Pobierz - Gimnazjum nr 81

Transkrypt

Pobierz - Gimnazjum nr 81
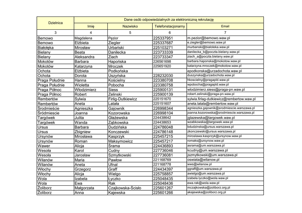
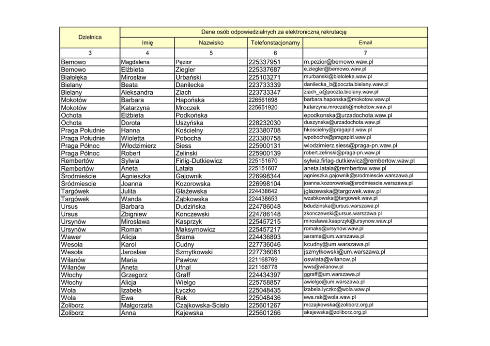
Dane osób odpowiedzialnych za elektroniczną rekrutację
Dzielnica
3
Bemowo
Bemowo
Białołęka
Bielany
Bielany
Mokotów
Mokotów
Ochota
Ochota
Praga Południe
Praga Południe
Praga Północ
Praga Północ
Rembertów
Rembertów
Środmieście
Śródmiescie
Targówek
Targówek
Ursus
Ursus
Ursynów
Ursynów
Wawer
Wesoła
Wesoła
Wilanów
Wilanów
Włochy
Włochy
Wola
Wola
Żoliborz
Żoliborz
Imię
Nazwisko
Telefonstacjonarny
4
5
6
Magdalena
Pęzior
Elżbieta
Mirosław
Beata
Aleksandra
Barbara
Katarzyna
Elżbieta
Dorota
Hanna
Wioletta
Włodzimierz
Robert
Sylwia
Aneta
Agnieszka
Joanna
Julita
Wanda
Barbara
Zbigniew
Mirosława
Roman
Alicja
Karol
Jarosław
Maria
Aneta
Grzegorz
Alicja
Izabela
Ewa
Małgorzata
Anna
Ziegler
Urbański
Danilecka
Ziach
Hapońska
Mroczek
Podkońska
Uszyńska
Kościelny
Pobocha
Siess
Zelinski
Firlig-Dutkiewicz
Latała
Gajownik
Kozorowska
Głażewska
Ząbkowska
Dudzińska
Konczewski
Kasprzyk
Maksymowicz
Śrama
Cudny
Szmytkowski
Pawłow
Ufnal
Graff
Wielgo
Łyczko
Rak
Czajkowska-Ścisło
Kajewska
225337951
225337687
225103271
223733339
223733347
226561698
225651920
Email
7
[email protected]
[email protected]
[email protected]
[email protected]
[email protected]
[email protected]
[email protected]
[email protected]
228232030
223380708
223380758
225900131
225900139
[email protected]
[email protected]
[email protected]
225151670
225151607
[email protected]
[email protected]
226998344
226998104
[email protected]
[email protected]
224438642
224438653
224786048
224786148
225457215
225457217
224436893
227736046
227736081
221168769
221168778
224434397
225758857
225048435
225048436
225601267
225601266
[email protected]
[email protected]
[email protected]
[email protected]
[email protected]
[email protected]
[email protected]
[email protected]
[email protected]
[email protected]
[email protected]
[email protected]
[email protected]
[email protected]
[email protected]
[email protected]
[email protected]
[email protected]
[email protected]