ogłoszenie o wyniku 682 - ENERGA

Transkrypt

ogłoszenie o wyniku 682 - ENERGA
ENERGA – OPERATOR SA. Oddział w
Gdańsku
1
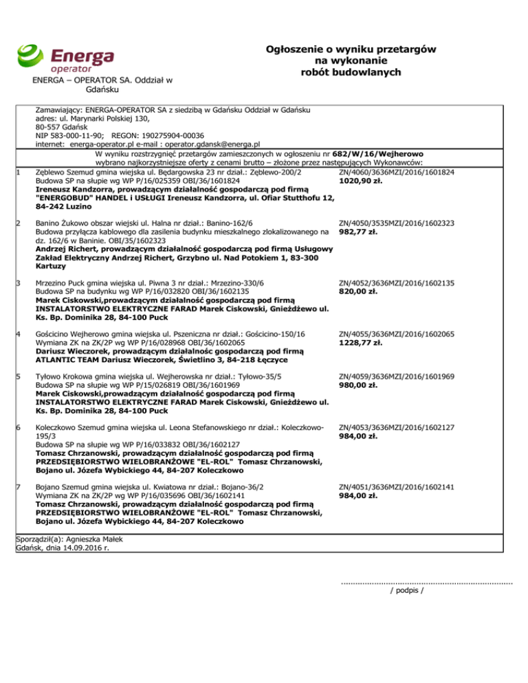
Ogłoszenie o wyniku przetargów
na wykonanie
robót budowlanych
Zamawiający: ENERGA-OPERATOR SA z siedzibą w Gdańsku Oddział w Gdańsku
adres: ul. Marynarki Polskiej 130,
80-557 Gdańsk
NIP 583-000-11-90; REGON: 190275904-00036
internet: energa-operator.pl e-mail : [email protected]
W wyniku rozstrzygnięć przetargów zamieszczonych w ogłoszeniu nr 682/W/16/Wejherowo
wybrano najkorzystniejsze oferty z cenami brutto – złożone przez następujących Wykonawców:
Zęblewo Szemud gmina wiejska ul. Będargowska 23 nr dział.: Zęblewo-200/2
ZN/4060/3636MZI/2016/1601824
Budowa SP na słupie wg WP P/16/025359 OBI/36/1601824
1020,90 zł.
Ireneusz Kandzorra, prowadzącym działalność gospodarczą pod firmą
"ENERGOBUD" HANDEL i USŁUGI Ireneusz Kandzorra, ul. Ofiar Stutthofu 12,
84-242 Luzino
2
Banino Żukowo obszar wiejski ul. Halna nr dział.: Banino-162/6
ZN/4050/3535MZI/2016/1602323
Budowa przyłącza kablowego dla zasilenia budynku mieszkalnego zlokalizowanego na 982,77 zł.
dz. 162/6 w Baninie. OBI/35/1602323
Andrzej Richert, prowadzącym działalność gospodarczą pod firmą Usługowy
Zakład Elektryczny Andrzej Richert, Grzybno ul. Nad Potokiem 1, 83-300
Kartuzy
3
Mrzezino Puck gmina wiejska ul. Piwna 3 nr dział.: Mrzezino-330/6
Budowa SP na budynku wg WP P/16/032820 OBI/36/1602135
Marek Ciskowski,prowadzącym działalność gospodarczą pod firmą
INSTALATORSTWO ELEKTRYCZNE FARAD Marek Ciskowski, Gnieżdżewo ul.
Ks. Bp. Dominika 28, 84-100 Puck
ZN/4052/3636MZI/2016/1602135
820,00 zł.
4
Gościcino Wejherowo gmina wiejska ul. Pszeniczna nr dział.: Gościcino-150/16
Wymiana ZK na ZK/2P wg WP P/16/028968 OBI/36/1602065
Dariusz Wieczorek, prowadzącym działalnośc gospodarczą pod firmą
ATLANTIC TEAM Dariusz Wieczorek, Świetlino 3, 84-218 Łęczyce
ZN/4055/3636MZI/2016/1602065
1228,77 zł.
5
Tyłowo Krokowa gmina wiejska ul. Wejherowska nr dział.: Tyłowo-35/5
Budowa SP na słupie wg WP P/15/026819 OBI/36/1601969
Marek Ciskowski,prowadzącym działalność gospodarczą pod firmą
INSTALATORSTWO ELEKTRYCZNE FARAD Marek Ciskowski, Gnieżdżewo ul.
Ks. Bp. Dominika 28, 84-100 Puck
ZN/4059/3636MZI/2016/1601969
980,00 zł.
6
Koleczkowo Szemud gmina wiejska ul. Leona Stefanowskiego nr dział.: Koleczkowo195/3
Budowa SP na słupie wg WP P/16/033832 OBI/36/1602127
Tomasz Chrzanowski, prowadzącym działalność gospodarczą pod firmą
PRZEDSIĘBIORSTWO WIELOBRANŻOWE "EL-ROL" Tomasz Chrzanowski,
Bojano ul. Józefa Wybickiego 44, 84-207 Koleczkowo
ZN/4053/3636MZI/2016/1602127
984,00 zł.
7
Bojano Szemud gmina wiejska ul. Kwiatowa nr dział.: Bojano-36/2
Wymiana ZK na ZK/2P wg WP P/16/035696 OBI/36/1602141
Tomasz Chrzanowski, prowadzącym działalność gospodarczą pod firmą
PRZEDSIĘBIORSTWO WIELOBRANŻOWE "EL-ROL" Tomasz Chrzanowski,
Bojano ul. Józefa Wybickiego 44, 84-207 Koleczkowo
ZN/4051/3636MZI/2016/1602141
984,00 zł.
Sporządził(a): Agnieszka Małek
Gdańsk, dnia 14.09.2016 r.
.........................................................................
/ podpis /