REGULAMIN usługi "Muzyka na czekanie"

Transkrypt

REGULAMIN usługi "Muzyka na czekanie"
REGULAMIN usługi "Muzyka na czekanie"
(obowiązuje od 16.03.2007)
1. P4 Sp. z o.o. z siedzibą w Warszawie przy ulicy Pileckiego 63 udostępnia usługę
„Muzyka na czekanie” zwaną w dalszej części regulaminu „Muzyka na czekanie”
lub „Usługa”.
2. Muzyka na czekanie jest dostępna dla wszystkich Abonentów i UŜytkowników
sieci PLAY.
3. Muzyka na czekanie umoŜliwia ustawienie muzyki, która będzie odgrywana
wszystkim osobom dzwoniącym do UŜytkownika lub Abonenta z aktywną Muzyką
na czekanie (zwanego dalej UŜytkownikiem usługi).
4. Warunkiem koniecznym korzystania z Muzyki na czekanie jest zakupienie
wybranej muzyki przez WAP lub WWW.
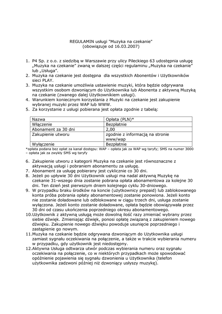
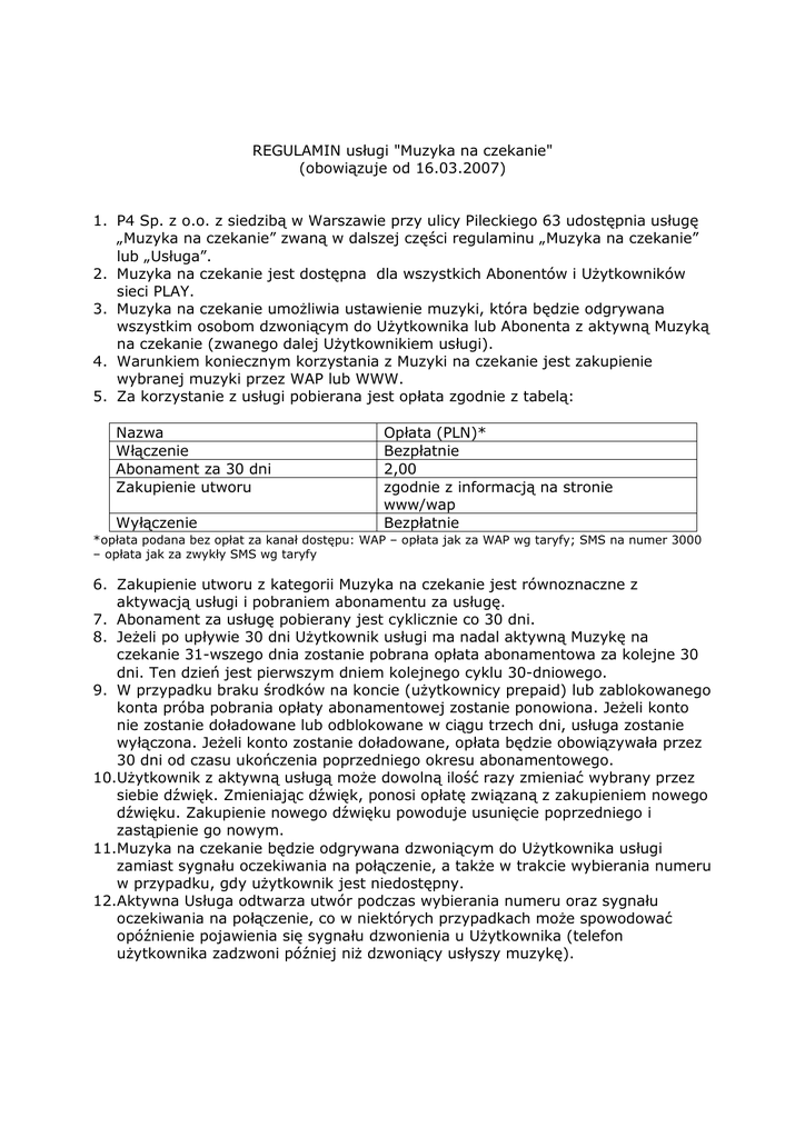
5. Za korzystanie z usługi pobierana jest opłata zgodnie z tabelą:
Nazwa
Włączenie
Abonament za 30 dni
Zakupienie utworu
Wyłączenie
Opłata (PLN)*
Bezpłatnie
2,00
zgodnie z informacją na stronie
www/wap
Bezpłatnie
*opłata podana bez opłat za kanał dostępu: WAP – opłata jak za WAP wg taryfy; SMS na numer 3000
– opłata jak za zwykły SMS wg taryfy
6. Zakupienie utworu z kategorii Muzyka na czekanie jest równoznaczne z
aktywacją usługi i pobraniem abonamentu za usługę.
