delegacje zagraniczne.cdr

Transkrypt

delegacje zagraniczne.cdr
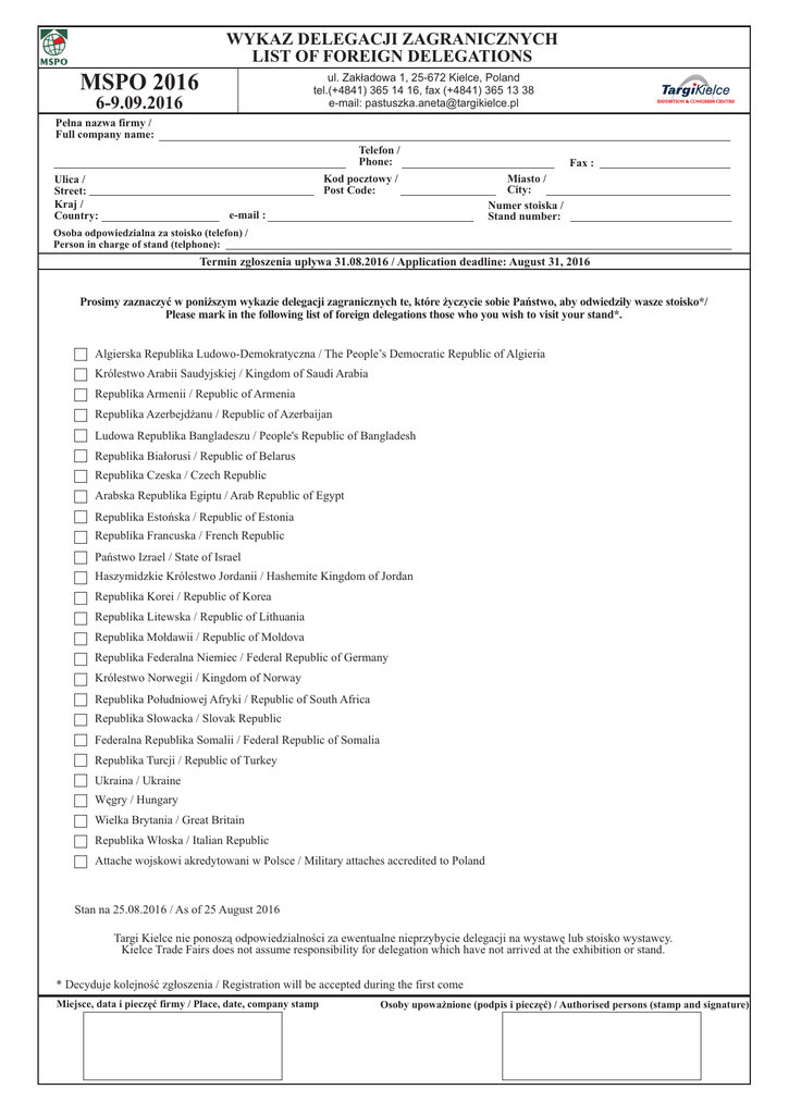
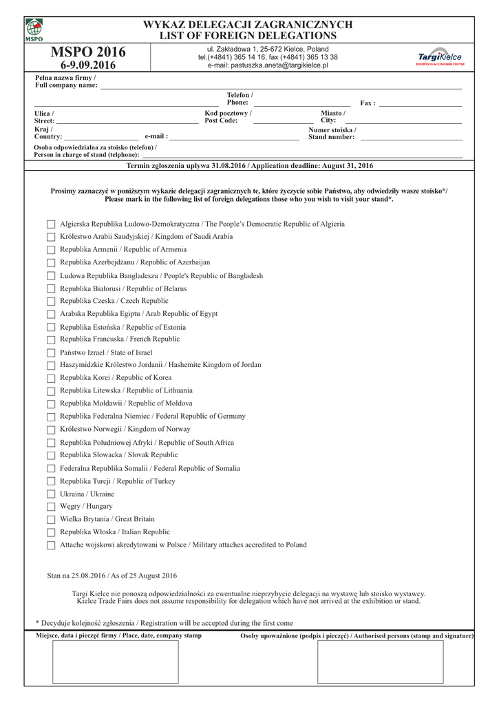
WYKAZ DELEGACJI ZAGRANICZNYCH
LIST OF FOREIGN DELEGATIONS
ul. Zak³adowa 1, 25-672 Kielce, Poland
tel.(+4841) 365 14 16, fax (+4841) 365 13 38
e-mail: [email protected]
MSPO 2016
6-9.09.2016
Pe³na nazwa firmy /
Full company name:
Telefon /
Phone:
Kod pocztowy /
Post Code:
Ulica /
Street:
Kraj /
Country:
e-mail :
Fax :
Miasto /
City:
Numer stoiska /
Stand number:
Osoba odpowiedzialna za stoisko (telefon) /
Person in charge of stand (telphone):
Termin zg³oszenia up³ywa 31.08.2016 / Application deadline: August 31, 2016
Prosimy zaznaczyæ w poni¿szym wykazie delegacji zagranicznych te, które ¿yczycie sobie Pañstwo, aby odwiedzi³y wasze stoisko*/
Please mark in the following list of foreign delegations those who you wish to visit your stand*.
Algierska Republika Ludowo-Demokratyczna / The People’s Democratic Republic of Algieria
Królestwo Arabii Saudyjskiej / Kingdom of Saudi Arabia
Republika Armenii / Republic of Armenia
Republika Azerbejd¿anu / Republic of Azerbaijan
Ludowa Republika Bangladeszu / People's Republic of Bangladesh
Republika Bia³orusi / Republic of Belarus
Republika Czeska / Czech Republic
Arabska Republika Egiptu / Arab Republic of Egypt
Republika Estoñska / Republic of Estonia
Republika Francuska / French Republic
Pañstwo Izrael / State of Israel
Haszymidzkie Królestwo Jordanii / Hashemite Kingdom of Jordan
Republika Korei / Republic of Korea
Republika Litewska / Republic of Lithuania
Republika Mo³dawii / Republic of Moldova
Republika Federalna Niemiec / Federal Republic of Germany
Królestwo Norwegii / Kingdom of Norway
Republika Po³udniowej Afryki / Republic of South Africa
Republika S³owacka / Slovak Republic
Federalna Republika Somalii / Federal Republic of Somalia
Republika Turcji / Republic of Turkey
Ukraina / Ukraine
Wêgry / Hungary
Wielka Brytania / Great Britain
Republika W³oska / Italian Republic
Attache wojskowi akredytowani w Polsce / Military attaches accredited to Poland
Stan na 25.08.2016 / As of 25 August 2016
Targi Kielce nie ponosz¹ odpowiedzialnoœci za ewentualne nieprzybycie delegacji na wystawê lub stoisko wystawcy.
Kielce Trade Fairs does not assume responsibility for delegation which have not arrived at the exhibition or stand.
* Decyduje kolejnoœæ zg³oszenia / Registration will be accepted during the first come
Miejsce, data i pieczêæ firmy / Place, date, company stamp
Osoby upowa¿nione (podpis i pieczêæ) / Authorised persons (stamp and signature)