Nazwa Forma zajęć Liczba godzin Pedagogika społeczna W 30

Transkrypt

Nazwa Forma zajęć Liczba godzin Pedagogika społeczna W 30
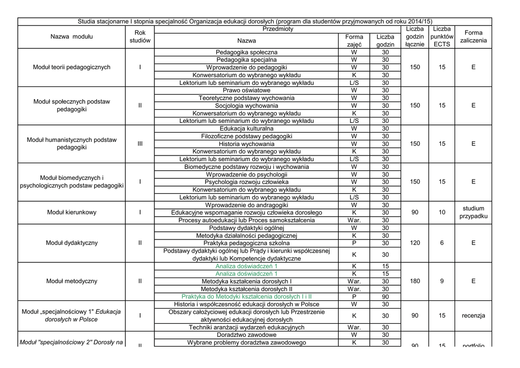
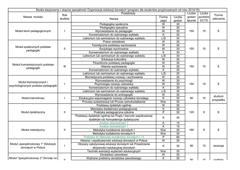
Studia stacjonarne I stopnia specjalność Organizacja edukacji dorosłych (program dla studentów przyjmowanych od roku 2014/15)
Przedmioty
Liczba
Liczba
Rok
Forma
Nazwa modułu
godzin punktów
Forma
Liczba
studiów
zaliczenia
Nazwa
ECTS
łącznie
zajęć
godzin
Pedagogika społeczna
W
30
Pedagogika specjalna
W
30
Moduł teorii pedagogicznych
I
150
15
E
Wprowadzenie do pedagogiki
W
30
Konwersatorium do wybranego wykładu
K
30
Lektorium lub seminarium do wybranego wykładu
L/S
30
Prawo oświatowe
W
30
Teoretyczne podstawy wychowania
W
30
Moduł społecznych podstaw
II
150
15
E
Socjologia wychowania
W
30
pedagogiki
Konwersatorium do wybranego wykładu
K
30
Lektorium lub seminarium do wybranego wykładu
L/S
30
Edukacja kulturalna
W
30
Filozoficzne podstawy pedagogiki
W
30
Moduł humanistycznych podstaw
III
150
15
E
Historia wychowania
W
30
pedagogiki
Konwersatorium do wybranego wykładu
K
30
Lektorium lub seminarium do wybranego wykładu
L/S
30
Biomedyczne podstawy rozwoju i wychowania
W
30
Wprowadzenie do psychologii
W
30
Moduł biomedycznych i
I
150
15
E
Psychologia rozwoju człowieka
W
30
psychologicznych podstaw pedagogiki
Konwersatorium do wybranego wykładu
K
30
Lektorium lub seminarium do wybranego wykładu
L/S
30
Wprowadzenie do andragogiki
W
30
studium
Moduł kierunkowy
I
90
10
Edukacyjne wspomaganie rozwoju człowieka dorosłego
K
30
przypadku
Procesy autoedukacji lub Proces samokształcenia
War.
30
Podstawy dydaktyki ogólnej
W
30
Metodyka działalności pedagogicznej
K
30
Moduł dydaktyczny
II
120
6
E
Praktyka pedagogiczna szkolna
P
30
Podstawy dydaktyki ogólnej lub Prądy i kierunki współczesnej
K
30
dydaktyki lub Kompetencje dydaktyczne
Analiza doświadczeń 1
K
15
Analiza doświadczeń 1
K
15
Moduł metodyczny
II
180
9
E
Metodyka kształcenia dorosłych I
War.
30
Metodyka kształcenia dorosłych II
War.
30
Praktyka do Metodyki kształcenia dorosłych I i II
P
90
Historia i współczesność edukacji dorosłych w Polsce
W
30
Moduł „specjalnościowy 1" Edukacja
Obszary całożyciowej edukacji dorosłych lub Przestrzenie
I
90
15
recenzja
K
30
dorosłych w Polsce
aktywności edukacyjnej dorosłych
Techniki aranżacji wydarzeń edukacyjnych
War.
30
Doradztwo zawodowe
W
30
Moduł "specjalnościowy 2" Dorosły na
Wybrane problemy doradztwa zawodowego
K
30
II
90
15
portfolio
rynku pracy
rynku pracy
II
Moduł "specjalnościowy 3" E-edukacja
dorosłych
II
Moduł "specjalnościowy 4"
Organizacja procesów uczenia się
dorosłych
III
Seminarium dyplomowe
Ochrona własności intelektualnej
BHP
Wychowanie fizyczne
Technologia informacyjna
Zajęcia ogólnouniwersyteckie
Język obcy – egzamin
II-III
I
I
I i II
I
I-III
II
zajęcia nieobowiązkowe: translatorium
(4 ECTS), lektorat, fakultety w tym
wykłady monograficzne
Razem punkty
I-III
Człowiek w środowisku pracy lub Dorosły wobec wyzwań edukacji
zawodowej
Współczesne technologie w edukacji dorosłych
Koncepcje uczenia się przez całe życie
Innowacyjne techniki szkoleniowe lub Alternatywne formy zajęć
edukacyjnych z dorosłymi
Specyfika uczenia się dorosłych lub Koncepcje uczenia się
dorosłych
Logistyka procesów edukacyjnych
Marketing w edukacji dorosłych
Tematyka do wyboru zgodna ze specjalnością
Tematyka do wyboru
90
15
portfolio
90
15
projekt
S
30
W
K
30
30
S
30
W
30
K
War.
