16 stycznia 2017 1. Świadczenia uzyskane przez Przedstawicieli

Transkrypt

16 stycznia 2017 1. Świadczenia uzyskane przez Przedstawicieli
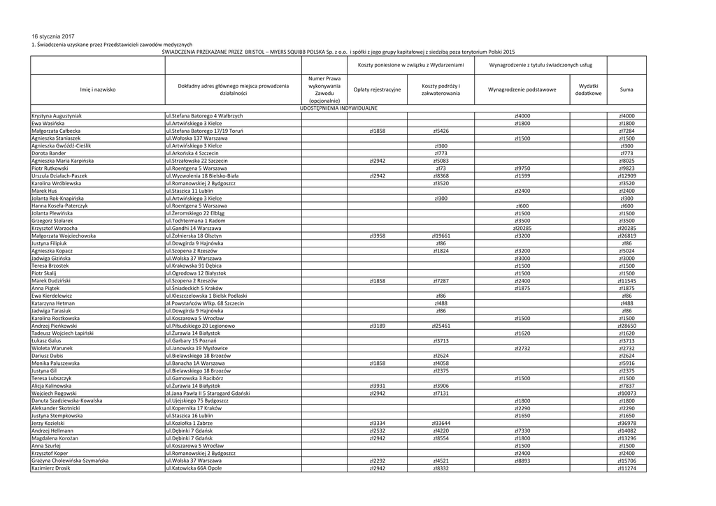
16 stycznia 2017
1. Świadczenia uzyskane przez Przedstawicieli zawodów medycznych
ŚWIADCZENIA PRZEKAZANE PRZEZ BRISTOL – MYERS SQUIBB POLSKA Sp. z o.o. i spółki z jego grupy kapitałowej z siedzibą poza terytorium Polski 2015
Koszty poniesione w związku z Wydarzeniami
Imię i nazwisko
Krystyna Augustyniak
Ewa Wasińska
Małgorzata Całbecka
Agnieszka Staniaszek
Agnieszka Gwóźdź-Cieślik
Dorota Bander
Agnieszka Maria Karpińska
Piotr Rutkowski
Urszula Działach-Paszek
Karolina Wróblewska
Marek Hus
Jolanta Rok-Knapińska
Hanna Koseła-Paterczyk
Jolanta Plewińska
Grzegorz Stolarek
Krzysztof Warzocha
Małgorzata Wojciechowska
Justyna Filipiuk
Agnieszka Kopacz
Jadwiga Gizińska
Teresa Brzostek
Piotr Skalij
Marek Dudziński
Anna Piątek
Ewa Kierdelewicz
Katarzyna Hetman
Jadwiga Tarasiuk
Karolina Rostkowska
Andrzej Pieńkowski
Tadeusz Wojciech Łapiński
Łukasz Galus
Wioleta Warunek
Dariusz Dubis
Monika Paluszewska
Justyna Gil
Teresa Lubszczyk
Alicja Kalinowska
Wojciech Rogowski
Danuta Szadziewska-Kowalska
Aleksander Skotnicki
Justyna Stempkowska
Jerzy Kozielski
Andrzej Hellmann
Magdalena Korożan
Anna Szurlej
Krzysztof Koper
Grażyna Cholewińska-Szymańska
Kazimierz Drosik
Dokładny adres głównego miejsca prowadzenia
działalności
ul.Stefana Batorego 4 Wałbrzych
ul.Artwińskiego 3 Kielce
ul.Stefana Batorego 17/19 Toruń
ul.Wołoska 137 Warszawa
ul.Artwińskiego 3 Kielce
ul.Arkońska 4 Szczecin
ul.Strzałowska 22 Szczecin
ul.Roentgena 5 Warszawa
ul.Wyzwolenia 18 Bielsko-Biała
ul.Romanowskiej 2 Bydgoszcz
ul.Staszica 11 Lublin
ul.Artwińskiego 3 Kielce
ul.Roentgena 5 Warszawa
ul.Żeromskiego 22 Elbląg
ul.Tochtermana 1 Radom
ul.Gandhi 14 Warszawa
ul.Żołnierska 18 Olsztyn
ul.Dowgirda 9 Hajnówka
ul.Szopena 2 Rzeszów
ul.Wolska 37 Warszawa
ul.Krakowska 91 Dębica
ul.Ogrodowa 12 Białystok
ul.Szopena 2 Rzeszów
ul.Śniadeckich 5 Kraków
ul.Kleszczelowska 1 Bielsk Podlaski
al.Powstańców Wlkp. 68 Szczecin
ul.Dowgirda 9 Hajnówka
ul.Koszarowa 5 Wrocław
ul.Piłsudskiego 20 Legionowo
ul.Żurawia 14 Białystok
ul.Garbary 15 Poznań
ul.Janowska 19 Mysłowice
ul.Bielawskiego 18 Brzozów
ul.Banacha 1A Warszawa
ul.Bielawskiego 18 Brzozów
ul.Gamowska 3 Racibórz
ul.Żurawia 14 Białystok
