IC695CHS012 - Platforma Internetowa ASTOR.

Transkrypt

IC695CHS012 - Platforma Internetowa ASTOR.
GE INTELLIGENT PLATFORMS - PACSYSTEMS RX3I
ASTOR
IC695CHS012
•
12 gniazdowa kaseta montażowa podstawowa.
Kaseta podstawowa CHS012 posiada 12 gniazd z podwójną magistralą: CompactPCI oraz
magistralą zgodną z magistralą sterownika 90-30. Dzięki temu kasety współpracują z modułami z grupy IC694, IC695 oraz modułami sterownika 90-30 (wyjątkiem są niektóre moduły
komunikacyjne: IC693CMM302, IC693CMM311, IC693CMM321, IC693PCM301,
IC693PCM311, IC693RTM705, IC693PBM200, IC693PBS201).
Kaseta obsługuje wymianę modułów na ruchu.
Kaseta CHS012 współpracuje tylko z zasilaczami z grupy IC695.
Z lewej strony kaseta CHS012 posiada wbudowany terminal przyłączeniowy do podłączenia
zewnętrznego izolowanego zasilania 24 VDC potrzebnego do zasilania obwodów niektórych
modułów z grupy IC693 i IC694.
Gniazdo 0 kasety bazowej posiada złącze pozwalające na umieszczenie jedynie zasilacza. W
złączu tym może być umieszczony moduł zajmujący 2 gniazda, o ile złącze komunikacyjne
umieszczone jest w części odpowiadającej 1 gniazdu (np. CPU310).
Ostatnie gniazdo (gniazdo 12) przeznaczone jest do montowania modułu umożliwiającego
podłączenie kaset rozszerzających (IC695LRE001).
U dołu kasety umieszczona jest listwa posiadająca nawiercone otwory, celem wspólnego
spięcia, uziemienia ekranów kabli sygnałowych.
WYMIARY
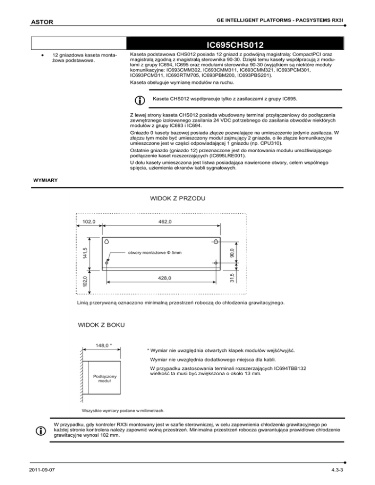
WIDOK Z PRZODU
428,0
31,5
102,0
otwory monta żowe Φ 5mm
90,0
462,0
141,5
102,0
Linią przerywaną oznaczono minimalną przestrzeń roboczą do chłodzenia grawitacyjnego.
WIDOK Z BOKU
148,0 *
* Wymiar nie uwzględnia otwartych klapek modułów wejść/wyjść.
Wymiar nie uwzględnia dodatkowego miejsca dla kabli.
Podłączony
moduł
W przypadku zastosowania terminali rozszerzających IC694TBB132
wielkość ta musi być zwiększona o około 13 mm.
Wszystkie wymiary podane w milimetrach.
W przypadku, gdy kontroler RX3i montowany jest w szafie sterowniczej, w celu zapewnienia chłodzenia grawitacyjnego po
każdej stronie kontrolera należy zapewnić wolną przestrzeń. Minimalna przestrzeń robocza gwarantująca prawidłowe chłodzenie
grawitacyjne wynosi 102 mm.
2011-09-07
4.3-3