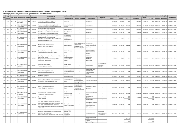
3. nabór wniosków w ramach "Funduszu Mikroprojektów 2014

Transkrypt

3. nabór wniosków w ramach "Funduszu Mikroprojektów 2014
3. nabór wniosków w ramach "Funduszu Mikroprojektów 2014-2020 w Euroregionie Silesie"
Wykaz projektów zarejestrowanych - przed kontrolą kwalifikowalnośc
PL/CZ nr rejestracyjny projektu
nr
rejestracyjny
wniosku
PL
CZ.11.4.120/0.0/0.0/1
6_013/0000
bdlgoP
OP 4
CZ
CZ.11.4.120/0.0/0.0/
790
16_013/0000
Typ A
OP 4
PL
Typ C
OP 4
PL
Lp.
Typ
projektu
OP
1.
Typ C
OP 4
2.
Typ A
3.
4.
5.
Typ C
OP 4
Tytuł projektu PL
Název projektu CZ
Partner Wiodący / Wnioskodawca
Wnioskodawca
Jednostka realizująca
Partnerzy projektu
Jednostka
Wnioskodawca
realizujaca
Budżet projektu
Całość
PW/Wn
Budżet projektu EFFR
PW/Wn
Całość EFRR
EFFR
PP
Rozwój współpracy przyszłością pogranicza
Rozvoj spolupráce budoucností příhraničí
Gmina Lyski
-
Obec Darkovice
-
23 590,25
23 590,25
0,00
23 590,25
23 590,25
ccWX7P
Tradice a zvyky v česko-polském pohraničí
Tradycje i zwyczaje na czesko- polskim pograniczu
Město Hradec nad
Moravicí
-
Gmina Baborów
-
40 514,82
21 699,82
18 815,00
34 436,00
CZ.11.4.120/0.0/0.0/
797
16_013/0000
Csocqp
Racibórz-Krawarz razem bezpieczniej
Ratiboř-Kravaře spolu bezpečně
Miasto Racibórz
-
Město Kravaře
-
42 765,22
22 977,09
19 788,13
CZ.11.4.120/0.0/0.0/
798
16_013/0000
cO7sfP
Od wieków razem. Pietrowice Wielkie-Sudice
Od staletí spolu. Pietrowice Wielke-Sudice.
Gmina Pietrowice
Wielkie
-
Obec Sudice
-
29 851,95
29 851,95
chhZHP
Know How - na przykładzie szlaku wież i platform
widokowych oraz szlaku single truck
Know How - na příkladu trati věží a vyhlídkových
platforem a stezky single truck
Stowarzyszenie
Lokalna Grupa
Działania
"Partnerstwo dla
Rozwoju"
-
Sdružení obcí Hlučínska
-
8 410,00
Miasto Racibórz
-
788
PL
CZ.11.4.120/0.0/0.0/
799
16_013/0000
5bXU2P
Wspólna nauka drogą do sukcesu
Společné učení - cesta k úspěchu
Szkoła Podstawowa nr
Základní škola Opava,
1 z Oddziałami
Vrchní 19-příspěvková
Integracyjnymi im.
organizace
Powstańców Śląskich
Termin realizacji projektu
PP EFFR
0,00
Rozpoczęcie Zakończenie
Wpływ wniosku
2016-12-06
2017-09-30
2016-12-05 12:00
18 444,00
15 992,00 2017-05-01
2018-04-30
2017-01-03 13:13
36 350,43
19 530,52
16 819,91 2017-06-01
2018-05-31
2017-01-12 11:39
0,00
20 000,00
20 000,00
0,00 2017-05-31
2017-11-30
2017-01-12 14:18
8 410,00
0,00
7 148,50
7 148,50
0,00 2017-04-21
2017-07-31
2017-01-12 15:40
39 888,36
19 984,36
19 904,00
33 905,10
16 986,70
16 918,40 2017-05-01
2018-04-30
2017-01-13 06:57
6.
Typ A
OP 4
PL
CZ.11.4.120/0.0/0.0/
800
16_013/0000
7.
Typ C
OP 4
CZ
CZ.11.4.120/0.0/0.0/
801
16_013/0000
9G6ihP
Obnova slezských center I. - Opava
Odnowienie Śląskich Centrum I. - Opawa
Statutární město
Opava
-
Państwowa Wyższa
Szkoła Zawodowa w
Raciborzu
-
23 296,80
23 296,80
0,00
19 802,28
19 802,28
0,00 2017-01-02
2017-12-29
2017-01-13 09:36
8.
