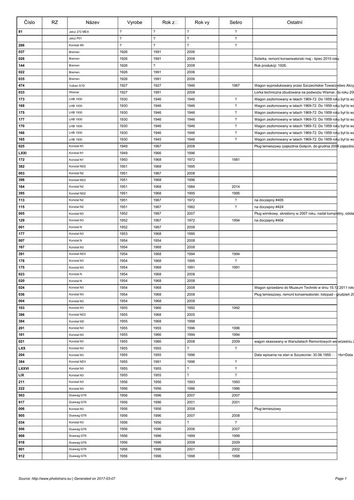
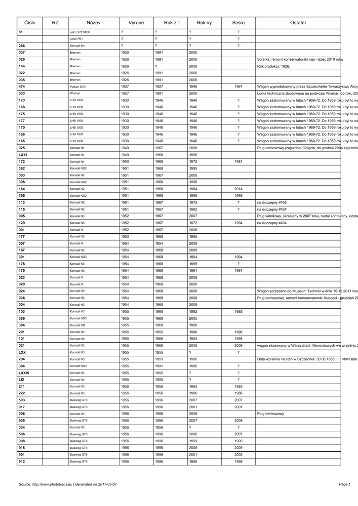
Číslo RZ Název Vyrobe Rok z Rok vy Sešro Ostatní

Transkrypt

Číslo RZ Název Vyrobe Rok z Rok vy Sešro Ostatní
Číslo
81
RZ
Název
Vyrobe
Rok z�
Rok vy
Sešro
Jelcz 272 MEX
?
?
?
?
Ostatní
Jelcz P01
?
?
?
?
286
Konstal 4N
?
?
?
?
037
Bremen
1926
1991
2006
026
Bremen
1926
1991
2008
Solarka, remont konserwatorski maj - lipiec 2010 roku
144
Bremen
1926
?
2008
Rok produkcji: 1926.
022
Bremen
1926
1991
2006
035
Bremen
1926
1991
2006
474
Vulkan S1D
1927
1927
1946
033
Wismar
1927
1991
2008
173
LHB 1930
1930
1946
1946
?
Wagon zezłomowany w latach 1969-72. Do 1959 roku był to wa
168
LHB 1930
1930
1946
1946
?
Wagon zezłomowany w latach 1969-72. Do 1959 roku był to wa
175
LHB 1930
1930
1946
1946
?
Wagon zezłomowany w latach 1969-72. Do 1959 roku był to wa
177
LHB 1930
1930
1946
1946
?
Wagon zezłomowany w latach 1969-72. Do 1959 roku był to wa
170
LHB 1930
1930
1946
1946
?
Wagon zezłomowany w latach 1969-72. Do 1959 roku był to wa
166
LHB 1930
1930
1946
1946
?
Wagon zezłomowany w latach 1969-72. Do 1959 roku był to wa
165
LHB 1930
1930
1945
1946
?
Wagon zezłomowany w latach 1969-72. Do 1959 roku był to wa
025
Konstal N1
1949
1967
2008
LXXI
Konstal N1
1949
1966
1996
172
Konstal N1
1950
1968
1972
382
Konstal ND2
1951
1968
1995
003
Konstal N2
1951
1967
2008
398
Konstal ND2
1951
1968
1996
164
Konstal N2
1951
1968
1984
2014
395
Konstal ND2
1951
1968
1995
1995
113
Konstal N2
1951
1967
1972
?
na doczepny #405
115
Konstal N2
1951
1967
1982
?
na doczepny #424
005
Konstal N3
1952
1967
2007
129
Konstal N3
1952
1967
1972
001
Konstal N
1952
1967
2008
177
Konstal N3
1953
1968
1995
007
Konstal N
1954
1954
2008
167
Konstal N3
1954
1968
2008
391
Konstal ND3
1954
1968
1994
178
Konstal N3
1954
1968
1995
?
175
Konstal N3
1954
1968
1991
1991
023
Konstal N
1954
1968
2008
020
Konstal N
1954
1968
2008
024
Konstal N3
1954
1968
2008
Wagon sprzedano do Muzeum Techniki w dniu 15.12.2011 roku
036
Konstal N3
1954
1968
2008
Pług lemieszowy, remont konserwatorski: listopad - grudzień 20
004
Konstal N3
1954
1968
2008
103
Konstal N3
1955
1966
1992
386
Konstal ND3
1955
1968
2005
384
Konstal ND
1955
1968
1998
201
Konstal N3
1955
1955
1996
1996
101
Konstal N3
1955
1966
1994
1994
021
Konstal N3
1955
1966
2008
2009
LXX
Konstal N3
1955
1955
?
204
Konstal N3
1955
1955
1996
384
Konstal ND3
1955
1991
1996
?
LXXVI
Konstal N3
1955
1955
?
?
LIX
Konstal N3
1955
1955
?
211
Konstal N3
1956
1956
1993
1993
222
Konstal N3
1956
1956
1986
1986
503
Duewag GT6
1956
1996
2007
2007
917
Duewag GT6
1956
1996
2001
2001
006
Konstal N3
1956
1956
2008
905
Duewag GT6
1956
1996
2007
034
Konstal N3
1956
1956
?
506
Duewag GT6
1956
1996
2006
2007
908
Duewag GT6
1956
1996
1999
1999
918
Duewag GT6
1956
1996
2008
2009
901
Duewag GT6
1956
1996
2001
2002
912
Duewag GT6
1956
1996
1998
1998
Source: http://www.phototrans.eu | Generated on 2017-03-07
1967
Wagon wyprodukowany przez Szczecińskie Towarzystwo Akcy
Lorka techniczna zbudowana na podwoziu Wismar, do roku 200
Pług lemieszowy (zajezdnia Golęcin, do grudnia 2004 zajezdnia
1981
Pług wirnikowy, skreślony w 2007 roku, nadal kompletny, odsta
1994
na doczepny #404
1994
1992
wagon skasowany w Warsztatach Remontowych we wrześniu 2
?
Data wpisania na stan w Szczecinie: 30.06.1955
<br>Data
?
Pług lemieszowy
2008
?
Page 1
909
Duewag GT6
1956
1996
2000
2000
298
Konstal 4N
1956
1968
1993
1993
223
Konstal N3
1956
1956
1994
224
Konstal N3
1956
1956
1995
296
Konstal 4N
1956
1966
1996
?
913
Duewag GT6
1956
1996
2000
2000
915
Duewag GT6
1956
1996
2008
2013
227
Konstal N3
1956
1956
1992
1992
226
Konstal N3
1956
1956
1993
1993
212
Konstal N3
1956
1956
1995
1995
207
Konstal N3
1956
1956
1996
1996
216N
Konstal N3
1956
1956
2008
208
Konstal N3
1956
1956
1996
1996
210
Konstal N3
1956
1956
1991
1991
916
Duewag GT6
1956
1996
2002
2002
213
Konstal N3
1956
1956
1994
1994
214
Konstal N3
1956
1956
1994
1994
217
Konstal N3
1956
1956
1994
1994
218
Konstal N3
1956
1956
1993
1993
219
Konstal N3
1956
1956
1992
1992
206
Konstal N3
1956
1956
1993
1993
220
Konstal N3
1956
1956
1984
1984
221
Konstal N3
1956
1956
1993
1993
225
Konstal N3
1956
1956
1994
1994
501
Duewag GT6
1957
1996
2001
2001
507
Duewag GT6
1957
1996
1999
1999
234
Konstal 4N
1957
1957
1995
1995
233
Konstal 4N
1957
1957
1996
1996
232
Konstal 4N
1957
1957
1995
1995
292
Konstal 4N1
1957
1965
1994
1994
297
Konstal 4N1
1957
1968
1995
1995
910
Duewag GT6
1957
1996
2008
2009
Zezłomowany w grudniu 2009 roku
904
Duewag GT6
1957
1996
2008
2009
Wagon zezłomowany w grudniu 2009 roku
295
Konstal 4NJ
1957
1966
1996
911
Duewag GT6
1957
1996
2008
2009
228
Konstal 4N
1957
1957
1991
1991
229
Konstal 4N
1957
1957
1996
1996
230
Konstal 4N
1957
1957
1996
2000
513
Duewag GT6
1957
1996
2003
2003
231
Konstal 4N
1957
1957
1996
2000
508
Duewag GT6
1957
1996
2006
2007
902
Duewag GT6
1957
1996
2005
2007
505
Duewag GT6
1957
1996
2001
2001
552
Duewag l
1957
1997
2004
2004
554
Duewag l
1957
1997
1999
1999
551
Duewag l
1957
1997
2003
906
Duewag GT6
1957
1996
2007
2008
553
Duewag l
1957
1997
2002
2002
512
Duewag GT6
1957
1996
2008
2010
502
Duewag GT6
1957
1996
2001
2001
Duewag GT6
1958
1996
2004
244
Konstal 4N1
1958
1958
1984
1984
289
Konstal 4N1
1958
1965
1984
1984
245
Konstal 4N1
1958
1958
1996
?
247
Konstal 4N1
1958
1958
1976
027
Konstal 4N1
1958
1958
2008
235
Konstal 4N1
1958
1958
1995
?
