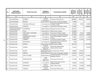
Załącznik nr 1 - Archiwum BIP

Transkrypt

Załącznik nr 1 - Archiwum BIP
Kategoria
aktywności
Koordynator projektu
Ogólna
kwota na
projekt
w euro
1
2
3
4
5
6
CEMERA
2.
Wydział Biologii
PRAXIS
3.
Wydział Chemii
Validation of Biosensor
4.
FAMOUS
XENOPHOB
projekt badawczy Uppsala University, Sweden
6.
7.
8.
Wydział Chemii
Wydział Dziennikarstwa
i Nauk Politycznych
Wydział Fizyki
Wydział Fizyki
Wydział Fizyki
centrum
Uniwersytet Warszawski
doskonałości
projekt badawczy University of Antwerp, Belgium
National & Kapodistrian University
sieć tematyczna
of Athens, Grecja
sieć naukowa Universite Louis Pasteur, France
9.
Wydział Fizyki
10.
Wydział Fizyki
PACE
THE EARLY UNIVERSE
EXOTAG
ACROSS THE ENERGY
FRONTIER
CMBNET
11.
Wydział Fizyki
HIGH FIELD
12.
Wydział Fizyki
FENIKS
13.
Wydział Fizyki
MOEMS
14.
Wydział Fizyki
QUEST
15.
Wydział Fizyki
NIPNET
16.
Wydział Fizyki
ION CATCHER
17.
Wydział Fizyki
SEMEXFIELDS
18.
Wydział Fizyki
EURIDICE
19.
Wydział Fizyki
OPTRANET
20.
Wydział Fizyki
CESSAR
5.
projekt badawczy Meteo France, Francja
sieć naukowa
University of Oxford, Anglia
projekt badawczy University of Jyväskylä, Finlandia
50
Ecole Polytechnikque, Palaiseau,
Francja
sieć naukowa University of Oxford, Anglia
Centre National de la Recherche
sieć tematyczna
Scientifique, Francja
projekt badawczy IMEC,Leuven, Belgia
dostęp do
Institut fuer Mikrotechnik,
infrastruktury
Meinz,GmbH, Niemcy
badawczej
projekt badawczy;
Universitaet Ulm, Niemcy
podwykonawstwo
projekt badawczy University of Groningen, Holandia
Ludwig-Maximilans-Universitaet,
projekt badawczy
Munchen, Niemcy
punkt
szkoleniowy Uniwersytet Warszawski
Marie Curie
Instituti Natzionale di Fisica
sieć naukowa
Nucleare,Włochy
działania
Optic Valley, France
towarzyszące
centrum
Uniwersytet Warszawski
doskonałości
sieć naukowa
8
600.000
956.832
28.300
72.000
–
–
27.600
9.520
25.000
135.000
–
100.000
140.364
–
–
120.000
80.550
123.000
–
9.733
20.552
–
16.800
40.800
34.800
33.577
11.200
61.880
21.874
56.100
7.200
–
–
180.198
–
195.300
39.228
–
38.500
30.000
38.254
–
123.968
178.265
–
119.975
173.681
133.000
137.500
223.322
15.600
30.000
35.682
–
35.058
52.698
36.900
319.721
508.009
–
Załącznik nr 22
Wydział Biologii
7
w 2002 roku
1.
SPUB-M
kwota
przyznana
na rok
2002 w zł
Project Acronym
Kwota
przyznana
na rok
2002 w zł *
Jednostka
Organizacyjna
ŚRODKI PRZYZNANE PRZEZ KOMISJĘ EUROPEJSKĄ W RAMACH
5 PR ORAZ DOFINANSOWANIE PRZEZ KBN W RAMACH SPUB-M
Lp.
21.
Wydział Fizyki
CEMOS
centrum
doskonałości
Uniwersytet Warszawski
22.
Wydział Fizyki
Analysis and Quantum
sieć naukowa
Instituti Natzionale di Fisica
Nucleare,Włochy
220.000
–
–
30.000
–
–
90.497
116.525
87.000
Universita di Torino, Włochy
60.000
52.512
16.000
sieć tematyczna University of Durham, Anglia
13.200
4.778
7.300
38.
