TECHNIK OCHRONY FIZYCZNEJ OSÓB I MIENIA

Transkrypt

TECHNIK OCHRONY FIZYCZNEJ OSÓB I MIENIA
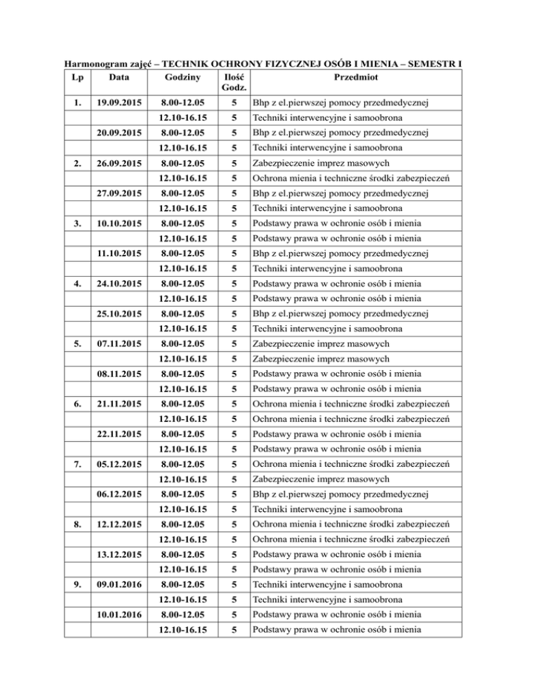
Harmonogram zajęć – TECHNIK OCHRONY FIZYCZNEJ OSÓB I MIENIA – SEMESTR I
Lp
Data
Godziny
Ilość
Przedmiot
Godz.
1.
19.09.2015
20.09.2015
2.
26.09.2015
27.09.2015
3.
10.10.2015
11.10.2015
4.
24.10.2015
25.10.2015
5.
07.11.2015
08.11.2015
6.
21.11.2015
22.11.2015
7.
05.12.2015
06.12.2015
8.
12.12.2015
13.12.2015
9.
09.01.2016
10.01.2016
8.00-12.05
5
Bhp z el.pierwszej pomocy przedmedycznej
12.10-16.15
5
Techniki interwencyjne i samoobrona
8.00-12.05
5
Bhp z el.pierwszej pomocy przedmedycznej
12.10-16.15
5
Techniki interwencyjne i samoobrona
8.00-12.05
5
Zabezpieczenie imprez masowych
12.10-16.15
5
Ochrona mienia i techniczne środki zabezpieczeń
8.00-12.05
5
Bhp z el.pierwszej pomocy przedmedycznej
12.10-16.15
5
Techniki interwencyjne i samoobrona
8.00-12.05
5
Podstawy prawa w ochronie osób i mienia
12.10-16.15
5
Podstawy prawa w ochronie osób i mienia
8.00-12.05
5
Bhp z el.pierwszej pomocy przedmedycznej
12.10-16.15
5
Techniki interwencyjne i samoobrona
8.00-12.05
5
Podstawy prawa w ochronie osób i mienia
12.10-16.15
5
Podstawy prawa w ochronie osób i mienia
8.00-12.05
5
Bhp z el.pierwszej pomocy przedmedycznej
12.10-16.15
5
Techniki interwencyjne i samoobrona
8.00-12.05
5
Zabezpieczenie imprez masowych
12.10-16.15
5
Zabezpieczenie imprez masowych
8.00-12.05
5
Podstawy prawa w ochronie osób i mienia
12.10-16.15
5
Podstawy prawa w ochronie osób i mienia
8.00-12.05
5
Ochrona mienia i techniczne środki zabezpieczeń
12.10-16.15
5
Ochrona mienia i techniczne środki zabezpieczeń
8.00-12.05
5
Podstawy prawa w ochronie osób i mienia
12.10-16.15
5
Podstawy prawa w ochronie osób i mienia
8.00-12.05
5
Ochrona mienia i techniczne środki zabezpieczeń
12.10-16.15
5
Zabezpieczenie imprez masowych
8.00-12.05
5
Bhp z el.pierwszej pomocy przedmedycznej
12.10-16.15
5
Techniki interwencyjne i samoobrona
8.00-12.05
5
Ochrona mienia i techniczne środki zabezpieczeń
12.10-16.15
5
Ochrona mienia i techniczne środki zabezpieczeń
8.00-12.05
5
Podstawy prawa w ochronie osób i mienia
12.10-16.15
5
Podstawy prawa w ochronie osób i mienia
8.00-12.05
5
Techniki interwencyjne i samoobrona
12.10-16.15
5
Techniki interwencyjne i samoobrona
8.00-12.05
5
Podstawy prawa w ochronie osób i mienia
12.10-16.15
5
Podstawy prawa w ochronie osób i mienia