Ogłoszenie o wyniku 52 - ENERGA

Transkrypt

Ogłoszenie o wyniku 52 - ENERGA
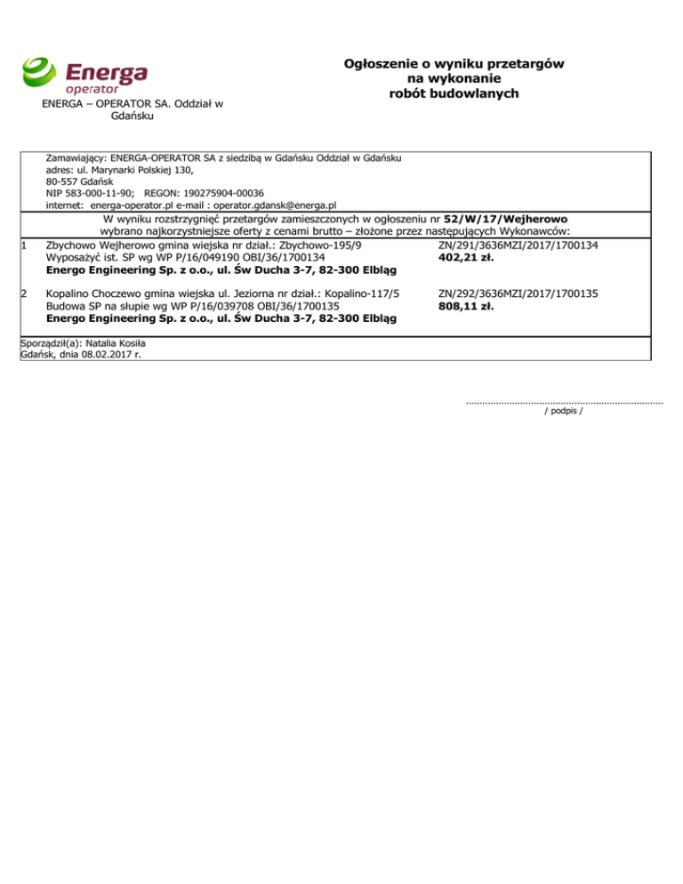
ENERGA – OPERATOR SA. Oddział w
Gdańsku
Ogłoszenie o wyniku przetargów
na wykonanie
robót budowlanych
Zamawiający: ENERGA-OPERATOR SA z siedzibą w Gdańsku Oddział w Gdańsku
adres: ul. Marynarki Polskiej 130,
80-557 Gdańsk
NIP 583-000-11-90; REGON: 190275904-00036
internet: energa-operator.pl e-mail : [email protected]
1
2
W wyniku rozstrzygnięć przetargów zamieszczonych w ogłoszeniu nr 52/W/17/Wejherowo
wybrano najkorzystniejsze oferty z cenami brutto – złożone przez następujących Wykonawców:
Zbychowo Wejherowo gmina wiejska nr dział.: Zbychowo-195/9
ZN/291/3636MZI/2017/1700134
Wyposażyć ist. SP wg WP P/16/049190 OBI/36/1700134
402,21 zł.
Energo Engineering Sp. z o.o., ul. Św Ducha 3-7, 82-300 Elbląg
Kopalino Choczewo gmina wiejska ul. Jeziorna nr dział.: Kopalino-117/5
Budowa SP na słupie wg WP P/16/039708 OBI/36/1700135
Energo Engineering Sp. z o.o., ul. Św Ducha 3-7, 82-300 Elbląg
ZN/292/3636MZI/2017/1700135
808,11 zł.
Sporządził(a): Natalia Kosiła
Gdańsk, dnia 08.02.2017 r.
.........................................................................
/ podpis /