Wzorcowy egzamin technik elektronik

Transkrypt

Wzorcowy egzamin technik elektronik
1
1. Projekt realizacji prac związanych z uruchomieniem i badaniem przetwornika
napięcie/częstotliwość z układem AD654
2. Założenia do opracowania projektu
a) Dane techniczne układu
- Napięcie zasilające przetwornik:
15 V
- Amplituda napięcia wyjściowego:
5V
- Maksymalne stałe napięcie wejściowe:
5V
- Współczynnik nieliniowości w zakresie przetwarzania: 1,5%
- Zakres przetwarzania:
1÷4V
- Maksymalny błąd przetwarzania:
5%
- Temperatura pracy:
0 ÷ 50oC
- Wartość rezystancji rezystora R10
3 kΩ
b) Wyposażenie stanowiska pomiarowego
- Zasilacz laboratoryjny 0 ÷ 20 V: 2 szt.
- Multimetr U/I/DC:
1 szt.
- Częstotliwościomierz:
1 szt
3.
a)
b)
c)
d)
e)
f)
g)
h)
i)
j)
k)
l)
Wykaz kolejnych działań związanych z badaniem przetwornika
Zapoznanie się z danymi technicznymi przetwornika
Określenie warunków zasilania
Określenie mierzonych charakterystycznych parametrów przetwornika na podstawie
danych technicznych i wymagań projektowych
Sporządzenie wykazu aparatury kontrolno – pomiarowej
Narysowanie schematu układu pomiarowego do uruchomienia i badania przetwornika
Wykonanie pomiarów z podaniem sposobu wykonania pomiarów
Obliczenie parametrów
Narysowanie charakterystyk
Porównanie wyników pomiarów z danymi technicznymi
Opracowanie wniosków
Modyfikacja zapewniająca możliwość zwiększenia zakresu przetwarzania
Opracowanie wskazań eksploatacyjnych
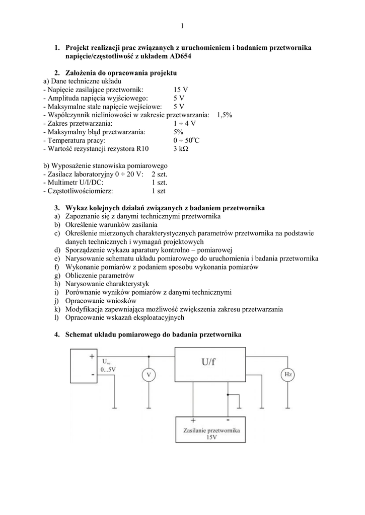
4. Schemat układu pomiarowego do badania przetwornika
2
5. Opis sposobu pomiaru charakterystycznych parametrów przetwornika
- Przetwornik należy zasilić napięciem 15 V, wykorzystując jeden z zasilaczy. Drugi zasilacz
będzie wykorzystany jako zadajnik sygnału wejściowego. Na wejście należy podać napięcie z
przedziału 0,5 ÷ 5 V. Na częstotliwościomierzu odczytuję częstotliwość odpowiadającą
odczytanej wartości napięcia wejściowego z ustalonego przedziału. Wyniki zapisuję w tabeli.
Uwe
[V]
f
[Hz]
0,52
0,98
1,54
2,03
2,35
2,46
3,12
3,55
4,01
4,49
4,98
213
410
647
860
998
1046
1329
1519
1718
1930
2198
6. Wskazania eksploatacyjne
- Układ należy zasilać napięciem 15 V
- Układ należy użytkować w temperaturze 0 ÷ 50oC, przy wilgotności względnej 30 ÷ 80%
- Nie należy przekraczać napięcia wejściowego 5 V
7. Charakterystyka przejściowa przetwornika f = f(Uwe)
3
8. Charakterystyka błędu przetwarzania w zależności od napięcia wejściowego
δ = f(Uwe)
Przed wykreśleniem charakterystyki dokonuję obliczeń. a) Częstotliwość, którą przetwornik
0,1 × U we
powinien generować, obliczam ze wzoru: f o =
× 1000 [Hz]
(R 9 + R 10 ) × C 3
gdzie za Uwe wstawiam wartości odczytane z tabeli pomiarów.