002
Konstal 4N1
1958
1958
2005
2005
237
Konstal 4N1
1958
1958
1995
1995
509
Duewag GT6
1958
1996
2008
2009
511
Duewag GT6
1958
1996
2001
2001
238
Konstal 4N1
1958
1958
1994
1994
239
Konstal 4N1
1958
1958
1996
1996
240
Konstal 4N1
1958
1958
1994
1994
343
Konstal 4ND1
1958
1958
2008
903
Duewag GT6
1958
1996
2000
Source: http://www.phototrans.eu | Generated on 2017-03-07
Data wpisania na stan w Szczecinie: 20.12.1956 <br> Data skre
?
1969 podmiana z 230
1969 podmiana z #234
Wagon historyczny, remont: październik - listopad 2009
przebudowany na doczepę #420
2000
Page 2
919
Duewag GT6
1958
1996
2008
241
Konstal 4N1
1958
1958
1968
242
Konstal 4N1
1958
1958
1976
?
510
Duewag GT6
1958
1996
2008
2008
504
Duewag GT6
1958
1996
2002
2002
246
Konstal 4N1
1958
1958
1975
288
Konstal 4N1
1958
1965
1984
1984
914
Duewag GT6
1958
1996
1999
1999
Nie wszedł do eksploatacji
290
Konstal 4N1
1958
1965
1988
294
Konstal 4N1
1958
1965
1994
1994
podtyp 4N2
243
Konstal 4N1
1958
1958
1996
1996
907
Duewag GT6
1958
1996
2002
2002
258
Konstal 4N1
1959
1959
1996
264
Fictitious vehicles
1959
1959
1996
249
Konstal 4N1
1959
1959
1976
361
Konstal 4ND1
1959
1959
1996
251
Konstal 4N1
1959
1959
1976
250
Konstal 4N1
1959
1959
1976
?
254
Konstal 4N1
1959
1959
1991
1991
032
Konstal 4N1
1959
1959
2005
256
Konstal 4N1
1959
1959
1991
257
Konstal 4N1
1959
1959
1999
262
Konstal 4N1
1959
1959
1991
1991
269
Konstal 4N1
1959
1959
1995
1995
267
Konstal 4N1
1959
1959
1996
?
264
Konstal 4N1
1959
1959
1996
261
Konstal 4N1
1959
1959
1992
1992
266
Konstal 4N1
1959
1959
1992
1992
265
Konstal 4N1
1959
1959
1975
268
Konstal 4N1
1959
1959
1996
1996
259
Konstal 4N1
1959
1959
1994
1994
260
Konstal 4N1
1959
1959
1995
?
252
Konstal 4N1
1959
1959
1985
1985
253
Konstal 4N1
1959
1959
1991
1991
951
Duewag B4
1960
1996
2000
2000
952
Duewag B4
1960
1996
2001
2001
LXXVIII
Konstal 4N1
1960
1960
?
272
Konstal 4N1
1960
1960
1994
1994
270
Konstal 4N1
1960
1960
1991
1991
954
Duewag B4
1960
1997
2000
2000
274
Konstal 4N1
1960
1960
1992
1992
271
Konstal 4N1
1960
1960
1996
?
276
Konstal 4N1
1960
1960
1994
1994
279
Konstal 4N1
1960
1960
1991
1991
277
Konstal 4N1
1960
1960
1992
1992
278
Konstal 4N1
1960
1960
1985
1985
955
Duewag m
1960
1997
1999
1999
275
Konstal 4N1
1960
1960
1992
1992
370
Konstal 4ND1
1961
1961
1996
953
Duewag B4
1961
1997
2003
369
Konstal 4ND1
1961
1961
1996
956
Duewag B4
1961
1996
1999
Duewag GT6ZR
1961
1996
?
280
Konstal 4N1
1961
1961
1996
291
Konstal 4N1
1961
1965
1986
Remont wagonu, połączony z odtworzeniem "lewych" drzwi, prz
041
Konstal 4N1
1962
1962
2008
od 1996 gospodarczy
286
Konstal 4N1
1962
1962
2003
283
Konstal 4N1
1962
1962
1996
1996
284
Konstal 4N1
1962
1962
1994
1994
281
Konstal 4N1
1962
1962
1996
1996
285
Konstal 4N1
1962
1962
1996
1996
293
Konstal 4N1
1962
1965
2008
282
Konstal 4N1
1962
1962
1996
98
Jelcz 272 MEX
1965
1965
?
954
Duewag B4
1966
1996
1999
1999
Nie wszedł do eksploatacji
610
Konstal 102Na
1969
1995
2007
2007
1981 przebudowany z 102N #2002, 1994 przebudowa w MZNT
Source: http://www.phototrans.eu | Generated on 2017-03-07
1968
przebudowany na doczepę #413
1995 podmiana z #231
?
?
1991
po wycofaniu jako altanka w ogródku piwnym
przebudowany na doczepę #412
?
Nie wszedł do eksploatacji
Z ruchu liniowego wycofany w 2001 roku, w 2003 roku przekaza
Na historyczny
?
1996
Od 03.2007 przebywa na Wydziale Napraw Taboru, na historyc
?
?
Page 3
611
Konstal 102Na
1969
1995
2007
2007
61
San H100B
1969
1969
1974
1974
601
Konstal 102Na
1971
1994
2007
2007
602
Konstal 102Na
1971
1971
1990
1990
603
Konstal 102Na
1971
1971
1991
1991
610
Konstal 102Na
1971
1971
1989
1989
606
Konstal 102Na
1971
1971
2008
604
Konstal 102Na
1971
1971
2006
605
Konstal 102Na
1971
1971
1990
1990
601
Konstal 102Na
1971
1971
1991
1991
607
Konstal 102Na
1971
1971
1991
1991
609
Konstal 102Na
1971
1971
2007
2007
608
Konstal 102Na
1971
1971
2007
2007
620
Konstal 102Na
1972
1972
2007
2007
627
Konstal 102Na
1972
1972
1991
1991
611
Konstal 102Na
1972
1972
1990
1990
621
Konstal 102Na
1972
1972
1992
1992
622
Konstal 102Na
1972
1972
2004
2004
628
Konstal 102Na
1972
1991
2006
2007
619
Konstal 102Na
1972
1972
2007
2007
624
Konstal 102Na
1972
1972
2006
2007
626
Konstal 102Na
1972
1972
2004
2004
618
Konstal 102Na
1972
1972
1991
1991
623
Konstal 102Na
1972
1972
1990
1990
625
Konstal 102Na
1972
1972
2007
2007
612
Konstal 102Na
1972
1972
2007
2007
614
Konstal 102Na
1972
1972
1991
1991
613
Konstal 102Na
1972
1972
1991
1991
617
Konstal 102Na
1972
1972
2007
2007
629
Konstal 102Na
1972
1972
2007
2007
616
Konstal 102Na
1972
1972
1987
1987
615
Konstal 102Na
1972
1972
2006
2006
630
Konstal 102Na
1972
1972
2006
2006
Wagon skasowano pod koniec listopada 2006 roku.
602
Konstal 803N
1973
1994
2007
2007
17.01.2007 wycofany z eksploatacji, 03.02.2007 przeholowany
605
Konstal 102Na
1974
1994
2006
2006
ex 803N
607
Konstal 102Na
1974
1994
2005
2005
ex toruńska 803N
603
Konstal 102Na
1974
1994
2007
2009
ex Toruń 803N, skasowany 22 maja 2009
1048
Konstal 105Na
1975
1975
2008
633
Konstal 105N
1975
1991
1997
640
Konstal 105N
1975
1975
2008
636
Konstal 105N
1975
1975
1997
635
Konstal 105NaD
1975
1975
2000
638
Konstal 105Na
1975
1975
2000
632
Konstal 105N
1975
1975
2008
2013
Kasacja 2013r
637
Konstal 105N
1975
1975
2008
2013
Kasacja 2013r
643
Konstal 105N
1975
1975
2008
2013
Kasacja 2013r
1052
Konstal 105N
1975
1975
2008
2013
Kasacja 2013r
631
Konstal 105N
1975
1991
2008
2011
639
Konstal 105N
1975
1975
2008
2011
641
Konstal 105N
1975
1975
2008
2011
647
Konstal 105N
1976
1976
2008
2011
Kasacja: marzec 2011.
667
Konstal 105N
1976
1976
2008
2011
Kasacja: marzec 2011.
671
Konstal 105N
1976
1976
2008
2011
649
Konstal 105N
1976
1976
1978
1978
661
Konstal 105N
1976
1991
2001
2001
666
Konstal 105N
1976
1976
2008
2012
665
Konstal 105Na
1976
1976
2000
645
Konstal 105NaD
1976
1976
2000
663
Konstal 105N
1976
1976
2008
2009
659
Konstal 105N
1976
1976
1986
1986
670
Konstal 105N
1976
1976
2008
2011
1059
Konstal 105N
1976
1976
2008
2011
669
Konstal 105N
1976
1991
1998
1998
673
Konstal 105N
1976
1977
2008
2011
668
Konstal 105N
1976
1976
2008
2011
650
Konstal 105N
1976
1976
2008
2011
Source: http://www.phototrans.eu | Generated on 2017-03-07
Przebudowany w 1995 r. z wagonu 102N ex-Wrocław 2105
Wagon wycofany z ruchu liniowego w 2004 roku, 2005 - remont
Wycofany z eksploatacji dnia 22 lutego 2007 roku.
skreślony w Czerwcu 2013 (zezłomowany -> Lubicz k.Torunia)
1997
Skreślony w sierpniu 2013, przeznaczony na ćwiczenia strażac
1997
2000 - nowe pudło 02/P 105NaD
2000 - nowe pudło 02/S
Przerwa w eksploatacji 27.06.2011 - 22.08.2011.