Typ C
OP 4
CZ
CZ.11.4.120/0.0/0.0/
802
16_013/0000
caOC0P
Okresní výstava drobného zvířectva a exotického
ptactva Velké Hoštice
Okręgowa wystawa małych zwierząt i ptaków
egzotycznych Velké Hoštice
Český svaz
chovatelů, Základní
organizace Velké
Hoštice
-
ZRZESZENIE
MIŁOŚNIKÓW
DROBNEGO
INWENTARZA
-
6 137,00
6 137,00
0,00
5 216,45
5 216,45
0,00 2017-02-01
2017-10-31
2017-01-13 10:45
9.
Typ A
OP 2
CZ
CZ.11.2.45/0.0/0.0/1
803
6_013/0000
avrabP
Poznáváme krásy arboret
Poznajemy piękno arboretów
Slezské zemské
muzeum
-
Miasto Racibórz
Arboretum Bramy
Morawskiej w
Raciborzu
69 379,40
34 852,50
34 526,90
58 972,06
29 624,20
29 347,86 2017-05-01
2018-05-31
2017-01-13 11:12
10.
Typ C
OP 4
CZ
CZ.11.4.120/0.0/0.0/
804
16_013/0000
cRPqVP
Systematika energetických úspor
Systematyka oszczędności energii
Vysoká škola báňská Technická univerzita
Ostrava
-
FUNDACJA NA RZECZ
EFEKTYWNEGO
WYKORZYSTANIA
ENERGII
-
23 419,20
23 419,20
0,00
19 906,32
19 906,32
0,00 2017-07-01
2018-06-30
2017-01-13 12:14
11.
Typ C
OP 4
PL
CZ.11.4.120/0.0/0.0/
805
16_013/0000
bEoyfP
Aktywni na pograniczu
Aktivní na pohraničí
Gmina Krzanowice
-
Obec Rohov
-
19 966,71
19 966,71
0,00
16 971,70
16 971,70
0,00 2017-05-01
2017-12-31
2017-01-13 13:30
12.
Typ A
OP 4
PL
CZ.11.4.120/0.0/0.0/
806
16_013/0000
cbd92P
Czerwony, biały, niebieski: dialog polsko-czeski
Červený, bílý, modrý: dialog polsko-český
Miasto Wodzisław
Śląski
Wodzisławska
Placówka Wsparcia
Dziennego "Dziupla"
Statutární město Ostrava
-
15 819,08
6 012,60
9 806,48
13 446,21
5 110,71
8 335,50 2017-05-01
2017-10-31
2017-01-16 08:56
13.
Typ C
OP 4
PL
CZ.11.4.120/0.0/0.0/
807
16_013/0000
cQCEyP
Polsko - Czeski Puchar BMX Racing
Polsko - Český Pohár BMX Racing
Miasto Wodzisław
Śląski
Miejski Ośrodek
Sportu i Rekreacji
"CENTRUM" w
Wodzisławiu Śląskim
Sportovní klub JANTAR
Opava, z.s.
-
13 574,02
13 574,02
0,00
11 537,92
11 537,92
0,00 2017-05-01
2017-10-31
2017-01-16 08:58
14.
Typ A
OP 2
PL
CZ.11.2.45/0.0/0.0/1
808
6_013/0000
dcRBpP
Transgranicznymi śladami neo-gotyku
Příhraničními stopami neo-gotiky
Parafia
Rzymskokatolicka
Narodzenia NMP
-
Římskokatolická farnost
Bílovec
-
90 692,80
40 896,80
49 796,00
60 000,00
30 000,00
30 000,00 2017-07-03
2018-07-31
2017-01-16 11:18
15.
Typ B
OP 4
CZ
CZ.11.4.120/0.0/0.0/
809
16_013/0000
Cq0ylp
Žijeme společně
Żyjemy wspólnie
Obec Otice
-
Obec Jezdkovice
Olesno
Obec Zbyslavice
-
17 745,30
17 745,30
0,00
0,00
0,00
15 083,00
15 083,00
0,00
0,00 2017-04-01
0,00
2017-09-30
2017-01-16 12:22
PL
CZ.11.4.120/0.0/0.0/
810
16_013/0000
d2wOHP
To je nasze - folklorem malowane - współpraca
organizacji społecznych gminy Gorzyce i Lutynia Doln
Gminne Centrum
To je naše - folklorem malované - spolupráce
Kultury w Gorzycach
společenských organizací a společenství obcí Gorzyce a
Lutynia Doln
-
Místní skupina Polského
kulturně-osvětového
svazu v Dolní Lutyni Věřňovicích z.s.