al.Jana Pawła II 5 Starogard Gdański
ul.Ujejskiego 75 Bydgoszcz
ul.Kopernika 17 Kraków
ul.Staszica 16 Lublin
ul.Koziołka 1 Zabrze
ul.Dębinki 7 Gdańsk
ul.Dębinki 7 Gdańsk
ul.Koszarowa 5 Wrocław
ul.Romanowskiej 2 Bydgoszcz
ul.Wolska 37 Warszawa
ul.Katowicka 66A Opole
Numer Prawa
wykonywania
Opłaty rejestracyjne
Zawodu
(opcjonalnie)
UDOSTĘPNIENIA INDYWIDUALNE
Koszty podróży i
zakwaterowania
Wynagrodzenie z tytułu świadczonych usług
Wynagrodzenie podstawowe
zł4000
zł1800
zł1858
zł5426
zł1500
zł2942
zł2942
zł300
zł773
zł5083
zł73
zł8368
zł3520
zł9750
zł1599
zł2400
zł300
zł3958
zł1858
zł19661
zł86
zł1824
zł7287
zł600
zł1500
zł3500
zł20285
zł3200
zł3200
zł3000
zł1500
zł1500
zł2400
zł1875
zł86
zł488
zł86
zł1500
zł3189
zł25461
zł1620
zł3713
zł2732
zł1858
zł2624
zł4058
zł2375
zł1500
zł3931
zł2942
zł3906
zł7131
zł1800
zł2290
zł1650
zł3334
zł2532
zł2942
zł33644
zł4220
zł8554
zł2292
zł2942
zł4521
zł8332
zł7330
zł1800
zł1500
zł2400
zł8893
Wydatki
dodatkowe
Suma
zł4000
zł1800
zł7284
zł1500
zł300
zł773
zł8025
zł9823
zł12909
zł3520
zł2400
zł300
zł600
zł1500
zł3500
zł20285
zł26819
zł86
zł5024
zł3000
zł1500
zł1500
zł11545
zł1875
zł86
zł488
zł86
zł1500
zł28650
zł1620
zł3713
zł2732
zł2624
zł5916
zł2375
zł1500
zł7837
zł10073
zł1800
zł2290
zł1650
zł36978
zł14082
zł13296
zł1500
zł2400
zł15706
zł11274
UDOSTĘPNIENIA ZBIORCZE
zł233690
72
89%
Suma wartości Świadczeń uzyskanych przez Beneficjentów
Liczba Beneficjentów objętych udostępnieniem zbiorczym
Procent Beneficjentów objętych udostępnieniem zbiorczym
zł745361
112
83%
zł873012
188
87%
zł3181
3
100%
zł1855244
239
nie dotyczy
2. Świadczenia uzyskane przez Organizacje ochrony zdrowia
ŚWIADCZENIA PRZEKAZANE PRZEZ BRISTOL – MYERS SQUIBB POLSKA Sp. z o.o. i spółki z jego grupy kapitałowej z siedzibą poza terytorium Polski 2015
Wynagrodzenie z tytułu
świadczonych usług
Koszty poniesione w związku z Wydarzeniami
Dokładny adres głównego miejsca prowadzenia
działalności
Nazwa
Uniwersytet Medyczny w Łodzi
Polskie Tow.Farmaceutyczne
Uniwersytet Medyczny w Lublinie
POLSKIE TOWARZYSTWO HEPATOLOGICZNE
Polskie Towarzystwo Hematologów
Uniwersytet Medyczny
Polskie Tow.Chir.Onkologicznej
Małopolskie Centrum Hipertermii
Śląski Uniwersytet Medyczny
Polskie Tow.Epidemiologów
Fundacja Wspierania Onkologii
MS Clinsearch SNZOZ
Polska Grupa Raka Płuca
Health Project Management
Fundacja Onkologii Doświadcz.