2000 - nowe pudło 04/S
2000 - nowe pudło 04/P 105NaD
Wycofany z eksploatacji i skasowany w marcu 2011.
Wagon skasowany w Wydziale Remontowym TS 4 lutego 2011
Page 4
656
Konstal 105N
1976
1976
2008
2013
1039
Konstal 105Na
1976
1994
2000
2000
646
Konstal 105N
1976
1976
2008
2012
Przerwa w eksploatacji 27.06.2011 - 22.08.2011.
1047
Konstal 105Na
1976
1976
2008
2013
skreślony w Czerwcu 2013 (zezłomowany -> Lubicz k.Torunia)
STAR A-28 SWN-11
1976
1991
2008
648
Konstal 105N
1976
1976
2008
653
Konstal 105N
1976
1991
1997
1997
655
Konstal 105Na
1976
1976
2008
2015
644
Konstal 105N
1976
1976
2008
2010
600
Konstal 105N
1976
1976
2002
2002
660
Konstal 105N
1976
1976
2008
2009
664
Konstal 105N
1976
1976
2005
2005
651
Konstal 105N
1976
1976
2008
2009
Skasowany w Wydziale Napraw Taboru w dniach 6-10 kwietnia
1051
Konstal 105N
1976
1976
2008
2013
Kasacja 2013r
658
Konstal 105N
1976
1976
2008
2013
Kasacja 2013r
652
Konstal 105N
1976
1976
2008
2013
Kasacja 2013r
676
Konstal 105NaD
1977
1977
2000
2012
2000 - nowe pudło 03/P,[2000] 105NaD
682
Konstal 105N
1977
1977
2008
2011
Wagon skasowany w Wydziale Remontowym TS 11 lutego 201
675
Konstal 105N
1977
1977
2008
677
Konstal 105N
1977
1977
2008
1049
Konstal 105Na
1977
1977
2008
698
Konstal 105N
1977
1977
2008
2010
W ruchu do 23 lipca 2010 roku, zezłomowany 10 listopada 2010
1043
Konstal 105N
1977
1994
2008
2011
Skreślony ze stanu w dniu 19.11.2010.
Ostatni wyjazd liniow
1037
Konstal 105N
1977
1994
2008
2010
Skreślony ze stanu w dniu 19.11.2010, zezłomowany 16.12.201
1038
Konstal 105N
1977
1994
2008
2010
Skreślony ze stanu w dniu 19.11.2010
672
Konstal 105N
1977
1994
2008
2011
694
Konstal 105N
1977
1977
1999
1999
1050
Konstal 105N
1977
1977
2008
697
Konstal 105N
1977
1977
1981
1981
678
Konstal 105N
1977
1977
2008
2013
1045
Konstal 105Na
1977
1977
2008
691
Konstal 105N
1977
1977
2008
2011
693
Konstal 105N
1977
1977
1999
1999
690
Konstal 105N
1977
1977
2008
2011
Konstal 105N
1977
1994
1995
1995
689
Konstal 105Na
1977
1977
2008
2012
674
Konstal 105N
1977
1977
2008
2012
696
Konstal 105N
1977
1977
2008
2008
684
Konstal 105N
1977
1977
2008
2008
1060
Konstal 105N
1977
1977
2008
2011
Wycofany z eksploatacji i skasowany w marcu 2011.
685
Konstal 105N
1977
1977
2008
2010
Ostatni remont bieżący: 12.1997, wagon skasowany 16 lipca 20
688
Konstal 105N
1977
1977
2008
2010
Ostatnia naprawa bieżąca: grudzień 1997 roku, kasacja: lipiec 2
692
Konstal 105N
1977
1977
2008
2010
W ruchu do 2 kwietnia 2010, skasowany 30 kwietnia 2010 w Wa
1046
Konstal 105N
1977
1977
2008
683
Konstal 105N
1977
1977
2008
695
Konstal 105N
1977
1977
2008
711
Konstal 105N
1978
1978
1982
1042
Konstal 105N
1978
1994
2008
1029
Konstal 105Na
1978
1978
2008
589
Konstal 105N
1978
1991
2007
1030
Konstal 105Na
1978
1978
2008
709
Konstal 105Na
1978
1978
2008
1044
Konstal 105N
1978
1994
2008
2011
710
Konstal 105N
1978
1978
2002
2002
706
Konstal 105Na
1978
1978
2008
713
Konstal 105N
1978
1978
2008
1016
Konstal 105N
1978
1978
1997
1997
705
Konstal 105Na
1978
1978
2008
2012
1041
Konstal 105N
1978
1994
2008
701
Konstal 105N
1978
1978
2008
716
Konstal 105N
1978
1978
2008
2010
707
Konstal 105N
1978
1978
2008
2009
712
Konstal 105N
1978
1978
2008
2008
588
Konstal 105N
1978
1978
2008
2011
702
Konstal 105N
1978
1978
2008
2011
708
Konstal 105N
1978
1978
2008
2009
160
ZS 43264
Source: http://www.phototrans.eu | Generated on 2017-03-07
NB - luty/maj 2009, skreślony w Czerwcu 2013 (zezłomowany -
Skreślony w sierpniu 2013, przeznaczony na ćwiczenia strażac
Wagon w ruchu do 2 kwietnia 2010, skasowany 11 maja 2010 r
Pożar 15 grudnia 2008, kasacja: kwiecień 2009
Przerwa w eksploatacji 27.06.2011 - 22.08.2011. Ostatnia
2010
W ruchu do 23 lipca 2010 roku, kasacja: 19 listopad 2010.
skreślony ze stanu dnia 01.12.2014
skreślony ze stanu dnia 01.12.2014
Kasacja 2013r
skreślony w Czerwcu 2013 (zezłomowany -> Lubicz k.Torunia)
w 1994 sprzedany do Szczecina na części
Przerwa w eksploatacji 27.06.2011 - 22.08.2011. Ostatnia
skreślony w Czerwcu 2013 (zezłomowany -> Lubicz k.Torunia)
2011
NB - luty/maj 2009, skreślony w Czerwcu 2013 (zezłomowany 1982
Wycofany w marcu 2012.
skreślony w Czerwcu 2013 (zezłomowany -> Lubicz k.Torunia)
2007
skreślony w Czerwcu 2013 (zezłomowany -> Lubicz k.Torunia)
sprzedany w kwietniu 2014 (zezłomowany -> Lubicz k.Torunia)
Skreślony ze stanu w dniu 19.11.2010.
Ostatni wyjazd liniow
sprzedany w kwietniu 2014 (zezłomowany -> Lubicz k.Torunia)
Po wypadku w 1996 roku
Wycofany w marcu 2012.
Wagon zezłomowany w styczniu 2010 roku, podmieniony na sz
Page 5
715
Konstal 105N
1978
1978
1991
1991
722
Konstal 105N
1979
1979
2007
2007
Wagon skasowany w dniu 24 lipca 2007 roku.
724
Konstal 105Na
1979
1979
2008
2015
Odstawiony 20 sierpnia 2009, przeznaczony do złomowania, je
725
Konstal 105N
1979
1979
2008
2010
W ruchu do 16 czerwca 2010 roku, kasacja 15 październik 2010
718
Konstal 105N
1979
1979
2008
2010
720
Konstal 105N
1979
1979
2008
717
Konstal 105N
1979
1979
2008
2010
721
Konstal 105N
1979
1979
1993
1993
726
Konstal 105N
1979
1979
2008
2010
719
Konstal 105N
1979
1979
2008
2009
1039
Konstal 105N
1979
1979
2008
2008
1040
Konstal 105N
1979
1979
2008
2008
723
Konstal 105N
1979
1979
2008
2010
Ursus C-385
1980
1991
1999
736
Konstal 105Na
1981
1981
2008
733
Konstal 105Na
1981
1981
2008
744
Konstal 105Na
1981
1981
2008
sprzedany w kwietniu 2014 (zezłomowany -> Lubicz k.Torunia)
741
Konstal 105Na
1981
1981
2008
sprzedany w kwietniu 2014 (zezłomowany -> Lubicz k.Torunia)
735
Konstal 105Na
1981
1981
2008
zezłomowany -> Lubicz k.Torunia
737
Konstal 105Na
1981
1981
2008
sprzedany w kwietniu 2014 (zezłomowany -> Lubicz k.Torunia)
1031
Konstal 105Na
1981
1981
2008
LXXV
Konstal 105Na
1981
1981
1999
732
Konstal 105Na
1981
1981
2008
742
Konstal 105Na
1981
1981
738
Konstal 105Na
1981
1981
1034
Konstal 105Na
1981
1981
2008
14.09.2015 wywieziony do Lubicza koło Torunia.
