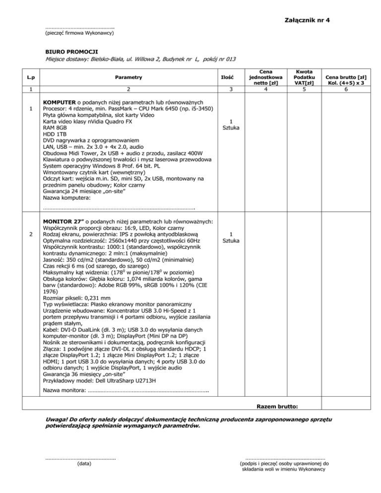
Załącznik nr 4 Miejsce dostawy: Bielsko

Transkrypt

Załącznik nr 4 Miejsce dostawy: Bielsko
Załącznik nr 4
……………………………………..
(pieczęć firmowa Wykonawcy)
BIURO PROMOCJI
Miejsce dostawy: Bielsko-Biała, ul. Willowa 2, Budynek nr L, pokój nr 013
L.p
Parametry
1
2
1
KOMPUTER o podanych niżej parametrach lub równoważnych
Procesor: 4 rdzenie, min. PassMark – CPU Mark 6450 (np. i5-3450)
Płyta główna kompatybilna, slot karty Video
Karta video klasy nVidia Quadro FX
RAM 8GB
HDD 1TB
DVD nagrywarka z oprogramowaniem
LAN, USB – min. 2x 3.0 + 4x 2.0, audio
Obudowa Midi Tower, 2x USB + audio z przodu, zasilacz 400W
Klawiatura o podwyższonej trwałości i mysz laserowa przewodowa
System operacyjny Windows 8 Prof. 64 bit. PL
Wmontowany czytnik kart (wewnętrzny)
Odczyt kart: wejścia m.in. SD, mini SD, 2x USB, montowany na
przednim panelu obudowy; Kolor czarny
Gwarancja 24 miesiące „on-site”
Nazwa komputera:
Ilość
3
Cena
jednostkowa
netto [zł]
Kwota
Podatku
VAT[zł]
Cena brutto [zł]
Kol. (4+5) x 3
4
5
6
1
Sztuka
…………………………………………………………………………………….
2
MONITOR 27” o podanych niżej parametrach lub równoważnych:
Współczynnik proporcji obrazu: 16:9, LED, Kolor czarny
Rodzaj ekranu, powierzchnia: IPS z powłoką antyodblaskową
Optymalna rozdzielczość: 2560x1440 przy częstotliwości 60Hz
Współczynnik kontrastu: 1000:1 (standardowo), współczynnik
kontrastu dynamicznego: 2 mln:1 (maksymalnie)
Jasność: 350 cd/m2 (standardowo), 50 cd/m2 (minimalnie)
Czas rekcji 6 ms (od szarego, do szarego)
Maksymalny kąt widzenia: (1780 w pionie/1780 w poziomie)
Obsługa kolorów: Głębia koloru: 1,074 miliarda kolorów, gama
barw (standardowo): Adobe RGB 99%, sRGB 100% i 120% (CIE
1976)
Rozmiar pikseli: 0,231 mm
Typ wyświetlacza: Płasko ekranowy monitor panoramiczny
Urządzenie wbudowane: Koncentrator USB 3.0 Hi-Speed z 1
portem przepływu transmisji i 4 portami odbioru, wyjście zasilania
prądem stałym,
Kabel: DVI-D DualLink (dł. 3 m); USB 3.0 do wysyłania danych
komputer-monitor (dł. 3 m); DisplayPort (Mini DP na DP)
Nośnik ze sterownikami i dokumentacją, podręcznik konfiguracji
Złącza: 1 podwójne złącze DVI-DL z obsługą standardu HDCP; 1
złącze DisplayPort 1.2; 1 złącze Mini DisplayPort 1.2; 1 złącze
HDMI; 1 port USB 3.0 do wysyłania danych; 4 porty USB 3.0 do
odbioru danych; 1 wyjście DisplayPort, 1 wyjście audio
Gwarancja 36 miesięcy „on-site”
Przykładowy model: Dell UltraSharp U2713H
1
Sztuka
Nazwa monitora: …………………………………………………………………..
Razem brutto:
Uwaga! Do oferty należy dołączyć dokumentację techniczną producenta zaproponowanego sprzętu
potwierdzającą spełnianie wymaganych parametrów.
………………………………………
(data)
……………………………………………
(podpis i pieczęć osoby uprawnionej do
składania woli w imieniu Wykonawcy