Warsztaty dla dzieci Workshops for children

Transkrypt

Warsztaty dla dzieci Workshops for children
Warsztaty dla dzieci
Workshops for children
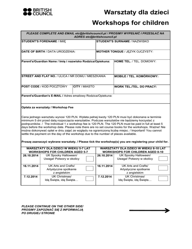
PLEASE COMPLETE AND EMAIL [email protected] / PROSIMY WYPEŁNIĆ I PRZESŁAĆ NA
ADRES [email protected]
STUDENT'S FORENAME / IMIĘ
STUDENT'S SURNAME / NAZWISKO
DATE OF BIRTH / DATA URODZENIA:
MOTHER TONGUE / JĘZYK OJCZYSTY:
Parent's/Guardian Name / Imię i nazwisko Rodzica/Opiekuna:
HOME TEL. / TEL. DOMOWY:
STREET AND FLAT NO. / ULICA I NR DOMU / MIESZKANIA
MOBILE / TEL. KOMÓRKOWY:
POST CODE / KOD POCZTOWY
WORK TEL./TEL. DO PRACY:
CITY / MIASTO
Parent's/Guardian's E-MAIL / Adres emailowy Rodzica/Opiekuna:
Opłata za warsztaty / Workshop Fee
Cena jednego warsztatu wynosi 120 PLN. Wpłata pełnej kwoty 120 PLN musi być dokonana w terminie
minimum 5 dni przed datą rozpoczęcia warsztatów. Podczas warsztatów nie będziemy korzystać z
podręczników. / The individual 1 x workshop fee is 120 PLN. The 120 PLN must be paid in full at least 5
days before the workshop date. Please note there are no set course books for the workshops. Ważne! Nie
można dokonywać opłat w dniu zajęć ze względu na ograniczoną liczbę miejsc. / Important! You cannot
settle the payment on the day of the workshop due to the number of places available.
Proszę zaznaczyć wybrane warsztaty. / Please tick the workshop(s) you are registering your child for.
WARSZTATY DLA DZIECI W WIEKU 5-7 LAT
WORKSHOPS FOR CHILDREN AGED 5-7
UK Spooky Halloween/
26.10.2014
Uwaga! Potwory w okolicy
16.11.2014
7.12.2014
UK Arts and Crafts/
Artystyczne spotkanie
z angielskim
UK Christmas/
Idą Święta, idą Święta…
PLEASE CONTINUE ON THE OTHER SIDE/
PROSIMY ZAPOZNAĆ SIĘ Z INFORMACJĄ
PO DRUGIEJ STRONIE
WARSZTATY DLA DZIECI W WIEKU 8-10 LAT
WORKSHOPS FOR CHILDREN AGED 8-10
UK Spooky Halloween/
26.10.2014
Uwaga! Potwory w okolicy
16.11.2014
7.12.2014
UK Arts and Crafts/
Artystyczne spotkanie
z angielskim
UK Christmas/
Idą Święta, idą Święta…
Zwroty / Refunds
1) Do 5 dni przed datą rozpoczęcia warsztatów można ubiegać się o jednorazowy zwrot 75% kosztów opłaty uiszczonej za
udział dziecka w warsztatach British Council.
2) Do 4 dni przed datą rozpoczęcia warsztatów, można ubiegać się o jednorazowy zwrot 50% kosztów opłaty uiszczonej za
udział dziecka w warsztatach British Council.
3) Nie przewiduje się zwrotów kosztów za warsztaty w przypadku gdy dziecko jest nieobecne w dzień warsztatów, jeśli nie
miało miejsca wcześniejsze powiadomienie o odwołaniu uczestnictwa.
1) Up to 5 days before the workshop date parents who have registered their child for a British Council workshop can apply
for a 75% refund of the individual workshop registration fee.
2) Up to 4 days before the workshop date parents who have registered their child for a British Council workshop can apply
for a 50% refund of the individual workshop registration fee.
3) Parents will receive no refund if their child is unable to attend on the day of the workshop with no prior cancellation.
Zmiany w programie warsztatów / Alterations to the workshops programme
W przypadku niewystarczającej liczby uczestników danego warsztatu, Fundacja British Council zastrzega sobie prawo jego
odwołania, gwarantując jednocześnie zwrot całości wniesionej opłaty. / Should there not be sufficient students by the start
of individual workshops, the Fundacja British Council reserves the right to cancel the course. On cancellation of the course
by the Fundacja British Council, the full workshop fee will be refunded.