746
Konstal 105Na
1981
1981
2000
podmiana pudła
745
Konstal 105Na
1981
1981
2008
2000 nowe pudło (3-drzwiowe)
739
Konstal 105Na
1981
1981
2008
240
SZB 413G
Odstawiony 20 sierpnia 2009, zezłomowany 12 stycznia 2010 r
sprzedany w kwietniu 2014 (zezłomowany -> Lubicz k.Torunia)
skreślony w Czerwcu 2013 (zezłomowany -> Lubicz k.Torunia)
1999
Wóz gospodarczy
1999
1999
Wypadek z 757
2006
2006
Konstal 105Na
1981
1981
2008
2351
KAX 880Y
Ikarus 280.26
1982
1991
1998
141
ZS 50152
Ikarus 280.26
1982
1991
2008
736
SZE 849G
Ikarus 280.26
1982
1991
1997
1998
1
SZE 245B
Ikarus 280.26
1982
1991
1991
?
18
SZE 248B
Ikarus 280.26
1982
1991
1998
?
282
SZE 846E
Ikarus 280.26
1982
1991
1998
1999
2251
KBB 813R
Ikarus 280.26
1982
1991
1998
25
SZE 761N
Ikarus 280.26
1982
1991
1992
153
ZS 2591H
STAR A-28 SWN-11
1982
1991
2008
2
SZE 244B
Ikarus 280.26
1982
1991
1998
158
ZS 2189P
Star 200 P183
1982
1991
2008
280
SZE 844E
Ikarus 280.26
1982
1991
1996
1996
732
SZE 249B
Ikarus 280.26
1982
1991
1997
1998
731
SZE 243B
Ikarus 280.26
1982
1991
1997
1998
739
SCA 243G
Ikarus 280.26
1983
1991
1997
1998
250
KBB 811R
Ikarus 280.26
1983
1991
1998
297
SZE 420G
Ikarus 280.26
1983
1991
1998
300
KBP 5679
Ikarus 280.26
1983
1991
1998
246
SZE 477G
734
W ruchu do 16 czerwca 2010 roku, kasacja 22 październik 2010
Ikarus 280.26
1983
1991
1994
747
Konstal 105Na
1983
1983
2008
748
Konstal 105Na
1983
1983
2008
zezłomowany -> Lubicz k.Torunia
2001
3.04.1991 >> LZNS.
sprzedany do KZNS
1998
sprzedany do KZNS
1994
sprzedany w kwietniu 2014 (zezłomowany -> Lubicz k.Torunia)
Konstal 105Na
1983
1984
2008
198
SZE 455G
Ikarus 280/A
1983
1995
1999
2004
296
SZE 419G
Ikarus 280.26
1983
1991
1998
?
263
SZE 349E
Ikarus 280.26
1983
1991
1995
w 1995 przebudowany na pogotowie Ik280/A #199
199
SZE 349E
Ikarus 280.26
1983
1995
1999
przebudowany w 1995 roku z przegubowca #263 (zaj. Dąbie)
Konstal 105Na
1983
1983
2008
011
750
SZE 411G
Ikarus 280.26
1983
1991
1997
1998
740
ZPL H821
Ikarus 280/A
1983
1991
1997
2008
Konstal 105Na
1983
1983
2008
2016
110
KAX 965Y
Ikarus 280.26
1983
1991
1998
303
SZE 414G
Ikarus 280.26
1983
1991
1999
2004
293
SZE 416G
Ikarus 280.26
1983
1991
1999
2002
254
KAX 891Y
Ikarus 280.26
1983
1991
1998
2001
284
DW 17867
Ikarus 280.26
1983
1991
1998
2006
Konstal 105Na
1983
1983
2008
751
Source: http://www.phototrans.eu | Generated on 2017-03-07
sprzedany do KZNS
zezłomowany -> Lubicz k.Torunia
735
749
przebudowany w 1995 roku z ikarusa 280.26 #120
ex 280.26
z końcem lipca 2008 zastąpiony przez przebudow
ex Szczecin, po wypadku latem 1999 człon B przepięty z #1442
14.09.2015 wywieziony do Lubicza koło Torunia.
Page 6
121
STA C458
Ikarus 280.26
1983
1991
1999
2003
120
SZE 455G
Ikarus 280.26
1983
1991
1995
2004
252
?
Ikarus 280.26
1983
1991
1998
255
SZE 468G
Ikarus 280.26
1983
1991
1999
116
SZE 373E
Ikarus 280.26
1983
1983
?
734
SZE 341E
Ikarus 280.26
1983
1991
1996
1996
738
SZE 459G
Ikarus 280.26
1983
1991
1997
1997
737
SZE 481G
Ikarus 280.26
1983
1991
1997
1998
73
Ikarus 280.26
1984
1991
1999
?
762
Konstal 105Na
1984
1984
2008
sprzedany do KZNS
2002
?
Jelcz PR110M
1984
1991
1993
Konstal 105Na
1984
1984
2008
755
Konstal 105Na
1984
1984
2008
STA V879
Ikarus 280.26
1984
1991
1999
2011
KAX 889Y
Ikarus 280.26
1984
1991
1998
2001
758
Konstal 105Na
1984
1991
2008
766
Konstal 105Na
1984
1984
2008
Konstal 105Na
1984
1984
2008
Ikarus 280.26
1984
1991
1998
2001
754
Konstal 105Na
1984
1984
2008
2016
753
Konstal 105Na
1984
1984
2008
zezłomowany -> Lubicz k.Torunia
756
Konstal 105Na
1984
1984
2008
zezłomowany -> Lubicz k.Torunia
759
Konstal 105Na
1984
1984
2008
2000 nowe pudło (3-drzwiowe)
763
Konstal 105Na
1984
1984
2008
77
757
KAX 961Y
Konstal 105Na
1984
1984
2008
733
SZE 188P
Ikarus 280.26
1984
1991
1997
313
KBP 5680
Ikarus 280.26
1984
1991
1998
2451
SZE 170P
Ikarus 280.26
1984
1991
1998
765
Konstal 105Na
1984
1984
2008
761
Konstal 105Na
1984
1984
2008
752
?
29.11.1983: Wpisanie na stan Zajezdni Klonowica.
27.04.19
760
174
SZA 117K
przebudowany w 1995 roku na pogotowie techniczne #198
174-II. 24.11.1993: sprzedany do: Z. Kropiwiec (Szczecin).
skreślony w Czerwcu 2013 (zezłomowany -> Lubicz k.Torunia)
NG 2003 Kapena; silnik D10; kasacja 27.07.2011 (Olmet Tarno
2000 nowe pudło (3-drzwiowe)
Przenumerowanie 752 -> 012 - 11.03.2011
1998
sprzedany do KZNS
2013
Kasacja w listopadzie/grudniu 2013.
skreślony w Czerwcu 2013 (zezłomowany -> Lubicz k.Torunia)
711
ZPL F151
Ikarus 280.26
1985
1991
1997
2006
2514
SZD 859C
Jelcz M11
1985
1991
1999
2002
2512
SCW 6718
Jelcz M11
1985
1991
1999
2000
2515
SZD 861C
Jelcz M11
1985
1991
1999
2000
712
SZD 811S
Ikarus 280.26
1985
1991
1997
1999
2513
KBG 648U
Jelcz M11
1985
1991
1998
2003
620
ZPL T620
Jelcz M11
1985
1991
1997
2003
622
SZE 791B
Jelcz M11
1985
1991
1993
1993
625
ZPL P002
Jelcz M11
1985
1991
1997
2005
707
SZD 817S
Ikarus 280.26
1985
1991
1995
623
SZE 798B
Jelcz M11
1985
1991
1993
1993
624
SZE 799B
Jelcz M11
1985
1991
1997
1997
626
SZE 796B
Jelcz M11
1985
1991
1997
1999
1502
SZE 800B
Jelcz M11
1985
1991
1993
?
716
ZPL C282
Ikarus 280.26
1985
1991
1997
2004
714
SCA 590G
Ikarus 280.26
1985
1991
1997
2001
Tatra KT4Dt
1985
2006
2008
Ikarus 280.26
1985
1991
1997
Tatra KT4Dt
1985
2006
2008
Jelcz M11
1985
1991
1997
Tatra KT4Dt
1985
2006
2008
Ikarus 280.26
1985
1991
1996
Tatra KT4Dt
1985
2006
2008
Jelcz M11
1985
1991
1997
102
Tatra KT4Dt
1985
2006
2008
1016
Konstal 105Na
1985
1985
2008
101
Tatra KT4Dt
1985
2006
2008
modernization # 883/021
112
Tatra KT4Dt
1985
2006
2008
modernization # 883/038
111
Tatra KT4Dt
1985
2006
2008
modernization # 883/039
104
Tatra KT4Dt
1985
2006
2008
modernization # 883/018
103
Tatra KT4Dt
1985
2006
2008
modernization # 883/017
1015
Konstal 105Na
1985
1985
2008
109
715
ZPL C141
108
619
SML 9584
110
704
SPI 96FA
107
621
SZE 797B
modernization # 883/036
2005
modernization # 883/035
2002
modernization # 883/037
2011
modernization # 883/024
2001
modernization # 883/022
2502
SCA 912E
Jelcz M11
1985
1991
1999
2006
632
SZD 858C
Jelcz M11
1985
1991
1993
?
