eWUŚ - zasady weryfikacji

Transkrypt

eWUŚ - zasady weryfikacji
Komunikat operatora
Numer komunikatu: 90749
Data publikacji:
2013-01-09
Temat:
eWUŚ - zasady weryfikacji – podział na rodzaje świadczeń
Załączniki:
brak
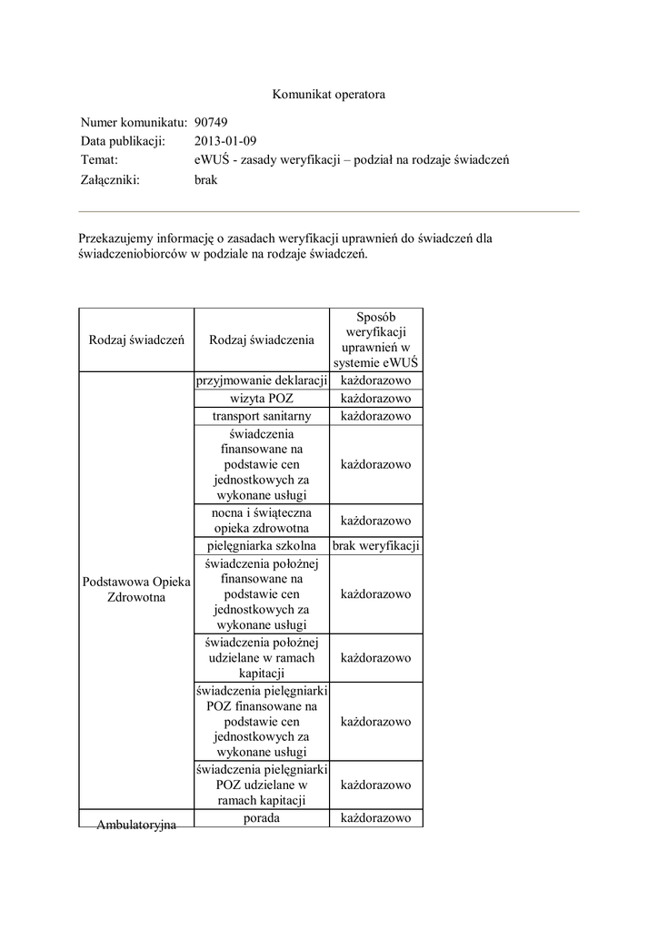
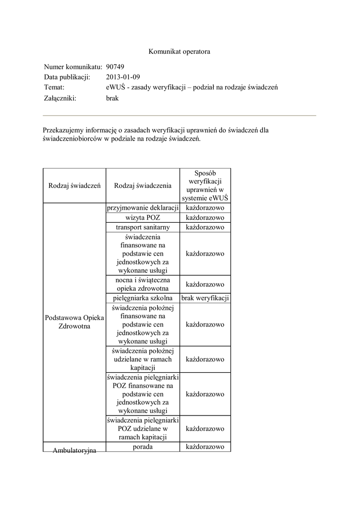
Przekazujemy informację o zasadach weryfikacji uprawnień do świadczeń dla
świadczeniobiorców w podziale na rodzaje świadczeń.