Polskie Towarzystwo Onkologiczne
Polskie Tow.Onkologii Klinicznej
Polskie Towarzystwo Onkologiczne
Collegium Medicum UJ
Polskie Towarzystwo Onkologiczne
Zamojski Szpital Niepubliczny
Stowarzyszenie Podwale Siedem
POLSKIE TOWARZYSTWO FARMAKOEKONOMICZNE
Agencja FM Sp.z o.o.
Batumi
Euro-Dag Dagmara Frydecka
Forum Media Polska
G-PHARMA Consulting
GRADATIM Grażyna Horowitz
JMJ
Symposion MH Sp. z o.o.
Termedia
Virology Education B.V.
VM Media
Wydawnictwo Lekarskie PZWL
Krakowski Komitet Zwalczania Raka
Polska Grupa Szpiczakowa
Polskie Towarzystwo Hematologów i Transfuzjologów,
Oddział w Lublinie
Polskie Towarzystwo Hematologów i Transfuzjologów,
Zarząd Główny
al.Kościuszki 4 Łódź
Ul.Długa 16 Warszawa
al.Racławickie 1 Lublin
ul. Arkońska 4 Szczecin
ul.Ciołkowskiego 2 Łódź
ul.Kilińskiego 1 Białystok
ul.Roentgena 5 Warszawa
ul.Garncarska 8/1 Kraków
ul.Poniatowskiego 15 Katowice
ul.Bujwida 44 Wrocław
ul.Niepodległości 7A/13 Zielona Góra
ul.Piastowska 15 Lublin
ul.Płocka 26 Warszawa
ul.Żegańska 21/23 Warszawa
ul.Szaserów 128 Warszawa
pl.Hirszfelda 12 Wrocław
ul.Roentgena 5 Warszawa
ul.Romanowskiej 2 Bydgoszcz
ul.Św.Anny 12 Kraków
ul.Dębinki 7 Gdańsk
ul.Peowiaków 1 Zamość
ul.Cyprysowa 10A Kiełczów
ul. Śliska 3 lok. 55 Warszawa
ul. Krótka 4/1, Sopot
ul. Marconich 2/13, Warszawa
Szerokie 123, Lublin
ul. Polska 13, Poznań
al. Niepodległości 58, Warszawa
ul. Owocowa 10, Tarnów Podgórny
ul. Bachmacka 6/49, Warszawa
Wilda-Nowe Miasto, Poznań
ul. Kleeberga 8, Poznań
Biltstraat 106, Utrecht (NL)
ul. Świętokrzyska 73, Gdańsk
ul. Gottlieba Daimlera 2, Warszawa
ul. Garncarska 11, Kraków
n/a
ul. Staszica 11, Lublin
ul. Ciołkowskiego 2, Łódź
3. Świadczenia związane z działalnością badawczo-rozwojową
zł4612628
Darowizny
Opłaty rejestracyjne
Koszty podróży i
zakwaterowania
Wartość umów sponsoringu
zł1500
zł155000
zł2500
Wynagrodzeni
e podstawowe
Wydatki
dodatkowe
Suma
zł5000
zł7000
zł50000
zł19000
zł12000
zł9230
zł58500
zł10000
zł14000
zł45000
zł2500
zł10000
zł5000
zł30000
zł981380
zł25000
zł11000
zł48500
zł16500
zł432900
zł10000
zł210856
zł21000
zł416900
zł67000
zł15000
zł2500
zł1500
zł155000
zł2500
zł50000
zł1500
zł50000
zł57000
zł1000
zł5000
zł198000
zł5000
zł7000
zł50000
zł19000
zł12000
zł9230
zł58500
zł10000
zł14000
zł45000
zł2500
zł10000
zł5000
zł30000
zł981380
zł25000
zł11000
zł48500
zł16500
zł432900
zł10000
zł210856
zł21000
zł416900
zł67000
zł15000
zł2500
zł2500
zł2500
zł127500
zł127500
zł50000
zł1500
zł50000
zł57000
zł1000
zł5000
zł198000