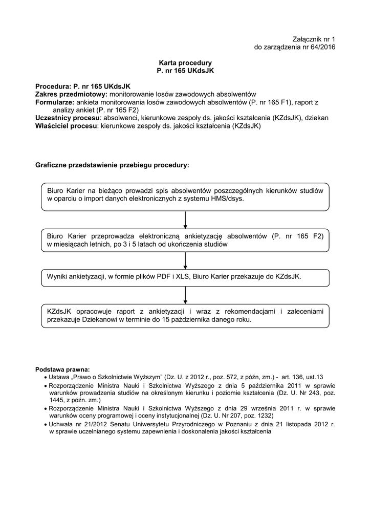
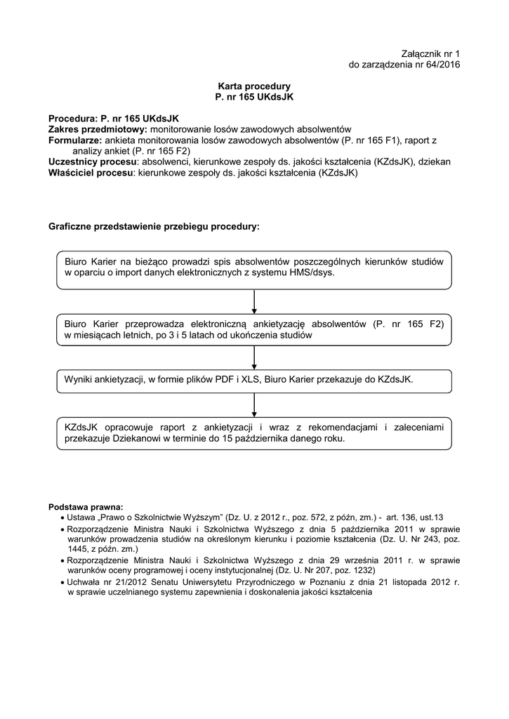
Graficzne przedstawienie przebiegu procedury:
Biuro Karier na bieżąco prowadzi spis absolwentów poszczególnych kierunków studiów
w oparciu o import danych elektronicznych z systemu HMS/dsys.
Biuro Karier przeprowadza elektroniczną ankietyzację absolwentów (P. nr 165 F2)
w miesiącach letnich, po 3 i 5 latach od ukończenia studiów
Wyniki ankietyzacji, w formie plików PDF i XLS, Biuro Karier przekazuje do KZdsJK.
KZdsJK opracowuje raport z ankietyzacji i wraz z rekomendacjami i zaleceniami
przekazuje Dziekanowi w terminie do 15 października danego roku.
Podstawa prawna:
 Ustawa „Prawo o Szkolnictwie Wyższym” (Dz. U. z 2012 r., poz. 572, z późn, zm.) - art. 136, ust.13
 Rozporządzenie Ministra Nauki i Szkolnictwa Wyższego z dnia 5 października 2011 w sprawie
warunków prowadzenia studiów na określonym kierunku i poziomie kształcenia (Dz. U. Nr 243, poz.
1445, z późn. zm.)
 Rozporządzenie Ministra Nauki i Szkolnictwa Wyższego z dnia 29 września 2011 r. w sprawie
warunków oceny programowej i oceny instytucjonalnej (Dz. U. Nr 207, poz. 1232)
 Uchwała nr 21/2012 Senatu Uniwersytetu Przyrodniczego w Poznaniu z dnia 21 listopada 2012 r.
w sprawie uczelnianego systemu zapewnienia i doskonalenia jakości kształcenia