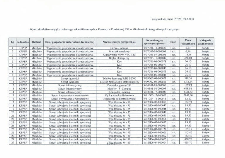
Załącznik do pisma PT.201.29.2.2014 Wykaz składników majątku

Transkrypt

Załącznik do pisma PT.201.29.2.2014 Wykaz składników majątku
Załącznik do pisma P T .201.29.2.2014
Wykaz składników majątku ruchomego zakwalifikowanych w Komendzie Powiatowej PSP w Miechowie do kategorii majątku zużytego.
Lp
Jednostka
Oddział
1
2
3
4
5
6
7
8
9
10
11
12
13
14
15
16
17
18
19
20
21
22
23
24
25
26
27
28
29
KPPSP
KPPSP
KPPSP
KPPSP
KPPSP
KPPSP
KPPSP
KPPSP
KPPSP
KPPSP
KPPSP
KPPSP
KPPSP
KPPSP
KPPSP
KPPSP
KPPSP
KPPSP
KPPSP
KPPSP
KPPSP
KPPSP
KPPSP
KPPSP
KPPSP
KPPSP
KPPSP
KPPSP
KPPSP
Miechów
Miechów
Miechów
Miechów
Miechów
Miechów
Miechów
Miechów
Miechów
Miechów
Miechów
Miechów
Miechów
Miechów
Miechów
Miechów
Miechów
Miechów
Miechów
Miechów
Miechów
Miechów
Miechów
Miechów
Miechów
Miechów
Miechów
Miechów
Miechów
Dział gospodarki materiałowo-technicznej
Wyposażenie
Wyposażenie
Wyposażenie
Wyposażenie
Wyposażenie
W yposażenie
Wyposażenie
Wyposażenie
Wyposażenie
gospodarcze i kwaterunkowe
gospodarcze i kwaterunkowe
gospodarcze i kwaterunkowe
gospodarcze i kwaterunkowe
gospodarcze i kwaterunkowe
gospodarcze i kwaterunkowe
gospodarcze i kwaterunkowe
gospodarcze i kwaterunkowe
gospodarcze i kwaterunkowe
Sprzęt łączności
Sprzęt łączności
Sprzęt informatyczny
Sprzęt informatyczny
Sprzęt informatyczny
Sprzęt i wyposażenie warsztatowe
Sprzęt i wyposażenie warsztatowe
Sprzęt uzbrojenia i techniki specjalnej
Sprzęt uzbrojenia i techniki specjalnej
Sprzęt uzbrojenia i techniki specjalnej
Sprzęt uzbrojenia i techniki specjalnej
Sprzęt uzbrojenia i techniki specjalnej
Sprzęt uzbrojenia i techniki specjalnej
Sprzęt uzbrojenia i techniki specjalnej
Sprzęt uzbrojenia i techniki specjalnej
Sprzęt uzbrojenia i techniki specjalnej
Sprzęt uzbrojenia i techniki specjalnej
Sprzęt uzbrojenia i techniki specjalnej
Sprzęt uzbrojenia i techniki specjalnej
Sprzęt uzbrojenia i techniki specjalnej
Nazwa sprzętu (urządzenia)
Łóżko - tapczan
Wieszak metalowy
Klimatyzator MPM YPC-12C
Bojler elektryczny
Koc
Koc
Koc
Koc
Koc
Telefon Samsung Solid B2700
Telefon Nokia 6303 Matt Balck NS
Drukarka igłowa OKI
M onitor 15” Compaq
Komputer Compaq
Myjka wysokociśnieniowa
Urządzenie do kontroli świateł
W ąż tłoczny W - 52
W ąż tłoczny W - 75
W ąż tłoczny W - 75
W ąż tłoczny W - 75
W ąż tłoczny W - 75
W ąż tłoczny W - 75
W ąż tłoczny W - 75
W ąż tłoczny W - 75
Wąż tłoczny W - 75
W ąż tłoczny W -l 10
Wąż tłoczny W-l 10
Wąż tłoczny W -l 10
s W f t y ¥ zny w - ] 10
Nr ewidencyjny
sprzętu (urządzenia)
Ilość
Cena
jednostkowa
Kategoria
użytkowania
W 07C01-13-000020
W 07C02-08-000001
W 07C03-07-000001
W 07C03-11-000089
W 07C06-06-000078
W07C06-06-000079
W07C06-06-000080
W07C06-06-000083
W07C06-06-000084
W 09D02-01-000029
W 09D02-01-000031
W 10E01-03-000006
W 10E01-04-000005
W 10E01-17-000006
W11G03-13-000002
W 11G04-11-000016
W 12H06-02-000057
W 12H06-03-000047
W 12H06-03-000048
W 12H06-03-000049
W 12H06-03-000051
W 12H06-03-000056
W 12H06-03-000057
W 12H06-03-000061
W 12H 06-03-000124
W 12H06-04-000001
W 12H06-04-000002
W 12H06-04-000003
W 12H06-04-000004
1 szt.
