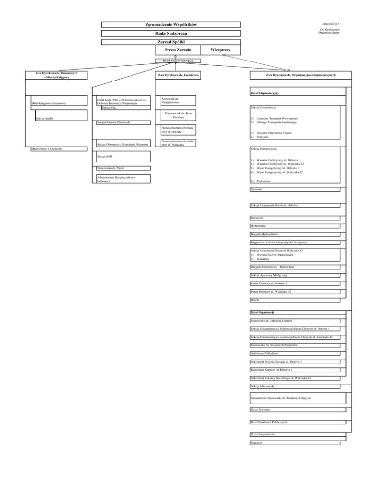
Zgromadzenie Wspólników Rada Nadzorcza Zarząd Spółki

Transkrypt

Zgromadzenie Wspólników Rada Nadzorcza Zarząd Spółki
Zgromadzenie Wspólników
załącznik nr 4
Do Regulaminu
Organizacyjnego
Rada Nadzorcza
Zarząd Spółki
Prezes Zarządu
Wiceprezes
Dyrektor Zarządzający
Z-ca Dyrektora ds. finansowych
- Główny Księgowy
Z-ca Dyrektora ds. Lecznictwa
Z-ca Dyrektora ds. Organizacyjno-Eksploatacyjnych
Dział Eksploatacyjny
Dział Księgowo-Żinansowy:
Dział Kadr i Płac z Pełnomocnikiem ds.
Ochrony Informacji Niejawnych
Kierownik ds.
Pielęgniarstwa
Sekcja Płac
Sekcja Gospodarcza
Pełnomocnik ds. Praw
Pacjenta
Sekcja Analiz
Sekcja Radców Prawnych
Przedsiębiorstwa Szpitala
przy ul. Dekerta
Sekcja Obronności, Kancelaria Niejawna
Dział Umów i Rozliczeń
1)
2)
Centralny Transport Wewnętrzny
Obsługa Transportu Sanitarnego
3)
4)
Brygada Utrzymania Terenu
Poligrafia
Przedsiębiorstwa Szpitala
przy ul. Walczaka
Sekcja Energetyczna
Sekcja BHP
Stanowisko ds. P/po
Administrator Bezpieczeństwa
Informacji
1)
2)
3)
4)
Warsztat Elektryczny ul. Dekerta 1
Warsztat Elektryczny ul. Walczaka 42
Węzeł Energetyczny ul. Dekerta 1
Węzeł Energetyczny ul. Walczaka 42
5)
Trafostacja
Spalarnia
Sekcja Utrzymania Ruchu ul. Dekerta 1
Kotłownia
Hydrofornia
Brygada Hydraulików
Brygada ds. żazów Medycznych i Wentylacji
Sekcja Utrzymania Ruchu ul Walczaka 42
1) Brygada żazów Medycznych
2) Warsztaty
Brygada Remontowo – Budowlana
Sekcja Aparatury Medycznej
Punkt Pralniczy ul. Dekerta 1
Punkt Pralniczy ul. Walczaka 42
Hotele
Dział Organizacji
Stanowisko ds. Jakości i Kontroli
Sekcja Dokumentacji i Rejestracji Ruchu Chorych ul. Dekerta 1
Sekcja Dokumentacji i rejestracji Ruchu Chorych ul. Walczaka 42
Stanowisko ds. Socjalnych Pacjentów
Archiwum Zakładowe
Sekretariat Prezesa Zarządu ul. Dekerta 1
Kancelaria Szpitala ul. Dekerta 1
Sekretariat Lekarza Naczelnego ul. Walczaka 42
Sekcja Informatyki
Samodzielne Stanowisko ds. Funduszy Unijnych
Dział ywienia
Dział Zamówień Publicznych
Dział Zaopatrzenia
Magazyn
załącznik nr 5
Do Regulaminu
Z-ca Dyrektora ds. Lecznictwa
Organizacyjnego
Kierownik ds. Pielęgniarstwa
Lekarz Naczelny ul. Dekerta 1
Lekarz Naczelny ul. Walczaka 42
Przedsiębiorstwo
Lecznictwo Szpitalne
ul. Dekerta
Przedsiębiorstwo
Przychodnie
Specjalistyczne i
Diagnostyka ul. Dekerta
Przedsiębiorstwo
Lecznictwo Szpitalne
ul. Walczaka
Przedsiębiorstwo
Opieka
Długoterminowa ul.
Walczaka
Przedsiębiorstwo
Przychodnie
Specjalistyczne i
Diagnostyka ul.