2502
SCA 912E
Jelcz M11
1985
1991
1999
Tatra KT4Dt
1985
2007
2008
120
Source: http://www.phototrans.eu | Generated on 2017-03-07
Odstawiony od 2009 roku.<br>
Status rejestracji: wyrejestro
15.01.2007 MZK; modernization # 883/023
Page 7
Ikarus 280.26
1985
1991
1997
2002
768
Konstal 105Na
1985
1985
2008
2013
Kasacja 2013r
767
Konstal 105Na
1985
1985
2008
2013
Kasacja 2013r
710
SZD 809S
709
ZPL J181
Ikarus 280.26
1985
1991
1997
2006
701
ZPL P919
Ikarus 280.26
1985
1991
1997
2005
702
SZD 821S
Ikarus 280.26
1985
1991
1997
1997
703
SZD 820S
Ikarus 280.26
1985
1991
1997
1997
713
ZPL H369
Ikarus 280.26
1985
1991
1997
2003
708
ZPL E345
Ikarus 280.26
1985
1991
1997
2005
142
ZS 68366
Ikarus 280/A
1985
1991
2008
628
SZE 793B
Jelcz M11
1985
1991
1993
?
2510
SZA 553Z
Jelcz M11
1985
1991
1999
2002
705
SZD 818S
?
Ikarus 280.26
1986
1991
1994
1033
Konstal 105Na
1986
1986
2008
14.09.2015 wywieziony do Lubicza koło Torunia.
118
Tatra KT4Dt
1986
2006
2008
modernization # 883/048
117
Tatra KT4Dt
1986
2006
2008
Ikarus 280.26
1986
1991
1997
106
Tatra KT4Dt
1986
2006
2008
modernization # 883/046
105
Tatra KT4Dt
1986
2006
2008
modernization # 883/045
116
Tatra KT4Dt
1986
2006
2008
modernization # 883/044
115
Tatra KT4Dt
1986
2006
2008
modernization # 883/043
114
Tatra KT4Dt
1986
2007
2008
modernization # 883/042
121
Tatra KT4Dt
1986
2007
2008
modernization # 883/041
113
Tatra KT4Dt
1986
2006
2008
729
ZPL S535
modernization # 883/047
2006
modernization # 883/040
353
SZC 823V
Jelcz M11
1986
1991
1999
354
SZC 299Z
Jelcz M11
1986
1991
1999
?
355
SZC 300Z
Jelcz M11
1986
1991
1999
2002
356
SZC 818V
Jelcz M11
1986
1991
1999
2007
351
SZC 817V
Jelcz M11
1986
1991
1997
?
553
SZC 468U
Jelcz M11
1986
1991
1997
1997
1606
SZC 927V
Jelcz M11
1986
1991
1996
1996
2604
SCW 4279
Jelcz M11
1986
1991
1997
?
662
SZC 483U
Jelcz M11
1986
1991
1996
1996
663
SZC 485U
Jelcz M11
1986
1991
1996
1996
1605
SZC 486U
Jelcz M11
1986
1991
1993
1993
1602
SZC 387V
Jelcz M11
1986
1991
1999
1999
1603
SZC 388V
Jelcz M11
1986
1991
1993
1993
2605
SZC 481U
Jelcz M11
1986
1991
1998
?
650
SZC 380V
Jelcz M11
1986
1991
1993
1993
2603
SZC 382V
Jelcz M11
1986
1991
1993
1993
1601
STA G885
Jelcz M11
1986
1991
1999
2004
661
SZC 482U
Jelcz M11
1986
1991
1997
1999
641
SZA 124P
Jelcz M11
1986
1991
1993
1993
644
SZA 127P
Jelcz M11
1986
1991
1995
1995
648
SZA 770P
Jelcz M11
1986
1991
1993
1993
636
SZD 749C
Jelcz M11
1986
1991
1997
2000
637
SZD 713C
Jelcz M11
1986
1991
1997
1999
638
SZD 714C
Jelcz M11
1986
1991
1997
2003
639
SZD 715C
Jelcz M11
1986
1991
1997
2000
640
SZA 123P
Jelcz M11
1986
1991
1997
2002
643
SZA 126P
Jelcz M11
1986
1991
1997
1999
645
SCA 961E
Jelcz M11
1986
1991
1997
2002
646
SZA 768P
Jelcz M11
1986
1991
1997
2001
647
SMA 2209
Jelcz M11
1986
1991
1997
2001
649
SZC 379V
Jelcz M11
1986
1991
1997
1997
655
ZPL W737
Jelcz M11
1986
1991
1997
2007
2602
SZC 386V
Jelcz M11
1986
1986
1999
2601
SZC 383V
Jelcz M11
1986
1991
1999
2004
728
ZPL F585
Ikarus 280.26
1986
1991
1997
2006
665
ZPL N066
Jelcz M11
1986
1991
1997
2005
1604
SZC 389V
Jelcz M11
1986
1991
1999
?
730
ZPL C292
Ikarus 280.26
1986
1991
1997
2005
1061
Konstal 105Na
1986
1986
2008
2011
Wycofany z eksploatacji w czerwcu 2011.
1062
Konstal 105Na
1986
1986
2008
2011
Wycofany z eksploatacji w czerwcu 2011.
772
Konstal 105Na
1986
1986
2008
2011
771
Konstal 105Na
1986
1986
2008
2011
Source: http://www.phototrans.eu | Generated on 2017-03-07
2007
sprzedany 17.05.2007 do firmy CARGRYF
Numer podwozia 0705
W 2003 roku na złomowisku w Krzyżu Wielkopolskim został wy
Page 8
727
ZPL 66AS
Ikarus 280.26
1986
1991
1997
2007
Był wystawiony na sprzedaż. Wywieziony na złom w poniedział
552
SCA 884C
Jelcz M11
1986
1991
1999
2007
sprzedany 14.03.2007
642
ZPL F909
Jelcz M11
1986
1991
1997
2005
651
SZC 381V
Jelcz M11
1986
1991
1997
2005
Konstal 105Na
1986
1986
2008
1032
skreślony w Czerwcu 2013 (zezłomowany -> Lubicz k.Torunia)
721
KBM 8106
Ikarus 280.26
1986
1991
1996
2008
NG 1999 KPNA Słupsk<br>
wyrejestrowany 26.09.2008 De
726
KBM 8108
Ikarus 280.26
1986
1991
1996
2007
Status rejestracji: wyrejestrowany 27.09.2006 Demontaż na wn
723
SPI M346
Ikarus 280.26
1986
1991
1996
2011
NG 2003 KZNS Solec Kuj. <br>
Status rejestracji: wyrejestr
316
SZD 958G
Jelcz M11
1987
1991
1998
?
670
SZD 705E
Jelcz M11
1987
1991
1997
2007
669
ZPL C113
Jelcz M11
1987
1991
1997
2003
1701
STA H209
Jelcz M11
1987
1991
1999
2002
671
SZA 966S
Jelcz M11
1987
1991
1997
1998
668
SZD 703E
Jelcz M11
1987
1991
1997
2002
143
ZS 38106
Jelcz M11
1987
1991
1999
?
544
SZD 957G
Jelcz M11
1987
1991
1999
2001
557
SZC 909X
Jelcz M11
1987
1991
1999
2002
556
SZC 908X
Jelcz M11
1987
1991
1995
1995
2701
SZC 907X
Jelcz M11
1987
1991
1997
?
554
SZC 906X
Jelcz M11
1987
1991
1999
2000
547
SZD 562G
Jelcz M11
1987
1991
1994
1994
545
SZD 560G
Jelcz M11
1987
1991
1995
1995
361
SZD 561G
Jelcz M11
1987
1991
1997
1997
550
SZA 965S
Jelcz M11
1987
1991
1999
2005
359
SZD 684E
Jelcz M11
1987
1991
1999
360
SZC 534Y
Jelcz M11
1987
1991
1997
358
SZD 683E
Jelcz M11
1987
1991
1997
?
357
SZD 682E
Jelcz M11
1987
1991
1997
1997
350
SZC 533Y
Jelcz M11
1987
1991
1997
1997
315
SZD 959G
Jelcz M11
1987
1991
1998
1998
363
SZD 563G
Jelcz M11
1987
1991
1999
2002
2702
SZC 917X
Jelcz M11
1987
1991
1997
?
365
SCW 4240
Jelcz M11
1987
1991
1998
?
364
SZD 558G
Jelcz M11
1987
1991
1998
?
Tatra KT4Dt
1987
2007
2008
119
21.06.2007 sprzedany do składnicy złomu w Bobrownikach k/W
?
modernization # 883/099
546
SZD 559G
Jelcz M11
1987
1991
1999
2003
548
SZA 967S
Jelcz M11
1987
1991
1999
2005
362
SZD 600G
Jelcz M11
1987
1991
1999
2007
563
SZC 144V
Jelcz M11
1988
1991
1999
2005
565
ZS 56364
Jelcz M11
1988
1991
1999
2003
567
SCA 131B
Jelcz M11
1988
1991
1999
2001
570
SCA 032B
Jelcz M11
1988
1991
1999
2005
566
ZS 63989
Jelcz M11
1988
1991
1999
568
ZS 92672
Jelcz M11
1988
1991
1999
2007
zakończenie eksploatacji w SPAK: 21.06.2007, w lipcu sprzeda
573
SCA 037B
Jelcz M11
1988
1991
1999
2007
zakończenie eksploatacji w SPAK: 26.06.2007, w lipcu sprzeda
561
SZC 530Y
Jelcz M11
1988
1991
1999
2004
349
SCA 120B
Jelcz M11
1988
1991
1999
2006
346
SCA 035B
Jelcz M11
1988
1991
1999
2014
345
KBG 685U
Jelcz M11
1988
1991
1999
2002
560
SMF 6057
Jelcz M11
1988
1991
1999
2000
559
SZC 522Y
Jelcz M11
1988
1991
1999
2000
171
ZS 35544
STAR 266 DS-125K
1988
1991
2008
1209
Tatra T6A2D
1988
2008
2008
208
Tatra T6A2D
1988
2008
2008
222
Tatra T6A2D
1988
2008
2008
207
Tatra T6A2D
1988
2008
2008
Jelcz M11
1988
1991
1997
Tatra T6A2D
1988
2008
2008
348
SCA 130B
221
?
