WAGES AND SALARIES. SOCIAL SECURITY BENEFITS 124 TABL

Transkrypt

WAGES AND SALARIES. SOCIAL SECURITY BENEFITS 124 TABL
124
WAGES AND SALARIES. SOCIAL SECURITY BENEFITS
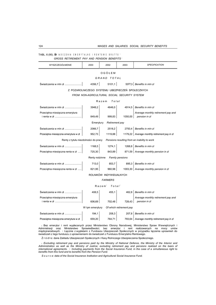
TABL. 6 (95). WIADCZENIA EMERYTALNE I RENTOWE BRUTTO a
GROSS RETIREMENT PAY AND PENSION BENEFITS
WYSZCZEGÓLNIENIE
2000
2002
OGÓ
GRAND
wiadczenia w mln z ........................
4356,7
a
SPECIFICATION
2003
EM
TOTAL
5101,1
5377,3 Benefits in mln zl
Z POZAROLNICZEGO SYSTEMU UBEZPIECZE
SPO ECZNYCH
FROM NON-AGRICULTURAL SOCIAL SECURITY SYSTEM
Razem
wiadczenia w mln z ........................
Total
3948,2
4646,0
849,49
999,83
4914,5 Benefits in mln zl
Przeci tna miesi czna emerytura
i renta w z ......................................
Average monthly retirement pay and
Emerytury
wiadczenia w mln z ........................
Przeci tna miesi czna emerytura w z
pension in zl
Retirement pay
2066,7
2518,2
952,73
1119,88
Renty z tytu u niezdolno ci do pracy
1050,00
2750,4 Benefits in mln zl
1179,22 Average monthly retirement pay in zl
Pensions resulting from an inability to work
wiadczenia w mln z ........................
1168,5
1274,1
1268,8 Benefits in mln zl
Przeci tna miesi czna renta w z .....
725,30
843,89
871,59 Average monthly pension in zl
Renty rodzinne
Family pensions
wiadczenia w mln z ........................
713,0
853,7
Przeci tna miesi czna renta w z .....
821,95
960,98
895,3 Benefits in mln zl
1003,30 Average monthly pension in zl
ROLNIKÓW INDYWIDUALNYCH
FARMERS
R a z e mb
wiadczenia w mln z ........................
Total
408,5
455,1
606,69
702,48
b
462,8 Benefits in mln zl
Przeci tna miesi czna emerytura
i renta w z ......................................
Average monthly retirement pay and
W tym emerytury
wiadczenia w mln z ........................
Przeci tna miesi czna emerytura w z
728,43
pension in zl
Of which retirement pay
194,1
208,3
659,20
764,71
207,8 Benefits in mln zl
793,64 Average monthly retirement pay in zl
a Bez emerytur i rent wyp acanych przez Ministerstwo Obrony Narodowej, Ministerstwo Spraw W ewn trznych i
Administracji oraz Ministerstwo Sprawiedliwo ci; bez emerytur i rent realizowanych na mocy umów
mi dzynarodowych. b cznie z wyp atami z Funduszu Ubezpiecze Spo ecznych w przypadku czenia uprawnie do
wiadcze z tego funduszu z uprawnieniami do wiadcze z Funduszu Emerytalno Rentowego.
r ó d o: dane Zak adu Ubezpiecze Spo ecznych i Kasy Rolniczego Ubezpieczenia Spo ecznego.
a Excluding retirement pay and pensions paid by the Ministry of National Defence, the Ministry of the Interior and
Administration as well as the Ministry of Justice; excluding retirement pay and pensions realized on the basis of
international agreements. b Including payments from the Social Insurance Fund, in the case of a simultaneous right to
benefits from this fund and to benefits from the Pension Fund.
S o u r c e: data of the Social Insurance Institution and Agricultural Social Insurance Fund.
WAGES AND SALARIES. SOCIAL SECURITY BENEFITS
125