Europass Curriculum Vitae

Transkrypt

Europass Curriculum Vitae
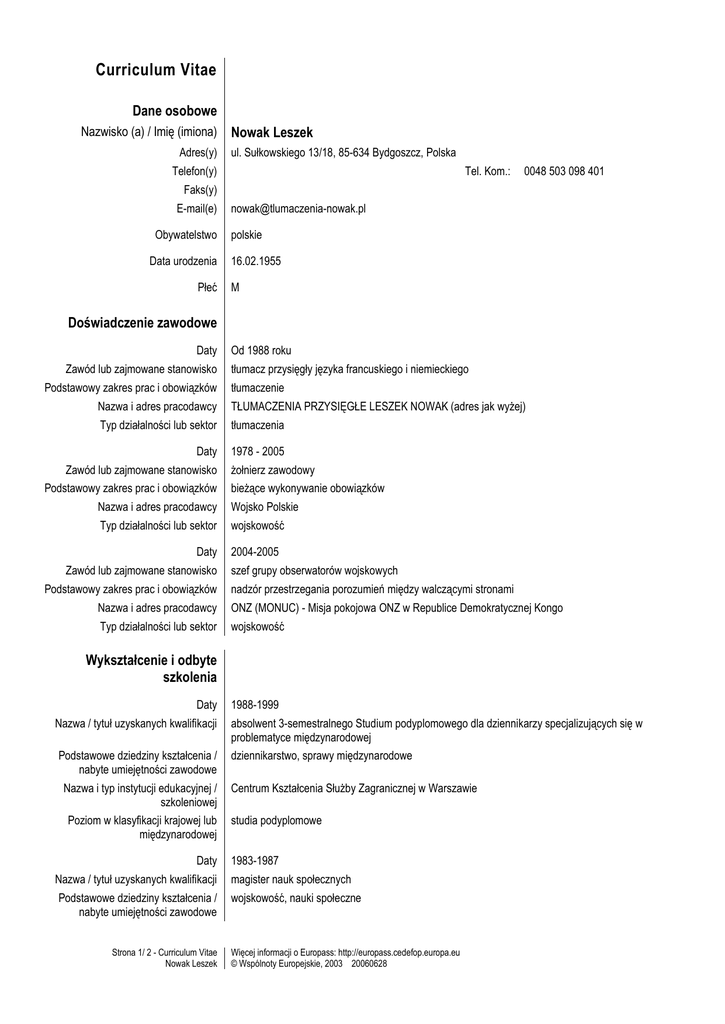
Curriculum Vitae
Dane osobowe
Nazwisko (a) / Imię (imiona)
Adres(y)
Nowak Leszek
ul. Sułkowskiego 13/18, 85-634 Bydgoszcz, Polska
Telefon(y)
Tel. Kom.:
0048 503 098 401
Faks(y)
E-mail(e)
Obywatelstwo
Data urodzenia
Płeć
[email protected]
polskie
16.02.1955
M
Doświadczenie zawodowe
Daty
Zawód lub zajmowane stanowisko
Podstawowy zakres prac i obowiązków
Od 1988 roku
tłumacz przysięgły języka francuskiego i niemieckiego
tłumaczenie
Nazwa i adres pracodawcy
TŁUMACZENIA PRZYSIĘGŁE LESZEK NOWAK (adres jak wyżej)
Typ działalności lub sektor
tłumaczenia
Daty
1978 - 2005
Zawód lub zajmowane stanowisko
Podstawowy zakres prac i obowiązków
żołnierz zawodowy
bieżące wykonywanie obowiązków
Nazwa i adres pracodawcy
Wojsko Polskie
Typ działalności lub sektor
wojskowość
Daty
Zawód lub zajmowane stanowisko
Podstawowy zakres prac i obowiązków
2004-2005
szef grupy obserwatorów wojskowych
nadzór przestrzegania porozumień między walczącymi stronami
Nazwa i adres pracodawcy
ONZ (MONUC) - Misja pokojowa ONZ w Republice Demokratycznej Kongo
Typ działalności lub sektor
wojskowość
Wykształcenie i odbyte
szkolenia
Daty
1988-1999
Nazwa / tytuł uzyskanych kwalifikacji
absolwent 3-semestralnego Studium podyplomowego dla dziennikarzy specjalizujących się w
problematyce międzynarodowej
Podstawowe dziedziny kształcenia /
nabyte umiejętności zawodowe
dziennikarstwo, sprawy międzynarodowe
Nazwa i typ instytucji edukacyjnej /
szkoleniowej
Poziom w klasyfikacji krajowej lub
międzynarodowej
Daty
Centrum Kształcenia Służby Zagranicznej w Warszawie
studia podyplomowe
1983-1987
Nazwa / tytuł uzyskanych kwalifikacji
magister nauk społecznych
Podstawowe dziedziny kształcenia /
nabyte umiejętności zawodowe
wojskowość, nauki społeczne
Strona 1/ 2 - Curriculum Vitae
Nowak Leszek
Więcej informacji o Europass: http://europass.cedefop.europa.eu
© Wspólnoty Europejskie, 2003 20060628
Nazwa i typ instytucji edukacyjnej /
szkoleniowej
Poziom w klasyfikacji krajowej lub
międzynarodowej
Daty
Akademia Wojskowa w Dreźnie
magisterium
1974-1978
Nazwa / tytuł uzyskanych kwalifikacji
magister filologii romańskiej
Podstawowe dziedziny kształcenia /
nabyte umiejętności zawodowe
literatura, historia, cywilizacja krajów kultury romańskiej
Nazwa i typ instytucji edukacyjnej /
szkoleniowej
Poziom w klasyfikacji krajowej lub
międzynarodowej
Uniwersytet im. Adama Mickiewicza w Poznaniu
magisterium
Umiejętności i kompetencje
Język(i) ojczysty(e)
Inne języki
Umiejętności i kompetencje w
zakresie obsługi komputera
Prawo jazdy
polski
francuski, niemiecki (poziom biegły), angielski, hiszpański, rosyjski (podstawowy)
Windows, Microsoft Office, SDL Trados 2014
Kategoria B
Informacje dodatkowe Wielokrotne wyjazdy do Belgii, Francji i Niemiec w ramach wykonywania obowiązków w okresie
służby wojskowej. Wielomiesięczne pobyty w Libanie i Republice Demokratycznej Kongo.
Tłumaczenie dokumentów dla firm polskich i zagranicznych
Strona 2/ 2 - Curriculum Vitae
Nowak Leszek
Więcej informacji o Europass: http://europass.cedefop.europa.eu
© Wspólnoty Europejskie, 2003 20060628