1 szt.
1 szt.
1 szt.
1 szt.
1 szt.
1 szt.
1 szt.
1 szt.
1 szt.
1 szt.
1 szt.
1 szt.
1 szt.
1 szt.
1 szt.
1 szt.
1 szt.
1 szt.
1 szt.
1 szt.
1 szt.
1 szt.
1 szt.
1 szt.
1 szt.
1 szt.
1 szt.
1 szt.
0,07
0,16
1570
420,00
26,10
26,10
26,10
26,10
26,10
548,36
1351,64
1679,9
649,84
3341,52
2842,60
12,80
134,73
89,30
89,30
89,30
89,30
89,30
89,30
89,30
155,15
142,40
142,40
438,70
438,70
Zużyte
Zużyte
Zużyte
Zużyte
Zużyte
Zużyte
Zużyte
Zużyte
Zużyte
Zużyte
Zużyte
Zużyte
Zużyte
Zużyte
Zużyte
Zużyte
Zużyte
Zużyte
Zużyte
Zużyte
Zużyte
Zużyte
Zużyte
Zużyte
Zużyte
Zużyte
Zużyte
Zużyte
Zużyte
30
31
32
33
34
35
36
37
38
39
40
41
42
43
44
45
46
47
48
49
50
51
52
53
54
55
56
57
58
59
60
61
62
63
64
65
66
67
KPPSP
KPPSP
KPPSP
KPPSP
KPPSP
KPPSP
KPPSP
KPPSP
KPPSP
KPPSP
KPPSP
KPPSP
KPPSP
KPPSP
KPPSP
KPPSP
KPPSP
KPPSP
KPPSP
KPPSP
KPPSP
KPPSP
KPPSP
KPPSP
KPPSP
KPPSP
KPPSP
KPPSP
KPPSP
KPPSP
KPPSP
KPPSP
KPPSP
KPPSP
KPPSP
KPPSP
KPPSP
KPPSP
Miechów
Miechów
Miechów
Miechów
Miechów
Miechów
Miechów
Miechów
Miechów
Miechów
Miechów
Miechów
Miechów
Miechów
Miechów
Miechów
Miechów
Miechów
Miechów
Miechów
Miechów
Miechów
Miechów
Miechów
Miechów
Miechów
Miechów
Miechów
Miechów
Miechów
Miechów
Miechów
Miechów
Miechów
Miechów
Miechów
Miechów
Miechów
Sprzęt uzbrojenia
Sprzęt uzbrojenia
Sprzęt uzbrojenia
Sprzęt uzbrojenia
Sprzęt uzbrojenia
Sprzęt uzbrojenia
Sprzęt uzbrojenia
Sprzęt uzbrojenia
Sprzęt uzbrojenia
Sprzęt uzbrojenia
Sprzęt uzbrojenia
Sprzęt uzbrojenia
Sprzęt uzbrojenia
Sprzęt uzbrojenia
Sprzęt uzbrojenia
Sprzęt uzbrojenia
Sprzęt uzbrojenia
Sprzęt uzbrojenia
Sprzęt uzbrojenia
Sprzęt uzbrojenia
Sprzęt uzbrojenia
Sprzęt uzbrojenia
Sprzęt uzbrojenia
Sprzęt uzbrojenia
Sprzęt uzbrojenia
Sprzęt uzbrojenia
Sprzęt uzbrojenia
Sprzęt uzbrojenia
Sprzęt uzbrojenia
Sprzęt uzbrojenia
Sprzęt uzbrojenia
Sprzęt uzbrojenia
Sprzęt uzbrojenia
Sprzęt uzbrojenia
Sprzęt uzbrojenia
Sprzęt uzbrojenia
Sprzęt uzbrojenia
Sprzęt uzbrojenia
techniki specjalnej
techniki specjalnej
techniki specjalnej
techniki specjalnej
techniki specjalnej
techniki specjalnej
techniki specjalnej
techniki specjalnej
techniki specjalnej
techniki specjalnej
techniki specjalnej
techniki specjalnej
