Lokalizacja na terenie miasta

Transkrypt

Lokalizacja na terenie miasta
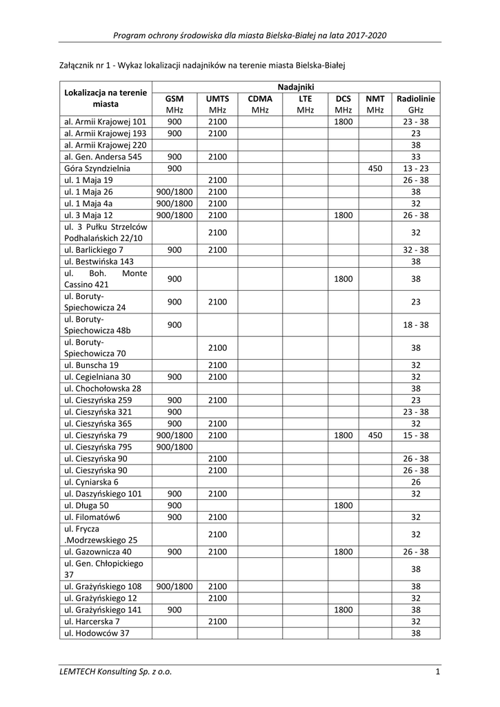
Program ochrony środowiska dla miasta Bielska-Białej na lata 2017-2020
Załącznik nr 1 - Wykaz lokalizacji nadajników na terenie miasta Bielska-Białej
Lokalizacja na terenie
miasta
al. Armii Krajowej 101
al. Armii Krajowej 193
al. Armii Krajowej 220
al. Gen. Andersa 545
Góra Szyndzielnia
ul. 1 Maja 19
ul. 1 Maja 26
ul. 1 Maja 4a
ul. 3 Maja 12
ul. 3 Pułku Strzelców
Podhalańskich 22/10
ul. Barlickiego 7
ul. Bestwińska 143
ul.
Boh.
Monte
Cassino 421
ul. BorutySpiechowicza 24
ul. BorutySpiechowicza 48b
ul. BorutySpiechowicza 70
ul. Bunscha 19
ul. Cegielniana 30
ul. Chochołowska 28
ul. Cieszyńska 259
ul. Cieszyńska 321
ul. Cieszyńska 365
ul. Cieszyńska 79
ul. Cieszyńska 795
ul. Cieszyńska 90
ul. Cieszyńska 90
ul. Cyniarska 6
ul. Daszyńskiego 101
ul. Długa 50
ul. Filomatów6
ul. Frycza
.Modrzewskiego 25
ul. Gazownicza 40
ul. Gen. Chłopickiego
37
ul. Grażyńskiego 108
ul. Grażyńskiego 12
ul. Grażyńskiego 141
ul. Harcerska 7
ul. Hodowców 37
GSM
MHz
900
900
UMTS
MHz
2100
2100
900
900
2100
900/1800
900/1800
900/1800
900
DCS
MHz
1800
NMT
MHz
450
2100
2100
2100
2100
1800
32
2100
32 - 38
38
1800
38
2100
23
900
900
900
900
900
900/1800
900/1800
18 - 38
2100
38
2100
2100
32
32
38
23
23 - 38
32
15 - 38
2100
2100
2100
1800
2100
2100
900
900
900
900
Radiolinie
GHz
23 - 38
23
38
33
13 - 23
26 - 38
38
32
26 - 38
2100
900
900
Nadajniki
CDMA
LTE
MHz
MHz
450
26 - 38
26 - 38
26
32
2100
1800
2100
32
2100
32
2100
1800
26 - 38
38
900/1800
2100
2100
900
LEMTECH Konsulting Sp. z o.o.
