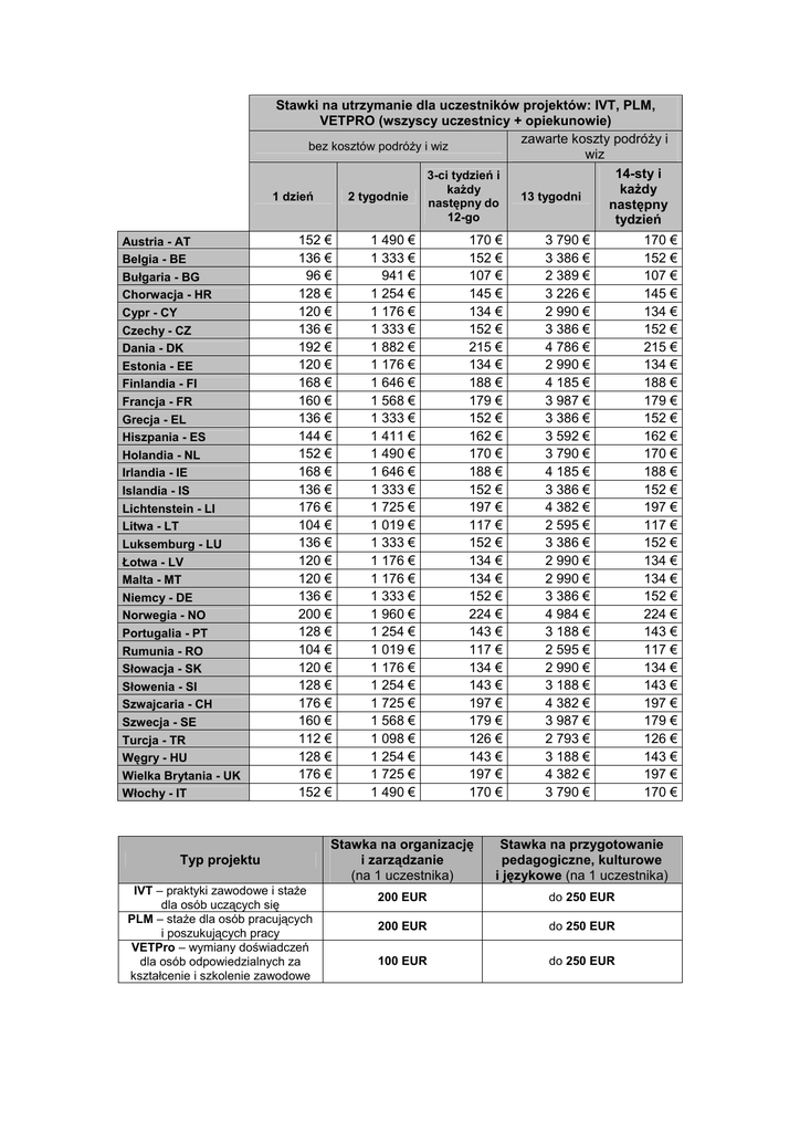
Stawki 2011

Transkrypt

Stawki 2011
Stawki na utrzymanie dla uczestników projektów: IVT, PLM,
VETPRO (wszyscy uczestnicy + opiekunowie)
zawarte koszty podróŜy i
bez kosztów podróŜy i wiz
wiz
14-sty i
3-ci tydzień i
kaŜdy
kaŜdy
1 dzień
2 tygodnie
13 tygodni
następny do
następny
12-go
tydzień
Austria - AT
Belgia - BE
Bułgaria - BG
Chorwacja - HR
Cypr - CY
Czechy - CZ
Dania - DK
Estonia - EE
Finlandia - FI
Francja - FR
Grecja - EL
Hiszpania - ES
Holandia - NL
Irlandia - IE
Islandia - IS
Lichtenstein - LI
Litwa - LT
Luksemburg - LU
Łotwa - LV
Malta - MT
Niemcy - DE
Norwegia - NO
Portugalia - PT
Rumunia - RO
Słowacja - SK
Słowenia - SI
Szwajcaria - CH
Szwecja - SE
Turcja - TR
Węgry - HU
Wielka Brytania - UK
Włochy - IT
152 €
136 €
96 €
128 €
120 €
136 €
192 €
120 €
168 €
160 €
136 €
144 €
152 €
168 €
136 €
176 €
104 €
136 €
120 €
120 €
136 €
200 €
128 €
104 €
120 €
128 €
176 €
160 €
112 €
128 €
176 €
152 €
Typ projektu
IVT – praktyki zawodowe i staŜe
dla osób uczących się
PLM – staŜe dla osób pracujących
i poszukujących pracy
VETPro – wymiany doświadczeń
dla osób odpowiedzialnych za
kształcenie i szkolenie zawodowe
1 490 €
1 333 €
941 €
1 254 €
1 176 €
1 333 €
1 882 €
1 176 €
1 646 €
1 568 €
1 333 €
1 411 €
1 490 €
1 646 €
1 333 €
1 725 €
1 019 €
1 333 €
1 176 €
1 176 €
1 333 €
1 960 €
1 254 €
1 019 €
1 176 €
1 254 €
1 725 €
1 568 €
1 098 €
1 254 €
1 725 €
1 490 €
170 €
152 €
107 €
145 €
134 €
152 €
215 €
134 €
188 €
179 €
152 €
162 €
170 €
188 €
152 €
197 €
117 €
152 €
134 €
134 €
152 €
224 €
143 €
117 €
134 €
143 €
197 €
179 €
126 €
143 €
197 €
170 €
3 790 €
3 386 €
2 389 €
3 226 €
2 990 €
3 386 €
4 786 €
2 990 €
4 185 €
3 987 €
3 386 €
3 592 €
3 790 €
4 185 €
3 386 €
4 382 €
2 595 €
3 386 €
2 990 €
2 990 €
3 386 €
4 984 €
3 188 €
2 595 €
2 990 €
3 188 €
4 382 €
3 987 €
2 793 €
3 188 €
4 382 €
3 790 €
170 €
152 €
107 €
145 €
134 €
152 €
215 €
134 €
188 €
179 €
152 €
162 €
170 €
188 €
152 €
197 €
117 €
152 €
134 €
134 €
152 €
224 €
143 €
117 €
134 €
143 €
197 €
179 €
126 €
143 €
197 €
170 €
Stawka na organizację
i zarządzanie
(na 1 uczestnika)
Stawka na przygotowanie
pedagogiczne, kulturowe
i językowe (na 1 uczestnika)
200 EUR
do 250 EUR
200 EUR
do 250 EUR
100 EUR
do 250 EUR