VIN: 0279
Sprzedany na złom 14 grudnia 2006 roku
05-1988 - WPKM Szczecin, 10-1997
347
SCA 129B
Jelcz M11
1988
1991
1998
572
SCA 036B
Jelcz M11
1988
1991
1999
zakończenie eksploatacji w SPAK: 26.06.2007, sprzedany do B
571
ZS 3668E
Jelcz M11
1988
1991
1999
sprzedany w grudniu 2006 do prywatnej firmy z Bobrownik
Tatra T6A2D
1988
2008
2008
STA V880
Jelcz M11
1988
1991
1999
2003
SCA 135B
Jelcz M11
1988
1991
1999
2009
569
ZS 62030
Jelcz M11
1988
1991
1999
2006
2011
SCA 182D
Jelcz M11
1989
1991
1999
2005
1210
564
Source: http://www.phototrans.eu | Generated on 2017-03-07
?
1988 - 1999 jako nauka jazdy (bez numeru)
Page 9
741
ZPL S181
Ikarus 280.26
1989
1991
1997
2002
SCW 4253
Jelcz M11
1989
1991
1999
sprzedany w grudniu 2006 do prywatnej firmy na Wyspę Chrząs
2003
SCA 995C
Jelcz M11
1989
1991
1999
188
ZS 2486P
Liaz SA-8
1989
1991
2008
177
SME 6220
Star 28 SWS-28
1989
618
ZPL F939
Jelcz M11
1989
1991
1997
2054
SZE 412E
Ikarus 280.26
1989
1991
1999
1002
SCA 183D
Jelcz M11
1989
1991
1999
2006
sprzedany do prywatnej firmy z Bobrownik; VIN: 1019
150
SCA 146D
Jelcz L11/2
1989
1991
1999
2007
w lipcu 2007 sprzedany do składnicy złomu w Bobrownikach k/W
399
SCA 148D
Jelcz L11/2
1989
1991
1999
2007
Sprzedany w 2007
1097
SZE 413E
Ikarus 280.26
1989
1991
1999
2099
SZE 406E
Ikarus 280.26
1989
1991
1999
1083
SZE 408E
Ikarus 280.26
1989
1991
1999
2007
1086
ZS 7571C
Ikarus 280.26
1989
1991
1999
2006
2096
SZE 415E
Ikarus 280.26
1989
1991
1999
2095
SZE 410E
Ikarus 280.26
1989
1991
1999
2006
2088
SZD 525P
Ikarus 280.26
1989
1991
1999
2007
1098
SZE 349E
Ikarus 280.26
1989
1991
1999
?
1082
SY 19975
Ikarus 280.26
1989
1991
1999
2005
2004
SCW 6713
Jelcz M11
1989
1991
1999
2007
2001
SCA 996C
Jelcz M11
1989
1991
1999
2007
1204
Tatra T6A2D
1989
2008
2008
1202
Tatra T6A2D
1989
2008
2008
779
Konstal 105Na
1990
1990
2008
2007
2008
2000 nowe pudło
1191
SCA 096F
Ikarus 280.26
1990
1991
1999
?
2052
SCA 286G
Ikarus 280.26
1990
1991
1999
2007
1004
SCA 521E
Jelcz M11
1990
1991
1999
2001
2006
SCA 512E
Jelcz M11
1990
1991
1999
2007
2196
SCA 359G
Ikarus 280.26
1990
1991
1999
2007
260
FADROMA Ł-201
1990
1991
2008
202
Tatra T6A2D
1990
2007
2008
210
Tatra T6A2D
1990
2008
2008
1207
Tatra T6A2D
1990
2008
2008
201
Tatra T6A2D
1990
2007
2008
212
Tatra T6A2D
1990
2008
2008
204
Tatra T6A2D
1990
2008
2008
203
Tatra T6A2D
1990
2008
2008
2005
SCA 511E
Jelcz M11
1990
1991
1999
2008
2010
SCA 516E
Jelcz M11
1990
1991
1999
2006
1006
SCA 520E
Jelcz M11
1990
1991
1999
2010
743
ZPL S066
Ikarus 280.26
1990
1991
1997
2009
SCA 515E
Jelcz M11
1990
1991
1999
2006
3003
ZPL L292
Jelcz M11
1990
1991
1997
2012
2008
SCA 514E
Jelcz M11
1990
1991
1999
2009
1194
SY 13747
Ikarus 280.26
1990
1991
1999
2004
ZS 18217
Nysa T522
1990
1991
2007
1182
SCA 090F
Ikarus 280.26
1990
1991
1999
2193
SCA 091F
Ikarus 280.26
1990
1991
1999
2192
SCA 097F
Ikarus 280.26
1990
1991
1999
2191
SCA 092F
Ikarus 280.26
1990
1991
1999
742
ZPL S364
Ikarus 280.26
1990
1991
1997
3002
ZPL F919
Jelcz M11
1990
1991
1997
2011
3001
ZPL S298
Jelcz M11
1990
1991
1997
2011
1009
SCA 518E
Jelcz M11
1990
1991
1999
2005
2197
WI 55707
Ikarus 280.26
1990
1991
1999
1007
SCA 517E
Jelcz M11
1990
1991
1999
2093
SCA 388G
Ikarus 280.26
1990
1991
1999
1085
SCA 387G
Ikarus 280.26
1990
1991
1999
2007
2091
SCA 386G
Ikarus 280.26
1990
1991
1999
2007
2090
SCA 385G
Ikarus 280.26
1990
1991
1999
2007
1184
SCA 367G
Ikarus 280.26
1990
1991
1999
?
1008
SCA 519E
Jelcz M11
1990
1991
1999
2005
1005
ZS 72929
Jelcz M11
1990
1991
1999
2006
2007
SCA 513E
Jelcz M11
1990
1991
1999
2007
2195
SCA 362G
Ikarus 280.26
1990
1991
1999
?
2198
SCA 363G
Ikarus 280.26
1990
1991
1999
Source: http://www.phototrans.eu | Generated on 2017-03-07
nr silnika: D2156HM6U100 989 942
<br>7 kwietnia 2009 wy
skasowany 19.12.2006
w 2008 roku przebudowany na <a href="http://www.phototrans.
2006
2007
sprzedany w grudniu 2006 do prywatnej firmy
2005
nr silnika: D2156HM6U100 1589 572
nr silnika: D2156HM6U100 290 707
Page 10
1183
SCA 361G
Ikarus 280.26
1990
1991
1999
?