Sposób
weryfikacji
Rodzaj świadczeń
Rodzaj świadczenia
uprawnień w
systemie eWUŚ
przyjmowanie deklaracji każdorazowo
wizyta POZ
każdorazowo
transport sanitarny
każdorazowo
świadczenia
finansowane na
podstawie cen
każdorazowo
jednostkowych za
wykonane usługi
nocna i świąteczna
każdorazowo
opieka zdrowotna
pielęgniarka szkolna brak weryfikacji
świadczenia położnej
finansowane na
Podstawowa Opieka
podstawie cen
każdorazowo
Zdrowotna
jednostkowych za
wykonane usługi
świadczenia położnej
udzielane w ramach
każdorazowo
kapitacji
świadczenia pielęgniarki
POZ finansowane na
podstawie cen
każdorazowo
jednostkowych za
wykonane usługi
świadczenia pielęgniarki
POZ udzielane w
każdorazowo
ramach kapitacji
porada
każdorazowo
Ambulatoryjna
Opieka
Specjalistyczna
porada kompleksowa
chemioterapia
programy terapeutyczne
hospitalizacja
SOR i IP
Leczenie Szpitalne
chemioterapia
programy zdrowotne
(lekowe)
programy terapeutyczne
porada ambulatoryjna
psychiatria
ambulatoryjna (dzienna)
psychiatria stacjonarna
Opieka
Psychiatryczna i
Leczenie Uzależnień psychiatria stacjonarna
(długoterminowa)
hostel/opieka domowa
Rehabilitacja
Lecznicza
program leczenia
substytucyjnego
porada
przy każdym
kontakcie
(pierwsza,
kolejne i ostatnia
porada)
przy każdym
kontakcie
przy każdym
kontakcie
przy przyjęciu i
każdy dzień
pobytu
przy przyjęciu i
każdy dzień
pobytu
przy każdym
kontakcie
przy każdym
kontakcie
przy każdym
kontakcie
każdorazowo
przy przyjęciu i
każdy dzień
udzielania
świadczeń
przy przyjęciu i
każdy dzień
pobytu (z
wyłączeniem
przepustek)
przy przyjęciu,
każdy
rozpoczęty
kolejny miesiąc
świadczenia
(z wyłączeniem
przepustek)
przy przyjęciu,
każdy
rozpoczęty
kolejny miesiąc
świadczenia
każdorazowo
każdorazowo
porada ambulatoryjna każdorazowo, w
(zabiegi
fizykoterapeutyczne)
dniu zabiegu
przy przyjęciu i
każdy dzień
pobytu
przy przyjęciu i
lecznictwo zamknięte
każdy dzień
pobytu
każdorazowo, w
rehabilitacja domowa
dniu zabiegu
świadczenia
każdorazowo
ambulatoryjne
przy przyjęciu,
świadczenia domowe, tj.
Świadczenia
każdy
dializa otrzewnowa,
zdrowotne
rozpoczęty
tlenoterapia, żywienia
kontraktowane
kolejny miesiąc
(do- i pozajelitowe)
odrębnie
świadczenia
przy przyjęciu i
każdy dzień
świadczenia szpitalne
pobytu
porada
każdorazowo
przy każdym
leczenie
kontakcie
Stomatologiczne świadczenia protetyczne
(pierwsza,
i ortodontyczne
kolejne i ostatnia
porada)
przy przyjęciu
pielęgniarska opieka
do opieki oraz
długoterminowa
na początku
Świadczenia
domowa rozliczana
każdego
Pielęgnacyjne i
osobodniami od-do miesiąca objęcia
Opiekuńcze oraz
opieką
Opieka Paliatywno przy przyjęciu
Hospicyjna
do opieki oraz
na początku
pielęgniarska opieka
każdego
długoterminowa
miesiąca objęcia
domowa rozliczana
opieką
osobodniami od-do
(produkty
statystyczne
z wartością 0)
przy przyjęciu
do opieki oraz
na początku
hospicjum domowe
każdego
miesiąca objęcia
opieką
rehabilitacja
ambulatoryjna (dzienna)
Zaopatrzenie w
wyroby medyczne
będące przedmiotami
ortopedycznymi oraz
środkami
pomocniczymi
hospicja stacjonarne
przy przyjęciu
do opieki oraz
na początku
każdego
miesiąca objęcia
opieką
poradnia opieki
paliatywnej
każdorazowo
przy przyjęciu
do opieki oraz
zakłady opiekuńcze
na początku
(ZOL, ZPO)
każdego
miesiąca objęcia
opieką
porada
każdorazowo
potwierdzanie zlecenia każdorazowo
realizacja zlecenia
brak weryfikacji