plan lekcji i liceum ogólnokształcące dla dorosłych semestr iii rok

Transkrypt

plan lekcji i liceum ogólnokształcące dla dorosłych semestr iii rok
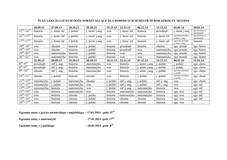
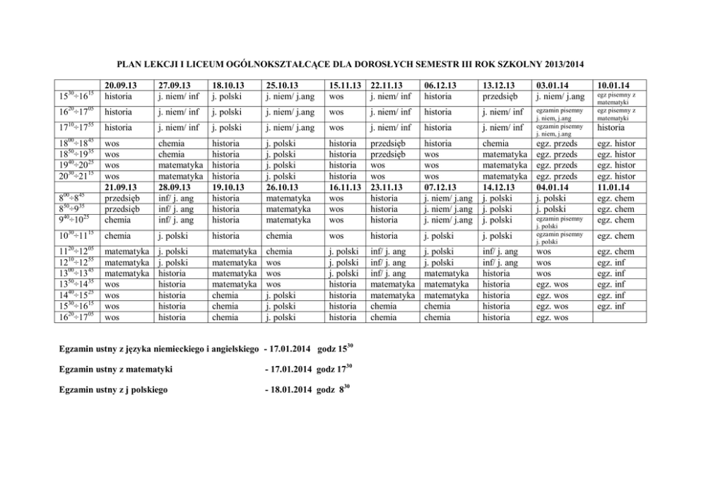
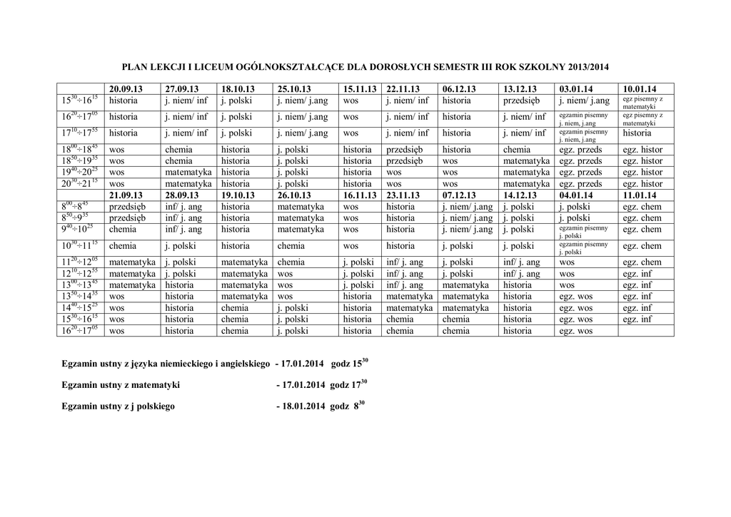
PLAN LEKCJI I LICEUM OGÓLNOKSZTAŁCĄCE DLA DOROSŁYCH SEMESTR III ROK SZKOLNY 2013/2014
1530÷1615
20.09.13
historia
27.09.13
j. niem/ inf
18.10.13
j. polski
25.10.13
j. niem/ j.ang
15.11.13
wos
22.11.13
j. niem/ inf
06.12.13
historia
13.12.13
przedsięb
03.01.14
j. niem/ j.ang
1620÷1705
historia
j. niem/ inf
j. polski
j. niem/ j.ang
wos
j. niem/ inf
historia
j. niem/ inf
1710÷1755
historia
j. niem/ inf
j. polski
j. niem/ j.ang
wos
j. niem/ inf
historia
j. niem/ inf
egzamin pisemny
j. niem, j.ang
egzamin pisemny
j. niem, j.ang
18 ÷18
1850÷1935
1940÷2025
2030÷2115
800÷845
850÷935
940÷1025
wos
wos
wos
wos
21.09.13
przedsięb
przedsięb
chemia
chemia
chemia
matematyka
matematyka
28.09.13
inf/ j. ang
inf/ j. ang
inf/ j. ang
historia
historia
historia
historia
19.10.13
historia
historia
historia
j. polski
j. polski
j. polski
j. polski
26.10.13
matematyka
matematyka
matematyka
historia
historia
historia
historia
16.11.13
wos
wos
wos
przedsięb
przedsięb
wos
wos
23.11.13
historia
historia
historia
historia
wos
wos
wos
07.12.13
j. niem/ j.ang
j. niem/ j.ang
j. niem/ j.ang
chemia
matematyka
matematyka
matematyka
14.12.13
j. polski
j. polski
j. polski
1030÷1115
chemia
j. polski
historia
chemia
wos
historia
j. polski
j. polski
1120÷1205
1210÷1255
1300÷1345
1350÷1435
1440÷1525
1530÷1615
1620÷1705
matematyka
matematyka
matematyka
wos
wos
wos
wos
j. polski
j. polski
historia
historia
historia
historia
historia
matematyka
matematyka
matematyka
matematyka
chemia
chemia
chemia
chemia
wos
wos
wos
j. polski
j. polski
j. polski
j. polski
j. polski
j. polski
historia
historia
historia
historia
inf/ j. ang
inf/ j. ang
inf/ j. ang
matematyka
matematyka
chemia
chemia
j. polski
j. polski
matematyka
matematyka
matematyka
chemia
chemia
inf/ j. ang
inf/ j. ang
historia
historia
historia
historia
historia
00
45
Egzamin ustny z języka niemieckiego i angielskiego - 17.01.2014 godz 1530
Egzamin ustny z matematyki
- 17.01.2014 godz 1730
Egzamin ustny z j polskiego
- 18.01.2014 godz 830
egz. przeds
egz. przeds
egz. przeds
egz. przeds
04.01.14
j. polski
j. polski
egzamin pisemny
j. polski
egzamin pisemny
j. polski
wos
wos
wos
egz. wos
egz. wos
egz. wos
egz. wos
10.01.14
egz pisemny z
matematyki
egz pisemny z
matematyki
historia
egz. histor
egz. histor
egz. histor
egz. histor
11.01.14
egz. chem
egz. chem
egz. chem
egz. chem
egz. chem
egz. inf
egz. inf
egz. inf
egz. inf
egz. inf