-
20 084,00
20 084,00
0,00
17 071,40
17 071,40
0,00 2017-05-15
2018-01-12
2017-01-16 13:28
CZ
CZ.11.4.120/0.0/0.0/
811
16_013/0000
cVe8FP
Základní škola a
Wspieranie form spędzania czasu wolnego przez
mateřská škola
uczniów na CZ-PL pograniczu
Šilheřovice,
Podpor volnočasových aktivit žáků na CZ-PL pohraničí příspěvková
organizace
-
Gmina Krzyżanowice
Zespół Szkół
Ogólnokształcącyc
h w Tworkowie
22 949,60
22 949,60
0,00
19 507,16
19 507,16
0,00 2017-05-01
2018-04-30
2017-01-16 13:33
2018-04-30
2017-01-16 13:57
16.
17.
Typ C
Typ C
OP 4
OP 4
Město Rybník - Zespół
Szkół Budowlanych
IV Liceum
Ogólnokształcące
18.
Typ A
OP 4
CZ
CZ.11.4.120/0.0/0.0/
812
16_013/0000
ceLpZP
Terciární spolupráce v úzkém česko-polském pohraničí Vysoká škola báňská Kontykuacja ksztacenia po szkole średniej - współpraca Technická univerzita
w wąskim pograniczu polsko - czeskim
Ostrava
-
-
14 747,89
12 535,70
-
0,00
0,00
28 248,89
13 501,00
24 011,55
11 475,85
2017-05-01
18.
Typ A
OP 4
CZ
CZ.11.4.120/0.0/0.0/
812
16_013/0000
CZ.11.4.120/0.0/0.0/
813
16_013/0000
CZ.11.2.45/0.0/0.0/1
814
6_013/0000
ceLpZP
cLd3WP
Terciární spolupráce v úzkém česko-polském pohraničí Vysoká škola báňská Kontykuacja ksztacenia po szkole średniej - współpraca Technická univerzita
w wąskim pograniczu polsko - czeskim
Ostrava
Spojuje nás hranice
Gmina Gorzyce
Obec Píšť
Łączy nas granica
Szlakiem Rodu Rothschildów
Gmina Krzyżanowice
Obec Šilheřovice
Stezka po stopách rodu Rothschieldů
Kalejdoskop zawodów - nowoczesne trendy w polsko Zespół Szkół
czeskim szkolnictwie zawodowym.
Powiat Wodzisławski Ponadgimnazjalnych Moravskoslezský kraj
Kaleidoskop oborů - moderní trendy v polsko-českém
nr w 2 w Rydułtowach
odborném školství.
19.
Typ C
OP 4
PL
20.
Typ A
OP 2
PL
21.
Typ B
OP 4
PL
CZ.11.4.120/0.0/0.0/
815
16_013/0000
d2i4fP
22.
Typ A
OP 4
CZ
CZ.11.4.120/0.0/0.0/
816
16_013/0000
cxEaaP
Rozvoj partnerství města Bílovce a Gminy Kietrz u
příležitosti významného výročí založení hasičských
Město Bílovec
Rozwijanie partnerstwa miejskie Bílovce i Gminy Kietrz
dla dużego lecia straży pożarnej
dc9kAP
Společně do budoucnosti
Wspólnie w przyszłość
cIiF3P
-
Zespół Szkół
Technicznych
Zespół Szkół nr 2
Zespół Szkół nr 3
Zespół Szkół
Mechaniczno Elektrycznych im.
Tadeusza Kościuszki w
Rybniku
Zespół Szkół nr 1 im.
Powstańców Śląskich w
Rybniku
-
Gmina Kietrz
Základní škola Velké
Hoštice, okres
Opava, příspěvková
organizace
-
Gmina Nędza
-
0,00
28 248,89
13 501,00
0,00
0,00
0,00
24 011,55
11 475,85
0,00
0,00
-
0,00
0,00
-
0,00
0,00
2017-05-01
2018-04-30
2017-01-16 13:57
-
22 135,00
22 135,00
0,00
18 814,75
18 814,75
0,00 2017-04-01
2017-10-31
2017-01-16 14:02
-
68 744,00
34 110,00
34 634,00
58 432,40
28 993,50
29 438,90 2017-05-10
2018-05-09
2017-01-16 14:03
-
23 452,38
23 452,38
0,00
19 934,52
19 934,52
0,00 2017-09-01
2018-08-31
2017-01-16 14:04
-
28 117,20
23 461,50
4 655,70
23 899,61
19 942,27
3 957,34 2017-02-01
2017-12-31
2017-01-16 14:20
9 372,38
9 372,38
0,00
7 966,52
7 966,52
0,00 2017-06-01
2017-09-30
2017-01-16 14:32
Zespół Szkolno Gimnazjalny w
Nędzy
23.
