Regulamin promocji „Darmowe minuty w pakiecie

Transkrypt

Regulamin promocji „Darmowe minuty w pakiecie
Regulamin promocji „Darmowe minuty w pakiecie telewizyjnym”
obowiązuje od 10 września 2010 roku
OPERATOR - „EURONET” s.c. z siedzibą w Białymstoku 15-668, ul. Upalna 5A lok. 10/11.
PROMOCJA – kampania promocyjna prowadzona przez Operatora dostępna w chwili zawarcia umowy o świadczenie
usług telekomunikacyjnych na czas określony („Umowa”) na warunkach i w terminach określonych w niniejszym
Regulaminie.
OKRES OBOWIĄZKOWY – okres, w którym Abonent zobowiązuje się do korzystania z Usług świadczonych przez
Operatora, związany z przyznaną mu ulgą.
KONTO – rachunek bankowy Operatora : PKO BP S.A. 82 1020 1332 0000 1502 0029 3548
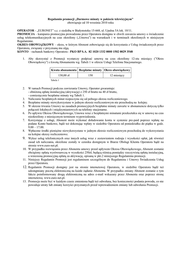
1.
Aby skorzystać z Promocji wystarczy podpisać umowę na czas określony 12-stu miesięcy (”Okres
Obowiązkowy”) z kwotą Abonamentu wg. Tabeli 1 w ofercie Usługi Telefonu Stacjonarnego.
Kwota abonamentu Bezpłatne minuty Okres obowiązkowy
130,00 zł
150
12 miesięcy
Tabela 1
2.
W ramach Promocji podczas zawierania Umowy, Operator gwarantuje:
- obniżoną opłatę instalacyjną (aktywację) z 250 zł brutto na 40 zł brutto,
- comiesięcznie bezpłatne minuty wg Tabeli 1.
3. Naliczanie bezpłatnych minut rozpoczyna się od pełnego okresu rozliczeniowego.
4. Bezpłatne minuty niewykorzystane w jednym okresie rozliczeniowym nie przechodzą na kolejny.
5. W okresie trwania Umowy na zasadach promocyjnych bezpłatne minuty zawarte w abonamencie dotyczą tylko
połączeń lokalnych i międzymiastowych na telefony stacjonarne.
6. Po upływie Okresu Obowiązkowego, Umowa wraz z bezpłatnymi minutami przekształca się w umowę na czas
nieokreślony z miesięcznym terminem wypowiedzenia.
7. Korzystając z usługi, Abonent może wykonać doładowanie konta w systemie pre-paid poprzez wpłatę na
podane Konto bankowe, bądź też dokonując wpłaty w siedzibie Operatora od poniedziałku do piątku w godz.
9.00 – 17.00.
8. Wpłacone środki pieniężne niewykorzystane w jednym okresie rozliczeniowym przechodzą do wykorzystania
na kolejne okresy rozliczeniowe.
9. Wykaz usług telefonicznych oraz innych usług wraz z zestawieniem rodzaju i wysokości opłat, jak również
zasad ich naliczania, określone zostały w cenniku dostępnym w Biurze Obsługi Klienta Operatora bądź na
stronie www.euro-net.pl.
10. W przypadku rozwiązania przez Abonenta umowy przed upływem Okresu Obowiązkowego, Abonent zostanie
obciążony opłatą wyrównawczą w wysokości 250zł, będącą różnicą pomiędzy rzeczywistą opłatą instalacyjną,
a wniesioną promocyjną opłatą za aktywację, opisaną w pkt.2 niniejszego Regulaminu promocji.
11. Niniejszy Regulamin Promocji jest regulaminem szczególnym do Regulaminu i Umowy Świadczenia Usług
przez Operatora.
12. Regulamin Promocji dostępny jest na stronie internetowej Operatora, w siedzibie Operatora bądź też
udostępniany pocztą elektroniczną na każde żądanie Abonenta. W przypadku zmiany Abonent zostanie o tym
fakcie poinformowany drogą elektroniczną na adres e-mail wskazany przez Abonenta oraz poprzez stronę
internetową www.euro-net.pl.
13. Promocja może być w każdym czasie zmieniona bądź też odwołana, bez konieczności podania powodu, co nie
powoduje utraty lub zmiany korzyści przyznanych przed wprowadzeniem zmiany lub odwołania Promocji.