Wydział Geografii i
Studiów Regionalnych
Wydział Matematyki,
Informatyki i Mechaniki
Wydział Matematyki,
Informatyki i Mechaniki
Wydział Matematyki,
Informatyki i Mechaniki
Wydział Matematyki,
Informatyki i Mechaniki
Wydział Matematyki,
Informatyki i Mechaniki
Wydział Matematyki,
Informatyki i Mechaniki
Wydział Matematyki,
Informatyki i Mechaniki
Wydział Nauk
Ekonomicznych
Wydział Nauk
Ekonomicznych
Wydział Nauk
Ekonomicznych
Wydział Nauk
Ekonomicznych
Wydział Neofilologii
Wydział Prawa i
Administracji
Wydział Stosowanych
Nauk Społecznych i
Resocjalizacji
Wydział Zarządzania
39.
Euroreg
PLUS
projekt badawczy University of the West of England
40.
Euroreg
EXLINEA
projekt badawczy Freie Universitaet Berlin
41.
ICM
GRIP
projekt badawczy
42.
ICM
EUROGRID
23.
24.
25.
26.
27.
28.
29.
30.
51
31.
32.
33.
34.
35.
36.
37.
URBS PANDS
EAGER
TYPES
Cancer Med.& SIM
projekt badawczy Postdam Institut, Niemcy
sieć naukowa
sieć naukowa
Politecnico di Torino, Włochy
168.406
111.816
29.200
ETAPS 2002
konferencja
Uniwersytet Warszawski
48.000
156.872
–
ETAPS ‘03
konferencja
Uniwersytet Warszawski
28.000
44.607
–
RWTH Aachen
171.379
208.446
25.000
AGILE
projekt badawczy- Ludwig-Maximilians-Universitaet,
dołączanie
Munchen, Niemcy
148.058
–
–
MACROTEC
projekt badawczy
41.040
64.375
–
110.320
199.108
142.000
49.739
59.317
60.000
8.400
–
–
110.000
49.091
–
100.000
118.494
–
42.100
–
–
20.880
85.841
98.360
–
123.243
–
–
79.400
–
143.737
193.074
174.000
136.459
91.960
159.400
GAMES
IDARA
CHER
Sustainability Strategy
MATCHPAD
UNIFORM TERMINOLOGY
EGG
RENCOM
sieć naukowa
Rheinische Friedrich-WilhelmsUniversitaet, Bonn, Niemcy
Rheinische Friedrich-Wilhelmsprojekt badawczy
Universitaet, Bonn, Niemcy
Centre d’Etudes de Populations,
projekt badawczy
Luxembourg
Gesellschaf fuer Europaeische
sieć tematyczna
Kommunikation
projekt badawczy SYSTRAN S.A. Francja
sieć naukowa
University di Torino, Włochy,
projekt badawczy The Queen’s University of Belfast
sieć tematyczna Vrije Universiteit, Belgia
Forschungszentrum Juelich BmbH,
Niemcy
Forschungszentrum Juelich GmBH,
projekt badawczy
Niemcy
Akademickie Centrum
Komputerowe, AGH, Kraków
43.
ICM
CROSSGRID
44.
ICM
ICMAITN
działania
towarzyszące
Uniwersytet Warszawski
45. ICM
MAMBA
centrum
doskonałości
Uniwersytet Warszawski
46.
ISS
Women Universities
47.
UOTT
USINE
projekt badawczy
Westfaelische Wilhelms –
Universitaet Muenster, Niemcy
projekt badawczy Universitaet Bonn, Niemcy
sieć naukowa
RAZEM
* kwoty podane zgodnie z ratami przekazywanymi przez Komisję Europejską
186.071
205.120
140.000
131.944
209.300
300.000
–
–
189.642
8.444
30.000
20.900
25.613
7.500
76.040
5.115.111 4.227.338 1.863.600
52