Typ C
OP 4
CZ
CZ.11.4.120/0.0/0.0/
817
16_013/0000
24.
Typ C
OP 4
PL
CZ.11.4.120/0.0/0.0/
818
16_013/0000
cZdbSP
Promocja zdrowego trybu życia w ramach Polsko Czeskich spotkań sportowo - turystycznych
Propagace zdravého životního stylu v rámci
polskočeských sportovních a turistických setkání
Gmina Kornowac
-
Obec Vřesina
-
21 048,20
21 048,20
0,00
17 890,97
17 890,97
0,00 2017-05-01
2017-10-31
2017-01-16 14:50
25.
Typ A
OP 2
CZ
CZ.11.2.45/0.0/0.0/1
819
6_013/0000
aA3xpP
ODRA OK
ODRA OK
Sdružení pro rozvoj
Moravskoslezského
kraje z.s.
-
Górnośląska Agencja
Promocji
Przedsiębiorczości S.A.
-
60 859,87
34 965,87
25 894,00
51 730,89
29 720,99
22 009,90 2017-07-01
2018-06-30
2017-01-16 16:35
26.
Typ A
OP 4
CZ
CZ.11.4.120/0.0/0.0/
820
16_013/0000
5W864P
Ovzduší bez hranic
Powietrze bez granic
Čisté nebe o.p.s.
-
Centrum Rozwoju
Inicjatyw Społecznych
(CRIS)
-
19 948,00
12 444,00
7 504,00
16 955,80
10 577,40
6 378,40 2017-04-01
2018-03-31
2017-01-16 17:33
27.
Typ B
OP 2
CZ
CZ.11.2.45/0.0/0.0/1
821
6_013/0000
cVi7FP
XXVII. Hudební jaro na Hlučínsku - mezinárodní festival
dechových orchestrů a mažoretek
XXVII. Wiosna Muzyczna w regionie Hluczyńskim) międzynarodowy festiwal orkiestr dętych i mażoretek
Kulturní dům Dolní
Benešov,
příspěvková
organizace
-
Miejsko-Gminny Osrodek
Kultury w Wilamowicach
-
25 905,70
25 905,70
0,00
25 905,70
25 905,70
0,00 2017-04-01
2017-08-31
2017-01-16 17:43
cjVYtP
10 let partnerství - další rozvoj spolupráce obcí Krásné
Statutární město
Pole a Zawada
Ostrava
10 lat partnerstwa - Dalszy rozwój wspolpracy Gmin
Krásné Pole i Zawada
-
8 909,13
4 429,25
4 479,88
0,00
0,00
0,00 2017-04-01
2017-12-31
2017-01-16 18:10
-
20 838,50
20 838,50
0,00
17 712,72
17 712,72
0,00 2017-05-01
2017-07-31
2017-01-16 19:35
2017-08-31
2017-01-16 20:06
28.
Typ A
OP 4
CZ
CZ.11.4.120/0.0/0.0/
822
16_013/0000
29.
Typ C
OP 4
CZ
CZ.11.4.120/0.0/0.0/
823
16_013/0000
cXHv9P
Česko-polská scéna v rámci mezinárodního festivalu
nového cirkusu a pouličního divadla CIRKULUM
Scena czesko-polska na międzynarodowym festiwalu
nowego cyrku i teatru ulicznego CIRKULUM
30.
Typ C
OP 4
CZ
CZ.11.4.120/0.0/0.0/
824
16_013/0000
a6OzTP
Hradecký slunovrat 2017
Hradecký slunovrat 2017
Cirkus trochu jinak,
z. s.
Silesia Art, z.ú.
RAZEM:
Městský obvod Krásné
Gmina Wodzislaw Slaski
Pole
-
Stowarzyszenie Teatr
Formy
Útvar Hradecký
slunovrat
Raciborskie Centrum
Kultury
Miasto Racibórz
-
23 515,83
-
23 515,83
0,00
19 988,00
0,00
869 179,59
19 988,00
0,00
0,00
716 188,21
2017-02-01