techniki specjalnej
techniki specjalnej
techniki specjalnej
techniki specjalnej
techniki specjalnej
techniki specjalnej
techniki specjalnej
techniki specjalnej
techniki specjalnej
techniki specjalnej
techniki specjalnej
techniki specjalnej
techniki specjalnej
techniki specjalnej
techniki specjalnej
techniki specjalnej
techniki specjalnej
techniki specjalnej
techniki specjalnej
techniki specjalnej
techniki specjalnej
techniki specjalnej
techniki specjalnej
techniki specjalnej
techniki specjalnej
techniki specjalnej
Wąż ssawny W -l 10
W ąż ssawny W -l 10
Wąż ssawny W -l 10
W ąż ssawny W -l 10
W ąż ssawny W -l 10
W ąż ssawny W -l 10
Przełącznik 52/75
Przełącznik 52/75
Mostek przejazdowy
Mostek przejazdowy
M ostek przejazdowy
Mostek przejazdowy
Drabina hakowa
Drabina słupkowa
Drabina sznurowa
Linka ratownicza
Linka strażacka
Linka strażacka
Linka strażacka
Linka ratownicza
Linka strażacka
Linka ratownicza
Pilarka spalinowa
Kamizelka Ratunkowa
Kamizelka Ratunkowa
Kamizelka Ratunkowa
Kamizelka Ratunkowa
Wiosło
Wiosło
Latarka SURVIVOR
Latarka SURVIVOR
Latarka SURVlVOR
Latarka SURVIVOR
Latarka SURVIVOR
Lizak do kierowania ruchem
Lampa ostrzegawcza
Lampa ostrzegawcza
Lampa ostrzegawcza
Strona 2
W 12H06-06-000009
W 12H06-06-000010
W 12H06-06-000011
W 12H06-06-000012
W 12H 06-06-000014
W 12H 06-06-000018
W 12H 10-02-000001
W 12H 10-02-000002
W 12H10-24-000001
W 12H 10-24-000002
W 12H 10-24-000003
W 12H 10-24-000004
W 12H14-01-000003
W I2 H 14-04-000002
W 12H 14-05-000001
W 12H 15-02-000009
W 12H 15-02-000010
W 12H 15-02-000011
W 12H15-02-000012
W 12H 15-02-000013
W 12H 15-02-000014
W 12H 15-02-000015
W 12 K 12-03-000009
W 12L05-02-000001
W 12L05-02-000002
W 12L05-02-000003
W12L05-02-000004
W 12L05-16-000003
W 12L05-16-000004
W 12Ł02-02-000011
W 12Ł02-02-000012
W 12Ł02-02-000013
W 12L02-02-000014
W 12Ł02-02-000016
W 12L02-05-000002
W 12Ł02-05-000003
W 12Ł02-05-000004
W 12Ł02-05-000005
1 szt.
1 szt.
1 szt.
1 szt.
1 szt.
1 szt.
1 szt.
1 szt.
1 szt.
1 szt.
1 szt.
1 szt.
1 szt.
1 szt.
1 szt.
1 szt.
1 szt.
1 szt.
1 szt.
1 szt.
1 szt.
1 szt.
1 szt.
1 szt.
1 szt.
1 szt.
1 szt.
1 szt.
1 szt.
1 szt.
1 szt.
1 szt.
1 szt.
1 szt.
1 szt.
1 szt.
1 szt.
1 szt.