Wartości parametrów odczytanych z rysunku nr 2: R 9 = 47 × 10 3 [Ω] ; C 3 = 4,7 × 10 -6 [F]
W opisie układu podano, że rezystor R10 jest ustawiony na 3 kΩ, więc przyjmuję
R 10 = 3 × 10 3 [Ω].
b) Obliczam błąd bezwzględny częstotliwości, którą generuje układ według wzoru:
Δ f = | fo - fz|
gdzie:
fo – częstotliwość obliczona
fz – częstotliwość rzeczywista (zmierzona)
c) Obliczam błąd względny przetwarzania wnoszony przez układ, według wzoru
Df
δ=
× 100%
fo
d) Tabela z wynikami obliczeń dla pozostałych punktów pomiarowych
Uwe
[V]
fz
[Hz]
fo
[Hz]
Δf
[Hz]
δ
[%]
0,52
0,98
1,54
2,03
2,35
2,46
3,12
3,55
4,01
4,49
4,98
213
410
647
860
998
1046
1329
1519
1718
1930
2198
221
417
655
864
1000
1047
1328
1511
1706
1911
2119
8
7
8
4
2
0,81
1,3
8
12
19
79
3,7
1,7
1,3
0,4
0,2
0,1
0,1
0,5
0,7
1,0
3,7
Wniosek: Maksymalny błąd względny przetwarzania δmax występuje przy Uwe = 4,98 V.
4
e) Wykreślam charakterystykę δ = f(Uwe) na podstawie danych w tabeli
Z wykresu można odczytać, że δ < 1,5% dla zakresu napięć wejściowych około 1 ÷ 4,6 V.
9.Obliczenia spodziewanej częstotliwości drgań, współczynnika nieliniowości δ w
zakresie przetwarzania oraz maksymalnego błędu względnego przetwornika,
wyznaczenie zakresu przetwarzania wraz z przykładowymi obliczeniami, porównanie
obliczanych i odczytanych wartości z założonymi oraz wnioski dotyczące pracy
przetwornika.
Przykładowe obliczenia:
Poniżej przedstawiam przykładowe obliczenia dla jednego przypadku. Dla pozostałych
przypadków, obliczone dane przestawiłem w tabeli w punkcie 7..
a) Częstotliwość, którą przetwornik powinien generować, obliczam ze wzoru:
0,1Uwe
fwy =
( R9 + R10 )C 3
gdzie za Uwe wybieram dowolną (przykładową) wartość napięcia z tabeli pomiarów
np. Uwe = 2,03 V
Wartości parametrów odczytanych z rysunku nr 2:
R9 = 47 kΩ
C3 = 4,7 μF
W opisie układu podano, że rezystor R10jest ustawiony na 3 kΩ, więc przyjmuję R10 = 3 kΩ.
Dane liczbowe wstawiam do wzoru:
0,1 × 2,03
fwy =
= 864 Hz
( 47 + 3) × 10 3 × 4,7 × 10 -6
Tę obliczoną wartość przyjmuję jako fo, a więc fo = 864 Hz
5
b) Obliczam błąd bezwzględny częstotliwości, którą generuje układ według wzoru:
Δ f = | fo - fz|
gdzie:
fo – częstotliwość obliczona
fz – częstotliwość rzeczywista (zmierzona)
Wstawiam wartości liczbowe, gdzie odczytuję z tabeli fz = 860 Hz:
Δ f = | 864 - 860| = 4 Hz
c) Obliczam błąd względny przetwarzania wnoszony przez układ, według wzoru
Df
δ=
× 100%
fo
Wstawiam wartości liczbowe
4
· 100% = 0,46%, w przybliżeniu 0,5%.
δ=
864
Zestawienie wyników
Parametr
δmax
Zakres przetwarzania
Maksymalny błąd w zakresie
przetwarzania
Dane techniczne
5%
1÷4V
1,5%
Wartość
zmierzona lub
obliczona
3,7%
1 ÷ 4,6 V
1,5%
Wniosek
Zgodność
Zgodność
Zgodność
Wniosek:
Wszystkie badane parametry przetwornika pokrywają się z danymi technicznymi, podanymi
w karcie katalogowej. Stwierdzam, że przetwornik działa poprawnie.
10. Propozycja zmian, w celu zwiększenia zakresu przetwarzania
Z pomiarów wynika, że błąd przetwarzania jest mniejszy od 1,5% dla zakresu napięcia
wejściowego 1 ÷ 4,5 V. Zwiększenie zakresu częstotliwości impulsów wyjściowych można
zrealizować przez zmianę wartości rezystancji R9 + R10. Jeżeli więc dla powyższemu
zakresowi napięcia wejściowego dla C3 = 4,7μF i R 9 + R 10 = 50kW odpowiada zakres
częstotliwości 400Hz ÷1800Hz, to stosując rezystor R9 + R10 o dziesięciokrotnie mniejszej
rezystancji, czyli R 9 + R 10 = 5kW , uzyskamy zakres częstotliwości napięcia wyjściowego
4kHz ÷ 18kHz przy błędzie przetwarzania mniejszym od 1,5%.. Na zakres częstotliwości
napięcia wyjściowego ma również wpływ pojemność kondensatora C3.