Walczaka
Oddział Chirurgii i
Traumatologii Dziecięcej z
Pododdziałem Urologii
Dziecięcej
Wojewódzka Przychodnia
Kardiologiczna
Oddział Psychiatryczny
Ogólny Męski
Zakład Opiekuńczo Leczniczy
Wojewódzka Poradnia
Gruźlicy i Chorób Płuc
Oddział Chirurgii
Ogólnej i Onkologicznej
Wojewódzka Przychodnia
Chirurgii Dziecięcej
Oddział Psychiatryczny
Ogólny Żeński
Zakład Opiekuńczo –
Leczniczy Psychiatryczny
Wojewódzka Poradnia
Onkologiczna
Oddział Chirurgii
Ortopedycznej i Urazów
Narządu Ruchu
Poradni Chirurgii
Dziecięcej
Oddział Detoksykacyjno
– Odwykowy
Ośrodek Wczesnej
Interwencji
Wojewódzka Poradnia
Chirurgii Onkologicznej
Oddział Hematologii i
Chorób Rozrostowych
Układu Krwiotwórczego z
Pododdziałem Dziennej
Chemioterapii
Poradni Wad Twarzy
Oddział Psychiatrii
Sądowej o
Wzmocnionym
Zabezpieczeniu
Wojewódzka
Przychodnia
Rehabilitacyjna
Oddział Anestezjologii i
Intensywnej Terapii z
Pododdziałem Intensywnej
Terapii dla Dzieci
Poradni Pooparzeniowej
i Chirurgii
Rekonstrukcyjnej
Oddział Psychiatrii
Sądowej o
Wzmocnionym
Zabezpieczeniu dla
Kobiet
Wojewódzka
Przychodnia Chirurgii
Urazowo –
Ortopedycznej
Oddział Kardiologii
Ambulatorium Chirurgii
Dziecięcej
Oddział Psychiatrii
Sądowej – Leczenia
Odwykowego od
Alkoholu w Warunkach
Wzmocnionego
Zabezpieczenia
Wojewódzka Poradnia
Chirurgii Ogólnej
Oddział Laryngologii z
Pododdziałem Chirurgii
Szczękowo – Twarzowej
Wojewódzka Poradnia
Hematologiczna
Oddział Reumatologii i
Chorób Płuc
Wojewódzka Poradnia
Chirurgii Naczyniowej
Oddział Neurochirurgii i
Neurotraumatologii
Wojewódzka Poradnia
Leczenia Zeza
Oddział Rehabilitacji
Wojewódzka
Przychodnia
Laryngologiczna
Oddział Okulistyczny
Wojewódzka Poradnia
Neurochirurgii
Oddział Rehabilitacji
Neurologicznej
Wojewódzka Poradnia
Reumatologiczna
Oddział PołożniczoGinekologiczny z
Pododdziałem
Ginekologii
Onkologicznej
Wojewódzka Poradnia
Okulistyczna
Izba Przyjęć
Psychiatryczna
Poradnia Preluksacyjna
Oddział Urologii i
Onkologii Urologicznej
Wojewódzka Przychodnia
Chirurgii Stomatologicznej
Apteka Szpitalna
Wojewódzka Poradnia
Ginekologiczno –
Położnicza i Patologii
Sutka
Oddział Chorób
Wewnętrznych,
Nadciśnienia Tętniczego,
Endokrynologii i
Gastroenterologii
Poradnia Urologii Dziecięcej
Oddział Psychiatrii
Sądowej dla
Internowanych w
Warunkach
Podstawowego
Zabezpieczenia
Poradnia Zdrowia
Psychicznego dla
Dorosłych
Oddział Noworodkowy z
Pododdziałem
Intensywnej Opieki nad
Noworodkiem
Poradnia Nefrologiczna dla
Dorosłych
Poradnia
Pulmonologiczna dla
Dzieci
Szpitalny Oddział
Ratunkowy z Pododdziałem
Ratunkowym dla Dzieci
Konsultacyjna Poradnia
Patologii Noworodka
Poradnia Gastrologiczna
Oddział Dziecięcy z
Pododdziałem Neurologii
Dziecięcej
Poradnia Chirurgii
Szczękowo – Twarzowej
Poradnia Chorób
Zakaźnych i Chorób
Wątroby
Oddział Nefrologii
Poradnia Nefrologiczna Wieku
Rozwojowego
Wojewódzka Poradnia
Urologiczna
Stacja Dializ
Lekarz Zakładowy
Wojewódzka Poradnia
Anestezjologiczna i
Zwalczania Bólu
Zespół Transportu
Sanitarnego
Zakład Medycyny Nuklearnej
Oddział Onkologii
Klinicznej z
Pododdziałem Dziennej
Chemioterapii
Zakład Patomorfologii
Pracownia Cytologii
Ginekologicznej
Zespół Leczenia
Środowiskowego
Pracownia
Immunohistochemiczna i
Histochemiczna
Ambulatoryjny Zakład
Psychiatrii Sądowej
Pracownia
Histopatologiczna
Pracownia Radiologii
Oddział Intensywnego
Nadzoru
Kardiologicznego
Dział Rehabilitacji
Oddział Neurologii
Pracownia
Endoskopowa
Oddział Udarowy
Opieka Domowa nad
Pacjentami
Wentylowanymi
Mechanicznie
Pracownia
Analityki Ogólnej
Izba Przyjęć Ogólna
Zespół Domowej
Dializoterapii
Otrzewnowej
Pracownia
Hematologii
Blok Operacyjny
Dział SanitarnoEpidemiologiczny
Pracownia Badań
Zintegrowanych
(Biochemia,
Immunochemia)
Apteka Szpitalna
Sekcja higieny szpitalnej
Pracownia Badań
Autoimmunologic
znych
Zakład Diagnostyki
Laboratoryjnej
Poradnia
Diabetologiczna dla
Dzieci
Prosektorium
Oddział Dziennej
Rehabilitacji
Pracownia
Koagulologii
Pracownia
Immunologii
Transfuzjologicznej
z Bankiem Krwi
Poradnia
Endokrynologiczna dla
Dzieci
Pracownia Białek
Specyficznych
Pracownia Mikrobiologii
Pracownia Mammografii
Pracownia
Równowagi
KwasowoZasadowej
Zakład Diagnostyki
Obrazowej i Radiologii
Interwencyjnej
Pracownia USG
Pracownia
Cytomorfologii
Szpiku
Pracownia Hemodynamiki
Pracownia Tomografii
Komputerowej
Pracownia Elektrofizjologii
Pracownia Rezonansu
Magnetycznego
Centralna Sterylizatornia
Pracownia
Rentgenodiagnostyki
Ogólnej
Pracownia Echokardiografii
Pracownia
Pantomografii