Specjalne okoliczności / Special Circumstances
Fundacja British Council zastrzega sobie prawo do odwołania zajęć w przypadku zaistnienia wyjątkowych i
nieprzewidzianych okoliczności jak np. klęski żywiołowe czy wydarzenia narodowe. Fundacja British Council dołoży
wszelkich starań, aby zajęcia zostały zrealizowane w innym terminie, lecz nie jest w stanie tego zagwarantować. Fundacja
British Council reserves the rights to cancel workshops during unusual circumstances (e.g. natural disasters, national
events etc). In such extraordinary circumstances the Fundacja British Council will endeavour to make up cancelled
workshops, but cannot guarantee to do so.
Poprzez podpisanie tego oświadczenia, akceptuje Pan/Pani warunki i regulamin uczestnictwa w Warsztatach
Kulturowych oraz wyraża zgodę na gromadzenie oraz przetwarzanie przez Fundację British Council przekazanych
danych osobowych - zarówno teraz jak i w przyszłości - do celów wymienionych poniżej. Przetwarzanie danych
osobowych może obejmować ich przekazywanie innym biurom British Council oraz podmiotom współpracującym z
Fundacją British Council przy dostarczaniu produktów lub usług w kraju lub za granicą. Zgromadzone dane osobowe będą
przetwarzane w następujących celach: / By signing this statement, you accept the conditions and regulations of the
Cultural Workshops and agree that the Fundacja British Council may collect and process your personal data both
now and in the future for the purposes specified below. The processing may involve the local and overseas transfer of
your personal data to subjects cooperating with the Fundacja British Council in the provision of products and services as
well as other British Council offices. Personal data collected by the Fundacja British Council will be processed for one or any
of the following purposes:
• Administracyjnych związanych z dostarczeniem kursów językowych przez Fundację British Council
Administrative purposes linked with the provision of language courses by the Fundacja British Council
• Marketingowych związanych z działalnością Fundacji British Council
Marketing purposes linked with the Fundacja British Council operations
Nie wyrażam zgody / I disagree
• Podczas lekcji oraz zajęć dodatkowych w Fundacji British Council nauczyciele mogą robić zdjęcia lub nagrywać filmy w
ramach projektów edukacyjnych, do produkcji materiałów promocyjnych (np. YL Yearbook) lub w celach
szkoleniowych. Fundacja British Council wykorzysta wizerunek Pani/Pana dziecka do celów promocji swojej działalności.
Wykorzystanie wizerunku może obejmować umieszczanie ich w publikacjach, na stronach internetowych oraz w
materiałach promocyjnych przygotowywanych przez Fundację British Council. Wizerunek Pani/Pana dziecka może również
w powyższych celach zostać przekazane do biur British Council za granicą. W związku z faktem, iż
Fundacja British Council jest organizacją międzynarodową, promocja naszej działalności może obejmować ogólnoświatową
dystrybucję naszych publikacji i materiałów promocyjnych, jak również publikację wizerunku Pani/Pana dziecka na
powszechnie dostępnych stronach internetowych. / During classes and extra-curricular activities at the Fundacja British
Council teachers may take photos and record short films as a part of educational projects, for promotional publications (e.g.
YL Yearbook) or for training purposes. The Fundacja British Council will use your child’s image for the purpose of
promoting Fundacja British Council activities. This may include placing your child’s image in our publications, on our
websites and in our promotional materials. In addition we may also pass your child’s image to any of our overseas offices,
where necessary, for the above purpose. As the British Council is an international organisation, promoting Fundacja British
Council activities may involve the global distribution of our publications and promotional materials as well as placing your
child’s image or any such materials on our websites that are accessible worldwide.
Zgadzam się na wykorzystanie przez Fundację British Council wizerunku mojego dziecka do celów wymienionych
poniżej, w tym na przekazywanie i wykorzystanie wizerunku mojego dziecka poza granicami Polski. / I agree that
Fundacja British Council may use my child’s image for the purposes below and consent to any global transfer and
distribution that this may entail.
Nie wyrażam zgody / I disagree
Zgodnie z przepisami dotyczącymi ochrony danych osobowych obowiązującymi na terenie Wielkiej Brytanii oraz Polski,
Fundacja British Council jest zobowiązane do przetwarzania danych osobowych w sposób zapewniający ich poufność i
bezpieczeństwo oraz wyłącznie w oznaczonych celach. / According to the regulations concerning data protection which are
in force in the United Kingdom and Poland, The Fundacja British Council is legally bound to process personal data only for
specified purposes in a manner that is both confidential and secure.
Administratorem danych osobowych jest: / The Data Controller details are as follows:
Na terenie Polski: / Within the borders of Poland: Fundacja British Council, Aleje Jerozolimskie 59, 00-697 Warszawa,
Polska Na terenie Wielkiej Brytanii: / Within the borders of the UK: The British Council, 10 Spring Gardens, London
SW1A 2BN, United Kingdom
____________________________ (data i podpis/ date and signature)