7. Abonament za usługę pobierany jest cyklicznie co 30 dni.
8. JeŜeli po upływie 30 dni UŜytkownik usługi ma nadal aktywną Muzykę na
czekanie 31-wszego dnia zostanie pobrana opłata abonamentowa za kolejne 30
dni. Ten dzień jest pierwszym dniem kolejnego cyklu 30-dniowego.
9. W przypadku braku środków na koncie (uŜytkownicy prepaid) lub zablokowanego
konta próba pobrania opłaty abonamentowej zostanie ponowiona. JeŜeli konto
nie zostanie doładowane lub odblokowane w ciągu trzech dni, usługa zostanie
wyłączona. JeŜeli konto zostanie doładowane, opłata będzie obowiązywała przez
30 dni od czasu ukończenia poprzedniego okresu abonamentowego.
10.UŜytkownik z aktywną usługą moŜe dowolną ilość razy zmieniać wybrany przez
siebie dźwięk. Zmieniając dźwięk, ponosi opłatę związaną z zakupieniem nowego
dźwięku. Zakupienie nowego dźwięku powoduje usunięcie poprzedniego i
zastąpienie go nowym.
11.Muzyka na czekanie będzie odgrywana dzwoniącym do UŜytkownika usługi
zamiast sygnału oczekiwania na połączenie, a takŜe w trakcie wybierania numeru
w przypadku, gdy uŜytkownik jest niedostępny.
12.Aktywna Usługa odtwarza utwór podczas wybierania numeru oraz sygnału
oczekiwania na połączenie, co w niektórych przypadkach moŜe spowodować
opóźnienie pojawienia się sygnału dzwonienia u UŜytkownika (telefon
uŜytkownika zadzwoni później niŜ dzwoniący usłyszy muzykę).
13.Wyłączenia usługi moŜna dokonać wysyłając SMS o treści „NIE” na numer 3000
(opłata jak za zwykły SMS) lub przez stronę wap.
14.Wyłączenie Usługi po okresie krótszym niŜ miesiąc nie powoduje zwrotu części
abonamentu na konto.
15.Po wyłączeniu Usługi uprzednio opłacony abonament ulega uniewaŜnieniu i
ponowna aktywacja wiąŜe się z nową opłatą abonamentową. Wyłączenie usługi
powoduje utratę zakupionej muzyki.
16.Włączenie/wyłączenie usługi następuje w ciągu 24 godzin od dokonania
aktywacji przez stronę wap lub www lub deaktywacji przez SMS lub wap.
17.Korzystanie z usługi oznacza akceptację regulaminu usługi.
18.P4 sp. z o.o. nie ponosi odpowiedzialności za zastąpienie wybranej muzyki przez
standardowy dźwięk oczekiwania na połączenie z powodu krótkotrwałych
problemów technicznych.
19.P4 Sp. z o.o. zastrzega sobie prawo do zmiany niniejszego regulaminu w
dowolnym czasie. Wszelkie zmiany staja się obowiązujące w momencie ich
opublikowania na stronie www dotyczącej Usługi, o ile nie zastrzeŜono inaczej.