Równanie osi ugiętej pręta

Transkrypt

Równanie osi ugiętej pręta
Równanie różniczkowe osi ugiętej pręta
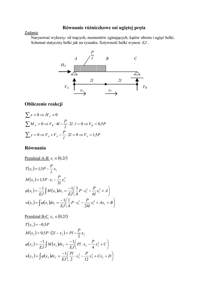
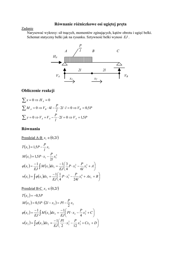
Zadanie
Narysować wykresy: sił tnących, momentów zginających, kątów obrotu i ugięć belki.
Schemat statyczny belki jak na rysunku. Sztywność belki wynosi EJ .
P
l
A
B
C
HA
2l
VA
2l
x1
x2
Obliczenie reakcji
∑x = 0⇒ H = 0
P
∑ M = 0 ⇒ V ⋅ 4l − l ⋅ 2l ⋅ l = 0 ⇒ V
A
A
∑ y = 0⇒V
B
A
+ VA −
B
= 0,5 P
P
⋅ 2l = 0 ⇒ V A = 1,5 P
l
Równania
Przedział A-B x1 ∈ (0,2l )
T ( x1 ) = 1,5 P −
P
x1
l
M ( x1 ) = 1,5 P ⋅ x1 −
P 2
x1
2l
−1
− 1 3
P 3

2
M ( x1 )dx1 =
 P ⋅ x1 − x1 + A 
∫
EJ
EJ  4
6l

−1 1
P 4

3
w( x1 ) = ∫ ϕ ( x1 )dx1 =
x1 + Ax1 + B 
 P ⋅ x1 −
24l
EJ  4

ϕ ( x1 ) =
Przedział B-C x 2 ∈ (0,2l )
T ( x 2 ) = −0,5P
M ( x 2 ) = 0,5 P ⋅ (2l − x 2 ) = Pl −
P
x2
2
−1
−1
P 2

M ( x 2 )dx 2 =
 Pl ⋅ x 2 − x 2 + C 
∫
EJ
EJ 
4

− 1  Pl 2 P 3

w( x 2 ) = ∫ ϕ ( x 2 )dx 2 =
 ⋅ x 2 − x 2 + Cx 2 + D 
12
EJ  2

ϕ (x2 ) =
VB
Wyznaczenie stałych całkowania
w A = 0 ⇒ w AB ( x1 = 0 ) = 0 ⇒ B = 0


4
wC = 0 ⇒ wBC (x 2 = 2l ) = 0 ⇒ Pl 3 + 2Cl + D = 0

3

 ϕ l = ϕ p ⇒ ϕ ( x = 2l ) = ϕ ( x = 0 ) ⇒ 5 Pl 2 + A = C
B
AB
BC
1
2
 B
3
 l
4 3
p
wB = wB ⇒ w AB (x1 = 2l ) = wBC ( x 2 = 0 ) ⇒ Pl + 2 Al = D
3

14 3
→
3
2
 3 Pl + 2 Al + D = 0


4
 4
 Pl 3 + 2 Al − D = 0
3
5
6
7
18 3
3
Pl + 4 Al = 0 ⇒ A = − Pl 2
3
2
5
5 → 4 D = − Pl 3
3
1 2
5 → 3 C = Pl
6
Ostateczne równania
Przedział A-B x1 ∈ (0,2l )
T ( x1 ) = 1,5 P −
P
x1
l
M ( x1 ) = 1,5 P ⋅ x1 −
P 2
x1
2l
−1  3
P 3 3 2
2
ϕ ( x1 ) =
 P ⋅ x1 − x1 − Pl 
EJ  4
6l
2

−1  1
P 4 3 2 
3
w( x1 ) =
x1 − Pl x1 
 P ⋅ x1 −
EJ  4
24l
2

Przedział B-C x 2 ∈ (0,2l )
T ( x 2 ) = −0,5P
M ( x 2 ) = 0,5 P ⋅ (2l − x 2 ) = Pl −
P
x2
2
−1 
P 2 1 2
ϕ (x2 ) =
 Pl ⋅ x 2 − x 2 + Pl 
EJ 
4
6

− 1  Pl 2 P 3 1 2
5 3
w( x 2 ) =
 ⋅ x 2 − x 2 + Pl x 2 − Pl 
EJ  2
12
6
3

Wykresy
1
2


3
4