262,15
262,15
262,15
256,80
256,80
300,00
0,05
0,05
214,72
214,72
430,50
430,50
3,07
45,75
393,46
310,30
310,30
310,30
310,30
310,30
310,30
224,70
1650,00
116,63
116,63
116,63
116,63
0,00
0,00
765,06
521,09
521,09
521,09
483,65
158,36
117,70
117,70
117,70
Zużyte
Zużyte
Zużyte
Zużyte
Zużyte
Zużyte
Zużyte
Zużyte
Zużyte
Zużyte
Zużyte
Zużyte
Zużyte
Zużyte
Zużyte
Zużyte
Zużyte
Zużyte
Zużyte
Zużyte
Zużyte
Zużyte
Zużyte
Zużyte
Zużyte
Zużyte
Zużyte
Zużyte
Zużyte
Zużyte
Zużyte
Zużyte
Zużyte
Zużyte
Zużyte
Zużyte
Zużyte
Zużyte
68
69
70
71
72
73
74
75
76
77
78
79
80
81
82
83
84
85
86
87
88
89
90
91
92
93
94
95
96
97
98
99
100
101
102
103
104
104
KPPSP
KPPSP
KPPSP
KPPSP
KPPSP
KPPSP
KPPSP
KPPSP
KPPSP
KPPSP
KPPSP
KPPSP
KPPSP
KPPSP
KPPSP
KPPSP
KPPSP
KPPSP
KPPSP
KPPSP
KPPSP
KPPSP
KPPSP
KPPSP
KPPSP
KPPSP
KPPSP
KPPSP
KPPSP
KPPSP
KPPSP
KPPSP
KPPSP
KPPSP
KPPSP
KPPSP
KPPSP
KPPSP
Miechów
Miechów
Miechów
Miechów
Miechów
Miechów
Miechów
Miechów
Miechów
Miechów
Miechów
Miechów
Miechów
Miechów
Miechów
Miechów
Miechów
Miechów
Miechów
Miechów
Miechów
Miechów
Miechów
Miechów
Miechów
Miechów
Miechów
Miechów
Miechów
Miechów
Miechów
Miechów
Miechów
Miechów
Miechów
Miechów
Miechów
Miechów
Sprzęt uzbrojenia i techniki specjalnej
Sprzęt uzbrojenia i techniki specjalnej
Sprzęt uzbrojenia i techniki specjalnej
Sprzęt uzbrojenia i techniki specjalnej
Sprzęt uzbrojenia i techniki specjalnej
Sprzęt uzbrojenia i techniki specjalnej
Sprzęt uzbrojenia i techniki specjalnej
Sprzęt uzbrojenia i techniki specjalnej
Przedmiot umundurowania specjalnego
Przedmiot umundurowania specjalnego
Przedmiot umundurowania specjalnego
Przedmiot umundurowania specjalnego
Przedmiot umundurowania specjalnego
Przedmiot umundurowania specjalnego
Przedmiot umundurowania spec jalnego
Przedmiot umundurowania specjalnego
Przedmiot umundurowania specjalnego
Przedmiot umundurowania specjalnego
Przedmiot umundurowania specjalnego
Przedmiot umundurowania specjalnego
Przedmiot umundurowania specjalnego
Przedmiot umundurowania specjalnego
Przedmiot umundurowania specjalnego
Przedmiot umundurowania specjalnego
Przedmiot umundurowania specjalnego
Przedmiot umundurowania specjalnego
Przedmiot umundurowania specjalnego
Przedmiot umundurowania specjalnego
Przedmiot umundurowania specjalnego
Przedmiot umundurowania specjalnego
Przedmiot umundurowania specjalnego
Przedmiot umundurowania specjalnego
Przedmiot umundurowania specjalnego
Przedmiot umundurowania specjalnego
Przedmiot umundurowania specjalnego
Przedmiot umundurowania specjalnego
Sprzęt i wyposażenie remontowe
Sprzęt łączności
Lampa ostrzegawcza
Latarka SURV1V()R
Agregat prądotwórczy
Kaptur ucieczkowy
Butla kompozytowa
Butla kompozytowa
Butla kompozytowa
Butla kompozytowa
