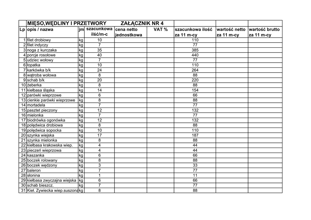
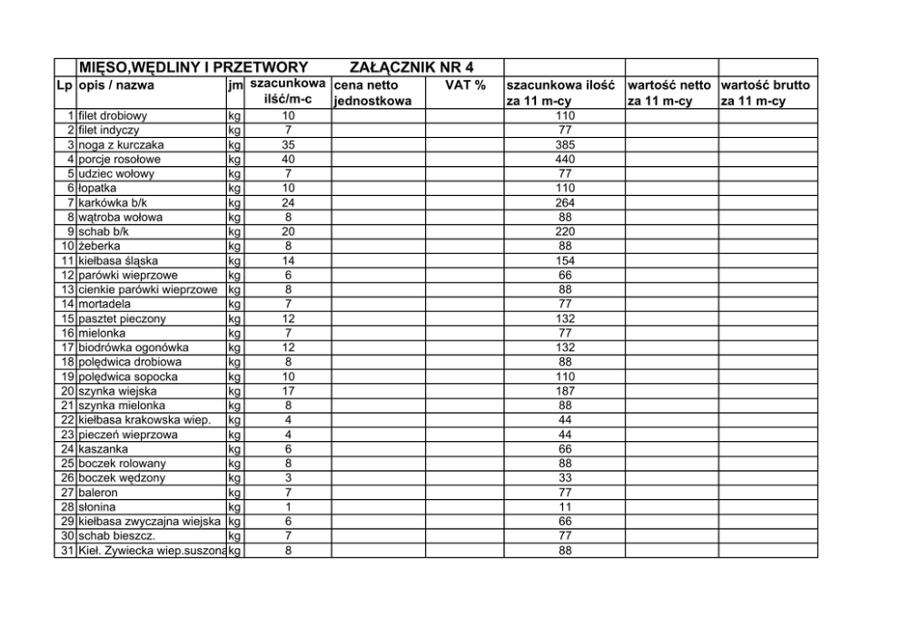
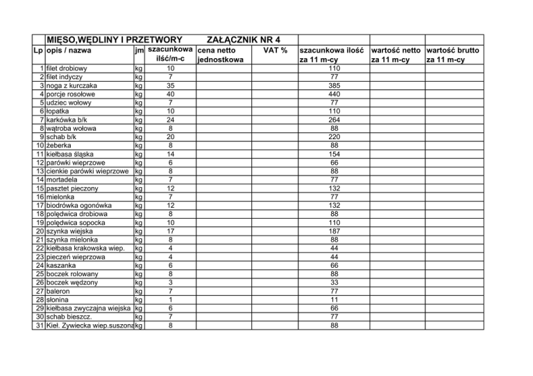
MIĘSO,WĘDLINY I PRZETWORY ZAŁĄCZNIK NR 4

Transkrypt

MIĘSO,WĘDLINY I PRZETWORY ZAŁĄCZNIK NR 4
MIĘSO,WĘDLINY I PRZETWORY
Lp opis / nazwa
1
2
3
4
5
6
7
8
9
10
11
12
13
14
15
16
17
18
19
20
21
22
23
24
25
26
27
28
29
30
31
ZAŁĄCZNIK NR 4
jm. szacunkowa cena netto
ilść/m-c
jednostkowa
filet drobiowy
kg
filet indyczy
kg
noga z kurczaka
kg
porcje rosołowe
kg
udziec wołowy
kg
łopatka
kg
karkówka b/k
kg
wątroba wołowa
kg
schab b/k
kg
Ŝeberka
kg
kiełbasa śląska
kg
parówki wieprzowe
kg
cienkie parówki wieprzowe kg
mortadela
kg
pasztet pieczony
kg
mielonka
kg
biodrówka ogonówka
kg
polędwica drobiowa
kg
polędwica sopocka
kg
szynka wiejska
kg
szynka mielonka
kg
kiełbasa krakowska wiep. kg
pieczeń wieprzowa
kg
kaszanka
kg
boczek rolowany
kg
boczek wędzony
kg
baleron
kg
słonina
kg
kiełbasa zwyczajna wiejska kg
schab bieszcz.
kg
Kieł. Zywiecka wiep.suszonakg
10
7
35
40
7
10
24
8
20
8
14
6
8
7
12
7
12
8
10
17
8
4
4
6
8
3
7
1
6
7
8
VAT %
szacunkowa ilość wartość netto wartość brutto
za 11 m-cy
za 11 m-cy
za 11 m-cy
110
77
385
440
77
110
264
88
220
88
154
66
88
77
132
77
132
88
110
187
88
44
44
66
88
33
77
11
66
77
88