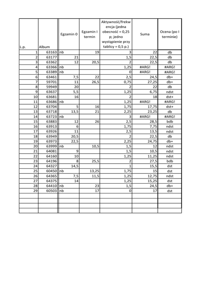
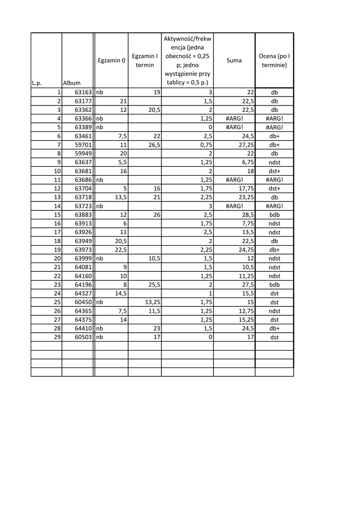
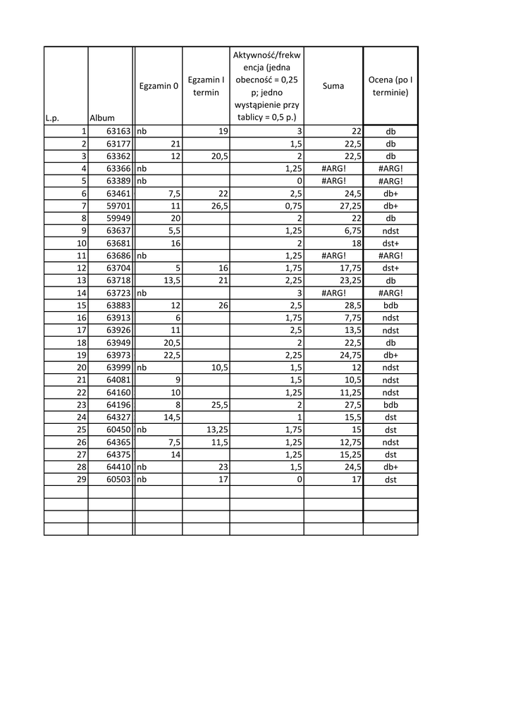
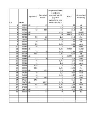
wyniki_po_terminie_I_gr_1330_1500

Transkrypt

wyniki_po_terminie_I_gr_1330_1500
Egzamin 0
L.p.
1
2
3
4
5
6
7
8
9
10
11
12
13
14
15
16
17
18
19
20
21
22
23
24
25
26
27
28
29
Album
63163
63177
63362
63366
63389
63461
59701
59949
63637
63681
63686
63704
63718
63723
63883
63913
63926
63949
63973
63999
64081
64160
64196
64327
60450
64365
64375
64410
60503
Egzamin I
termin
Nazwisko i imiona
Bartman
nb
Natalia
19
Below Łukasz
21
Dymowska
12Joanna 20,5
Dzięcioł
nb
Artur
Flis
nb Paulina
Grabowski
7,5Krzysztof 22
Kapella Emilia
11
26,5
Karbowska
20Martyna
Konopka 5,5
Agnieszka
Kozłowska16Justyna
Kraśniewska
nb
Maria
Kubacki Piotr
5
16
Kucięba13,5
Kacper
21
Kula
nb Daria
Michalski 12
Tomasz
26
Mróz Roksana
6
Napiórkowska
11 Adrianna
Nowacki20,5
Adam
Opalińska
22,5
Alicja
Paradecki
nb
Gabriel 10,5
Porycki Filip9
Sapko Marcin
10
Skóra Martyna
8
25,5
Śmigielska
14,5Marta
Tomica
nb
Izaak
13,25
Troczyński
7,5Kacper 11,5
Trzeciak Paulina
14
Wąsiewicz
nb
Karina
23
Wilk
nb Artur
17
Aktywność/frekw
encja (jedna
obecność = 0,25
p; jedno
wystąpienie przy
tablicy = 0,5 p.)
3
1,5
2
1,25
0
2,5
0,75
2
1,25
2
1,25
1,75
2,25
3
2,5
1,75
2,5
2
2,25
1,5
1,5
1,25
2
1
1,75
1,25
1,25
1,5
0
Suma
22
22,5
22,5
#ARG!
#ARG!
24,5
27,25
22
6,75
18
#ARG!
17,75
23,25
#ARG!
28,5
7,75
13,5
22,5
24,75
12
10,5
11,25
27,5
15,5
15
12,75
15,25
24,5
17
Ocena (po I
terminie)
db
db
db
#ARG!
#ARG!
db+
db+
db
ndst
dst+
#ARG!
dst+
db
#ARG!
bdb
ndst
ndst
db
db+
ndst
ndst
ndst
bdb
dst
dst
ndst
dst
db+
dst