Ubranie żaroochronne lekkie
Ubranie żaroochronne lekkie
Pas bojowy
Pas bojowy
Buty specjalne gumowe
Buty specjalne gumowe
Buty specjalne gumowe
Buty specjalne gumowe
Buty specjalne gumowe
Buty spec jalne gumowe
Buty specjalne gumowe
Buty specjalne gumowe
Buty specjalne gumowe
Spodnie gumowe wodery
Spodnie gumowe wodery
Spodnie gumowe wodery
Spodnie gumowe wodery
Spodnie gumowe wodery
Spodnie gumowe wodery
Spodnie gumowe wodery
Spodnie gumowe wodery
Sztormiak
Sztormiak
Sztormiak
Sztormiak
Sztormiak
Sztormiak
Ubranie pilarza
Taczki
Radiotelefon nasobny GP-360
Strona 3
W 12L02-05-000008
W 12Ł02-11-000015
W 12Ł03-03-000001
W 12M 01-04-000001
W 12M 03-03-000001
W 12M03-03-000002
W12M03-03-000005
W 12M03-03 -000007
W 14R01-01-000001
W 14R01-01-000002
W 14R01-04-000001
W 14R01-04-000002
W I4R 01-10-000001
W 14R01-10-000002
W 14R01-10-000003
W 14R01-10-000004
W14R01-10-000005
W 14R 01-10-000006
W 14R01-10-000007
W 14R01-10-000008
W 14R01-10-000009
W 14R01-16-000001
W 14R01-16-000002
W I4 R 0 1-16-000003
W 14R01-16-000004
W 14R01-16-000005
W 14R01-16-000006
W 14R01-16-000007
W I4 R 0 1-16-000008
W14R01-17-000001
W 14R01-17-000002
W 14R 01-17-000003
W 14R01-17-000004
W 14R01-17-000005
W I4R01-17-000006
W 14R01-19-000034
W 16T02-02-000001
P09D01-11-000001
1 szt.
1 szt.
1 szt.
1 szt.
1 szt.
1 szt.
1 szt.
1 szt.
1 szt.
1 szt.
1 szt.
1 szt.
1 szt.
1 szt.
1 szt.
1 szt.
1 szt.
1 szt.
1 szt.
1 szt.
1 szt.
1 szt.
1 szt.
1 szt.
1 szt.
1 szt.
1 szt.
1 szt.
1 szt.
1 szt.
1 szt.
1 szt.
1 szt.
1 szt.
1 szt.
1 szt.
1 szt.
1 szt.
117,70
483,65
2,06
385,20
0,00
0,00
0,00
0,00
1391,00
1391,00
94,16
94,16
0,00
0,00
0,00
0,00
0,00
0,00
0,00
0,00
0,00
0,00
0,00
0,00
0,00
0,00
0,00
0,00
0,00
0,00
0,00
0,00
0,00
0,00
0,00
0,00
127,00
0,00
Zużyte
Zużyte
Zużyte
Zużyte
Zużyte
Zużyte
Zużyte
Zużyte
Zużyte
Zużyte
Zużyte
Zużyte
Zużyte
Zużyte
Zużyte
Zużyte
Zużyte
Zużyte
Zużyte
Zużyte
Zużyte
Zużyte
Zużyte
Zużyte
Zużyte
Zużyte
Zużyte
Zużyte
Zużyte
Zużyte
Zużyte
Zużyte
Zużyte
Zużyte
Zużyte
Zużyte
Zużyte
Zużyte
105
107
108
109
110
KPPSP
KPPSP
KPPSP
KPPSP
KPPSP
Miechów
Miechów
Miechów
Miechów
Miechów
KIEROWNIK
Sprzęt łączności
Sprzęt uzbrojenia i techniki
Sprzęt uzbrojenia i techniki
Sprzęt uzbrojenia i techniki
Sprzęt uzbrojenia i techniki
SEKCJI
ds. Kwate rm is trz»sk»-T e[hnig nvch
s t k p t rfig r
specjalnej
specjalnej
specjalnej
specjalnej
Radiotelefon nasobny GP-360
Kask wysokościowy
Kask wysokościowy
Trójnóg ratowniczy
W yciągarka linowa RUP-502
KOMEN'DANT'1
Państwowej S t r
uma
st. bryg. mgr inż.
Strona 4
P09D01-11-000002
P12P06-01-000001
P12P06-01-000002
P12P10-01-000001
P12P10-02-000002
IATOWY
Pożarnej
Kosiński
1 szt.
1 szt.
1 szt.
1 szt.
1 szt.
0,00
0,00
0,00
0,00
0,00
Zużyte
Zużyte
Zużyte
Zużyte
Zużyte