1094
SCA 389G
Ikarus 280.26
1990
1991
1999
2007
sprzedany do składnicy złomu w Bobrownikach k/Włocławka
1084
SCA 390G
Ikarus 280.26
1990
1991
1999
2007
03.07.2007 sprzedany do składnicy złomu w Bobrownikach
2051
SCA 287G
Ikarus 280.26
1990
1991
1999
2007
1081
SY 18864
Ikarus 280.26
1990
1991
1999
2008
1192
SY 16331
Ikarus 280.26
1990
1991
1999
2009
1197
SY 11169
Ikarus 280.26
1990
1991
1999
2005
2151
SCA 094F
Ikarus 280.26
1990
1991
1999
2007
1181
SY 34042
Ikarus 280.26
1990
1991
1999
2008
777
Konstal 105Na
1990
1990
2008
skreślony w Czerwcu 2013 (zezłomowany -> Lubicz k.Torunia)
778
Konstal 105Na
1990
1990
2008
skreślony w Czerwcu 2013 (zezłomowany -> Lubicz k.Torunia)
780
Konstal 105Na
1990
1990
2008
2000 nowe pudło (3-drzwiowe)
209
Tatra T6A2D
1991
2008
2008
738
Konstal 105Na
1991
1991
2008
2006 podmiana pudła
14.09.2015 wywieziony do Lubic
1002
Konstal 105Na
1991
1991
2008
2000 nowe pudło (3-drzwiowe)
1001
Konstal 105Na
1991
1991
2008
2000 nowe pudło (3-drzwiowe)
1005
Konstal 105Na
1991
1991
2008
2000 nowe pudło (3-drzwiowe)
1006
Konstal 105Na
1991
1991
2008
2000 nowe pudło (3-drzwiowe)
1010
Konstal 105Na
1991
1991
2008
skreślony w Czerwcu 2013 (zezłomowany -> Lubicz k.Torunia)
167
Star A-200 SWN-11
1991
1991
2008
Ikarus 280.26
1991
1991
1999
782
Konstal 106Na
1991
1991
2001
1004
Konstal 105Na
1991
1991
2008
1003
Konstal 105Na
1991
1991
2008
1007
Konstal 105Na
1991
1991
2008
1009
Konstal 105Na
1991
1991
2008
sprzedany w kwietniu 2014 (zezłomowany -> Lubicz k.Torunia)
1008
Konstal 105Na
1991
1991
2008
sprzedany w kwietniu 2014 (zezłomowany -> Lubicz k.Torunia)
211
Tatra T6A2D
1991
2008
2008
1206
Tatra T6A2D
1991
2008
2008
1205
Tatra T6A2D
1991
2008
2008
1201
Tatra T6A2D
1991
2008
2008
1208
Tatra T6A2D
1991
2008
2008
1203
Tatra T6A2D
1991
2008
2008
213
Tatra T6A2D
1991
2008
2008
214
Tatra T6A2D
1991
2008
2008
215
Tatra T6A2D
1991
2008
2008
217
Tatra T6A2D
1991
2008
2008
218
Tatra T6A2D
1991
2008
2008
206
Tatra T6A2D
1991
2008
2008
219
Tatra T6A2D
1991
2008
2008
220
Tatra T6A2D
1991
2008
2008
205
Tatra T6A2D
1991
2008
2008
216
Tatra T6A2D
1991
2008
2008
STAR A-200 SWN-11
1991
1991
2008
781
Konstal 106Na
1991
1991
2001
1024
Konstal 105Na
1992
1992
2008
Ikarus 280.26
1992
1992
1999
1011
Konstal 105Na
1992
1992
2008
1020
Konstal 105Na
1992
1992
2008
1021
Konstal 105Na
1992
1992
2008
2252
180
2298
SCA 005F
skasowany 30.04.2008 (DAN-ZŁOM Zawiercie)
ZS 7136M
SCA 004F
2001
skreślony ze stanu dnia 01.12.2014
skreślony ze stanu dnia 01.12.2014
2014
1007+1014
wagon zezłomowano w lutym 2014
2001
sprzedany w kwietniu 2014 (zezłomowany -> Lubicz k.Torunia)
2008
17.10.2007 roku, ucięto człon "B" i przeszczepiono do #2093
2012
1299
SCA 006F
Ikarus 280.26
1992
1992
1999
1298
ZS 87085
Ikarus 280.26
1992
1992
1999
1022
Konstal 105Na
1992
1992
2008
1019
Konstal 105Na
1992
1992
2008
1012
Konstal 105Na
1992
1992
2008
1027
Konstal 105Na
1992
1992
2008
1027+1028 sprzedany w kwietniu 2014 (zezłomowany -> L
1013
Konstal 105Na
1992
1992
2008
skreślony w Czerwcu 2013 (zezłomowany -> Lubicz k.Torunia)
1017
Konstal 105Na
1992
1992
2008
skreślony w Czerwcu 2013 (zezłomowany -> Lubicz k.Torunia)
1018
Konstal 105Na
1992
1992
2008
skreślony w Czerwcu 2013 (zezłomowany -> Lubicz k.Torunia)
1025
Konstal 105Na
1992
1992
2008
1028
Konstal 105Na
1992
1992
2008
1026
Konstal 105Na
1992
1992
2008
1014
Konstal 105Na
1992
1992
2008
1023
Konstal 105Na
1992
1992
2008
1556
ZS 63062
Volvo B10MA
1994
1994
1999
1416
SCI 9947
Jelcz 120M
1994
1994
1999
Source: http://www.phototrans.eu | Generated on 2017-03-07
sprzedany w grudniu 2006 do prywatnej firmy z Bobrownik
?
2012
sprzedany w kwietniu 2014 (zezłomowany -> Lubicz k.Torunia)
2014
zezłomowany w marcu 2014 roku
sprzedany w kwietniu 2014 (zezłomowany -> Lubicz k.Torunia)
2007
Rozebrany i sprzedany na części w sierpniu 2007.
Page 11
1403
SCI 9852
Jelcz 120M
1994
1994
1999
1409
SCI 9940
Jelcz 120M
1994
1994
1999
2007
1568
SCR 7968
Volvo B10MA
1994
1994
1999
1414
SCI 9945
Jelcz 120M
1994
1994
1999
1405
SCI 8862
Jelcz 120M
1994
1994
1999
1551
SCR 7951
Volvo B10MA
1994
1994
1999
1552
SCR 7952
Volvo B10MA
1994
1994
1999
1564
SCR 7964
Volvo B10MA
1994
1994
1999
1567
SCR 7967
Volvo B10MA
1994
1994
1999
1411
SCI 9942
Jelcz 120M
1994
1994
1999
1410
SCI 9941
Jelcz 120M
1994
1994
1999
1415
SCI 9946
Jelcz 120M
1994
1994
1999
1412
SCI 9943
Jelcz 120M
1994
1994
1999
1557
ZS 10693
Volvo B10MA
1994
1994
1999
W 2008 r. przebudowany na pogotowie techniczne
1565
SCR 7965
Volvo B10MA
1994
1994
1999
Skreślony/Withdrawn 16.12.2015
1036
Konstal 105Np
1994
1994
2008
skreślony w Czerwcu 2013 (zezłomowany -> Lubicz k.Torunia)
1035
Konstal 105Np
1994
1994
2008
skreślony w Czerwcu 2013 (zezłomowany -> Lubicz k.Torunia)
Sprzedany ze Szczecina do Bobrownik 30 marca 2010 roku.
2010
Sprzedany ze Szczecina do Bobrownik 30 marca 2010 roku.
Odstawiony w styczniu 2010. Sprzedany ze Szczecina do Bobr
21.06.2013r. naszą zajezdnię opuścił ostatni Jelcz 120MM/1
1555
SCR 7955
Volvo B10MA
1994
1994
1999
1406
SCI 9024
Jelcz 120M
1994
1994
1999
1558
SCR 7958
Volvo B10MA
1994
1994
1999
1550
SCS 4528
Volvo B10MA
1994
1994
1999
1402
SCI 9022
Jelcz 120M
1994
1994
1999
1553
SCR 7953
Volvo B10MA
1994
1994
1999
1569
SCR 7969
Volvo B10MA
1994
1994
1999
1566
SCR 7966
Volvo B10MA
1994
1994
1999
1562
SCR 7962
Volvo B10MA
1994
1994
1999
1563
SCR 7963
Volvo B10MA
1994
1994
1999
1401
SMB 0314
Jelcz 120M
1994
1994
1999
1404
SCI 9854
Jelcz 120M
1994
1994
1999
1554
SCR 7954
Volvo B10MA
1994
1994
1999
02.04.2015
1559
SCR 7959
Volvo B10MA
1994
1994
1999
Sprzedany ze Szczecina do Bobrownik 27.04.2010 roku
1407
SCI 9853
Jelcz 120M
1994
1994
1999
1413
SCI 9944
Jelcz 120M
1994
1994
1999
Autobus sprzedany 25 lutego 2010 r.
1408
SCI 8861
Jelcz 120M
1994
1994
1999
Sprzedany w styczniu 2008.
1560
SCR 7960
Volvo B10MA
1994
1994
1999
Sprzedany ze Szczecina do Bobrownik 27.04.2010 roku
1561
SCR 7961
Volvo B10MA
1994
1994
1999
Sprzedany ze Szczecina do Bobrownik 27.04.2010 roku
126
SCS 9016
Żuk A-075
1995
1995
2008
1584
SCS 8319
Volvo B10MA
1995
1995
1999
1582
ZS 4083L
Volvo B10MA
1995
1995
1999
1588
SCS 8324
Volvo B10MA
1995
1995
1999
1581
SCS 8316
Volvo B10MA
1995
1995
1999
1580
SCS 8315
Volvo B10MA
1995
1995
1999
1578
ZS 1235H
Volvo B10MA
1995
1995
1999
1577
SCZ 2603
Volvo B10MA
1995
1995
1999
1576
SCS 7758
Volvo B10MA
1995
1995
1999
1573
SCS 7754
Volvo B10MA
1995
1995
1999
1575
SCS 7757
Volvo B10MA
1995
1995
1999
1583
SCS 8318
Volvo B10MA
1995
1995
1999
1570
SCS 7751
Volvo B10MA
1995
1995
1999
1574
SCS 7756
Volvo B10MA
1995
1995
1999
1572
ZS 18436
Volvo B10MA
1995
1995
1999
1571
ZS 4148E
Volvo B10MA
1995
1995
1999
1585
SCS 8320
Volvo B10MA
1995
1995
1999
1586
SCS 8322
Volvo B10MA
1995
1995
1999
1587
SCS 8323
Volvo B10MA
1995
1995
1999
1589
SCS 8325
Volvo B10MA
1995
1995
1999
1579
SCS 7761
Volvo B10MA
1995
1995
1999
2744
SMA 8765
Jelcz 120MM/1
1996
1996
1999
2749
SMA 8753
Jelcz 120MM/1
1996
1996
1999
200
SMA 6574
Lublin 3352
1996
1996
1999
1747
SMA 8759
Autosan H6
1996
1996
1999
2750
SMA 8751
Jelcz 120MM/1
1996
1996
1999
2007
2746
SMA 8768
Jelcz 120MM/1
1996
1996
1999
2007
3005
ZPL C099
Jelcz 120M
1996
1996
1997
3006
ZPL T383
Jelcz 120M
1996
1996
1997
2005
1745
SMA 8762
Autosan H6-20.02
1996
1996
1999
2011
Source: http://www.phototrans.eu | Generated on 2017-03-07
Sprzedany ze Szczecina do Bobrownik 27.04.2010 roku
2011
Autobus przeszedł naprawę bieżącą w marcu 2010.