1800
2100
38
32
38
32
38
1
Program ochrony środowiska dla miasta Bielska-Białej na lata 2017-2020
Lokalizacja na terenie
miasta
ul. Józefa Kustronia 74
ul. Jutrzenki 20
ul. Kamińskiego 19
ul. Karpacka 11
ul. Karpacka 123
ul. Karpacka 134
ul. Karpacka 146
ul. Katowicka 63
ul. Klubowa 185
ul. Komorowicka 285
ul. Komorowicka 87
ul. Konwojowa 96
ul. Krakowska dz. nr
3287/11
ul. Krańcowa 2
ul. Krausa 40
ul. Ks. Brzóski 3
ul. Ks. Londzina 14
ul. Ks. Londzina 15c
ul. Kwiatkowskiego 80
ul. Langiewicza dz. nr
958/17
ul. Legionów 26/28
ul. Leszczyńska 20
ul. Michałowicza 12
ul. Międzyrzecka 230
ul. Młyńska dz. nr
313/9
ul. Mostowa 5
ul. Napędowa dz. nr
1433/15,16
ul. NMP Królowej
Polski 15
ul. Norwida 15
ul. Oświęcimska dz. nr
768/20
ul. Oświęcimska dz. nr
958/17
ul. Piastowska 40
ul. Piastów Śl. 10
ul. Piekarska 130
ul. Piekarska 163
ul. Piekarska 20
ul. Piekarska 77
ul. Piłsudskiego 27
ul. Polna 7
ul. Poniatowskiego 6
2
GSM
MHz
900
900
900/1800
900
900
900
900
900/1800
UMTS
MHz
2100
2100
2100
CDMA
MHz
2100
2100
2100
2100
2100
2100
Nadajniki
LTE
MHz
NMT
MHz
Radiolinie
GHz
32
32
32
32
38
26 - 38
38 - 58
23 - 38
38
38
1800
900/1800
900
900/1800
900
900
DCS
MHz
1800
2100
2100
2100
2100
1800
1800
900
2100
1800
900
900
900/1800
2100
2100
2100
1800
2100
8 - 38
32
38
32 - 38
11-38
32 - 38
38
13 - 38
13 - 38
38
26
23 - 38
32
900
38
900
1800
23 - 38
900
2100
32
900
2100
13 - 32
900
2100
900/1800
2100
900/1800
900
900
900
2100
2100
2100
2100
2100
900
900
900
2100
2100
1800
420
38
18 - 38
1800
1800
32 - 38
23
23
32
23 - 32
38
1800
32
32
LEMTECH Konsulting Sp. z o.o.
Program ochrony środowiska dla miasta Bielska-Białej na lata 2017-2020
Lokalizacja na terenie
miasta
ul. Przy Torach 1
ul. Regera 58
ul. Rychlińskiego 11
ul. Rychlińskiego 19
ul. Sarni Stok 1
ul. Sarni Stok 27F
ul. Serdeczna dz. nr
2558/11
ul. Sobieskiego 105
ul. Spółdzielców 9
ul. Stalowa
ul. Starobielska 9
ul. Staszica 2
ul. Stawowa 13
ul. Sternicza 10
ul. Sukiennicza 7
ul. Szczęśliwa 23
ul. Św. Andrzeja
Boboli 41
ul. T. Sixta 19
ul. Tańskiego 56
ul. Tuwima 2
ul. Wapienicka 6
ul. Wapienna 30
ul. Warszawska 153
ul. Warszawska 5
ul. Willowa 2
ul. Witosa 10
ul. Przy Torach 1
ul. Wzgórze 5
ul. Wyzwolenia 340
ul. Zgody 4
ul. Złoty Potok 4
ul. Żywiecka 13
ul. Żywiecka 93
UMTS
MHz
2100
900
2100
900
900
2100
2100
Radiolinie
GHz
23
18
32
23
32
32 - 38
900
2100
18
900
900
900
900
900
900
900
900
900/1800
900
900
900
900
900
900/1800
CDMA
MHz
Nadajniki
LTE
MHz
GSM
MHz
900/1800
DCS
MHz
1800
2100
2100
2100
2100
2100
32 - 38
11 - 38
38
26 - 38
26
32
38
33
2100
23 - 32
1800
1800
2100
1800
2100
2100
1800
2100
1800
1800
1800
LEMTECH Konsulting Sp. z o.o.
450
38
32
13 - 38
38
23
38
1800
2100
2100
2100
1800
900/1800
900
900
900
900
1800
NMT
MHz
2100
2100
2100
2100
32
38
23
38
23
23
23
1800
1800
3