S
30
30
90
4
90
15
projekt zajęć
90
4
120
30
120
30
16
0,5
0,5
2
2
9
2
ZAL
ZAL
ZAL
ZO
ZO
E
Tematyka do wyboru
Tematyka do wyboru
Tematyka do wyboru
1594
3
180
Studia stacjonarne I stopnia specjalność Organizacja edukacji dorosłych (program dla studentów przyjętych w 2012/13 i 2013/14)
Przedmioty
Liczba
Liczba
Rok
Nazwa modułu
godzin punktów
Forma
Liczba
studiów
Nazwa
ECTS
łącznie
zajęć
godzin
Pedagogika społeczna
W
30
Pedagogika specjalna
W
30
Moduł teorii pedagogicznych
I
150
15
Wprowadzenie do pedagogiki
W
30
Konwersatorium do wybranego wykładu
K
30
Lektorium lub seminarium do wybranego wykładu
L/S
30
Prawo oświatowe
W
30
Teoretyczne podstawy wychowania
W
30
Moduł społecznych podstaw
II
150
15
Socjologia wychowania
W
30
pedagogiki
Konwersatorium do wybranego wykładu
K
30
Lektorium lub seminarium do wybranego wykładu
L/S
30
Edukacja kulturalna
W
30
Filozoficzne podstawy pedagogiki
W
30
Moduł humanistycznych podstaw
III
150
15
Historia wychowania
W
30
pedagogiki
ZO
Forma
zaliczenia
E
E
E
pedagogiki
Moduł biomedycznych i
psychologicznych podstaw pedagogiki
I
Moduł kierunkowy od roku akad.
2014/15 egzamin na II roku st.: Moduł 10 ECTS,seminarium dyplomowe na
III r. 12 ECTS (2015/16)
I-III
Moduł dydaktyczny
II
Moduł metodyczny
II
Moduł „specjalnościowy 1" Edukacja
dorosłych w Polsce
I
Moduł "specjalnościowy 2" Dorosły na
rynku pracy
II
Moduł "specjalnościowy 3" E-edukacja
dorosłych
I
Moduł "specjalnościowy 4"
Organizacja procesów uczenia się
dorosłych
III
Ochrona własności intelektualnej
BHP
Wychowanie fizyczne
Technologia informacyjna
I
I
I i II
I
Konwersatorium do wybranego wykładu
Lektorium lub seminarium do wybranego wykładu
Biomedyczne podstawy rozwoju i wychowania
Psychologia społeczna (od 2013/14 Wprowadzenie do psychologii)
K
L/S
W
30
30
30
W
30
Psychologia rozwoju człowieka
Konwersatorium do wybranego wykładu
Lektorium lub seminarium do wybranego wykładu
Wprowadzenie do andragogiki
Koncepcje edukacji ustawicznej
Edukacyjne wspomaganie rozwoju człowieka dorosłego
Seminarium dyplomowe
Procesy autoedukacji lub Proces samokształcenia
Podstawy dydaktyki ogólnej
Metodyka działalności pedagogicznej
Praktyka pedagogiczna szkolna
Podstawy dydaktyki ogólnej lub Prądy i kierunki współczesnej
dydaktyki lub Kompetencje dydaktyczne
Analiza doświadczeń 1
Analiza doświadczeń 1
Metodyka kształcenia dorosłych I
Metodyka kształcenia dorosłych II
Praktyka do Metodyki kształcenia dorosłych I i II
Historia i współczesność edukacji dorosłych w Polsce
Obszary całożyciowej edukacji dorosłych lub Przestrzenie
aktywności edukacyjnej dorosłych
Praktyki - wizyty studyjne
Doradztwo zawodowe
Wybrane problemy doradztwa zawodowego
Człowiek w środowisku pracy lub Dorosły wobec wyzwań edukacji
zawodowej
Współczesne technologie w edukacji dorosłych
Modele e-dydaktyki
Innowacyjne techniki szkoleniowe lub Alternatywne formy zajęć
edukacyjnych z dorosłymi
Specyfika uczenia się dorosłych lub Koncepcje uczenia się
dorosłych
Logistyka procesów edukacyjnych
Marketing w edukacji dorosłych
W
K
L/S
W
W
K
S
War.
W
K
P
30
30
30
30
30
30
90
30
30
30
30
K
30
K
K
War.
War.
P
W
15
15
30
30
90
30
K
30
P
W
K
30
30
30
S
30
W
K
30
30
S
30
W
30
K
War.
30
30
4
Tematyka do wyboru
120
30
150
15
E
210
20
studium
przypadku
120
6
E
180
9
E
90
15
recenzja
90
15
portfolio
90
15
projekt
90
15
projekt zajęć
4
0,5
0,5
2
2
ZAL
ZAL
ZAL
ZO
120
30
Zajęcia ogólnouniwersyteckie
Język obcy – egzamin
zajęcia nieobowiązkowe: translatorium
(4 ECTS), lektorat, fakultety w tym
wykłady monograficzne
Razem punkty
I-III
II
Tematyka do wyboru
Tematyka do wyboru
9
2
ZO
E
I-III
Tematyka do wyboru
9
180
ZO
1624