2016
Wywieziono 04.02.2015
2009
Wycofany około połowy lutego 2017.
2007
W latach 1997 - 1998 stacjonował w zajezdni Dąbie.
20.12.
Zezłomowany w przedsiębiorstwie Pawła Tkaczyka w Bobrown
W latach 1997 - 1998 stacjonował w zajezdni Dąbie.
Page 12
1748
SMA 8760
Autosan H6-20.02
1996
1996
1999
2012
W latach 1997 - 1998 stacjonował w zajezdni Dąbie.
1746
LKR 90RS
Autosan H6-20.02
1996
1996
1999
2011
W latach 1997 - 1998 stacjonował w zajezdni Dąbie.
2650
WZ 2359A
Jelcz M121M
1996
1996
1999
3004
ZPL C098
Jelcz 120M
1996
1996
1997
2745
SMA 8767
Jelcz 120MM/1
1996
1996
1999
2747
SMA 8766
Jelcz 120MM/1
1996
1996
1999
2007
Zezłomowany w przedsiębiorstwie Pawła Tkaczyka w Bobrown
2748
SMA 8752
Jelcz 120MM/1
1996
1996
1999
2007
Zezłomowany w przedsiębiorstwie Pawła Tkaczyka w Bobrown
2742
SMB 4482
Jelcz 120MM/1
1997
1997
1999
2007
2743
SMB 4481
Jelcz 120MM/1
1997
1997
1999
2007
2741
CBY 1N51
Jelcz 120MM/1
1997
1997
1999
2015
wyrejestrowany 23.11.2015 Demontaż na wniosek
3008
ZPL S353
Jelcz 120M
1997
1997
1997
2009
Wywieziony z terenu SPPK 29 czerwca 2009 roku
1741
SMC 4979
Autosan H6-20.02
1997
1997
1999
175
ZS 9579J
Daewoo Lublin 3372
1997
1997
2008
3007
ZPL E454
Jelcz 120M
1997
1997
1997
1742
SMC 4981
Autosan H6
1997
1997
1999
128
SMA 9220
Żuk A-075
1997
1997
2008
3009
ZPL E484
Jelcz 120M
1997
1997
1997
2009
1743
SMC 4982
Autosan H6-20.02
1997
1997
1999
2010
1744
SMC 4983
Autosan H6-20.02
1997
1997
1999
2010
2740
SMB 4484
Jelcz 120MM/1
1997
1997
1999
2007
3010
ZPL E039
Jelcz 120M
1997
1997
1997
2001
2876
ZS 1694W
Volvo B10MA
1998
1998
1999
2851
SME 3010
Volvo B10MA
1998
1998
1999
2890
SMF 7932
Volvo B10MA
1998
1998
1999
2873
SMF 4603
Volvo B10MA
1998
1998
1999
2855
SME 3014
Volvo B10MA
1998
1998
1999
2872
SMF 4602
Volvo B10MA
1998
1998
1999
2857
SME 4776
Volvo B10MA
1998
1998
1999
2879
SMF 6604
Volvo B10MA
1998
1998
1999
2852
SME 3012
Volvo B10MA
1998
1998
1999
2860
SME 4779
Volvo B10MA
1998
1998
1999
2862
SME 7462
Volvo B10MA
1998
1998
1999
2864
SME 7464
Volvo B10MA
1998
1998
1999
2870
SMF 4595
Volvo B10MA
1998
1998
1999
2875
SMF 4605
Volvo B10MA
1998
1998
1999
2877
SMF 6602
Volvo B10MA
1998
1998
1999
2878
SMF 6603
Volvo B10MA
1998
1998
1999
2885
SMF 6805
Volvo B10MA
1998
1998
1999
2888
SMF 7930
Volvo B10MA
1998
1998
1999
2010
2889
SMF 7931
Volvo B10MA
1998
1998
1999
2010
2881
SMF 6801
Volvo B10MA
1998
1998
1999
2861
SME 7461
Volvo B10MA
1998
1998
1999
2856
SME 4775
Volvo B10MA
1998
1998
1999
2863
SME 7463
Volvo B10MA
1998
1998
1999
2874
SMF 4604
Volvo B10MA
1998
1998
1999
2866
SMF 4591
Volvo B10MA
1998
1998
1999
2884
SMF 6804
Volvo B10MA
1998
1998
1999
2887
SMF 7929
Volvo B10MA
1998
1998
1999
2871
SMF 4601
Volvo B10MA
1998
1998
1999
2883
SMF 6803
Volvo B10MA
1998
1998
1999
103
SMF 6498
Daewoo Lublin 3504
1998
1998
2008
2854
SME 3011
Volvo B10MA
1998
1998
1999
2880
SMF 6605
Volvo B10MA
1998
1998
1999
2868
SMF 4593
Volvo B10MA
1998
1998
1999
2882
SMF 6802
Volvo B10MA
1998
1998
1999
2865
SME 7465
Volvo B10MA
1998
1998
1999
2867
SMF 4592
Volvo B10MA
1998
1998
1999
2858
SMN 5023
Volvo B10MA
1998
1998
1999
2886
SMF 7928
Volvo B10MA
1998
1998
1999
2869
SMF 4594
Volvo B10MA
1998
1998
1999
2859
SME 4778
Volvo B10MA
1998
1998
1999
110
ZS 7580K
Daewoo Lublin 3524
1998
1998
2008
2853
SME 3013
Volvo B10MA
1998
1998
1999
168
ZS 71276
STAR 266 DS-125K
1999
1999
2008
154
ZS 2164P
STAR 1142 CF
2000
2000
2008
Konstal 105N2k/2000
2001
2001
2008
1055
Source: http://www.phototrans.eu | Generated on 2017-03-07
Odbudowa w 2009 w ZNS Solec Kujawski.
Skrzynia biegów
Sprzedany ze Szczecina do Bobrownik 27.04.2010 roku
Pożar w komorze silnika w lutym 2001 roku.
2010
Awaria skrzyni
Sprzedany jako niesprawny i wywieziony na początku stycznia
2011
2010
Page 13
1057
Konstal 105N2k/2000
2001
2001
2008
789
Konstal 105N2K/2000
2001
2001
2008
790
Konstal 105N2K/2000
2001
2001
2008
788
Konstal 105N2K/2000
2001
2001
2008
w dniach 10-21.07.01 przebywał w Gorzowie, w ruchu w dniach
787
Konstal 105N2K/2000
2001
2001
2008
w dniach 16-21.07.01 przebywał w Gorzowie, w ruchu w dniach
1053
Konstal 105N2k/2000
2001
2001
2008
786
Konstal 105N2K/2000
2001
2001
2008
785
Konstal 105N2K/2000
2001
2001
2008
784
Konstal 105N2K/2000
2001
2001
2008
783
Konstal 105N2K/2000
2001
2001
2008
1058
Konstal 105N2k/2000
2001
2001
2008
1056
Konstal 105N2k/2000
2001
2001
2008
1054
Konstal 105N2k/2000
2001
2001
2008
102
ZS 96978
Renault Kangoo
2004
2004
2008
101
ZS 96645
Renault Kangoo
2004
2004
2008
103
ZS 1417C
Renault Traffic
2004
2004
2008
ZS 1793F
Ford Transit
2005
2005
2008
106
ZS 2136F
Renault Kangoo
2005
2005
2008
161
ZS 8191H
Renault Midlum 190 DXi
2006
2007
2008
181
ZS 8235H
Renault Mascott 160.65
2006
2006
2008
105
ZS 9562K
Ford Transit
2007
2007
2008
1063
Protram 105N2K/2000
2007
2007
2008
791
Protram 105N2K/2000
2007
2007
2008
792
Protram 105N2K/2000
2007
2007
2008
201
Wózek widłowy HC 3000
2007
2007
2008
155
ZS 2949L
Renault Midlum
2007
2007
2008
164
ZS 3095L
Renault Midlum 220.12
2007
2007
2008
Protram 105N2K/2000
2007
2007
2008
Ford Transit
2007
2007
2008
794
Protram 105N2K/2000
2007
2007
2008
793
Protram 105N2K/2000
2007
2007
2008
819
Duewag GT8
2008
2008
2008
1064
182
ZS 2076L
108
ZS 9980N
Renault Master
2008
2008
2008
157
ZS 0395P
Renault Mascott 160.65
2008
2008
2008
159
ZS 0368P
Renault Midlum 220.12
2008
2008
2008
156
ZS 0385P
Renault Mascott 160.65
2008
2008
2008
Moderus Alfa 105ND/S/HF/09
2008
2008
2008
Renault Midlum 220.12
2008
2008
2008
696
Moderus Alfa 105N/S/HF/09
2008
2008
2008
746
Konstal 105Na
2001
2008
712
163
ZS 9614N
Source: http://www.phototrans.eu | Generated on 2017-03-07
Ford Transit 350 LWB
Ford Transit 280 MWB
2008
Page 14