GRUPA BUDIMEX SAP 2004 BXSA_budinet.xls

Transkrypt

GRUPA BUDIMEX SAP 2004 BXSA_budinet.xls
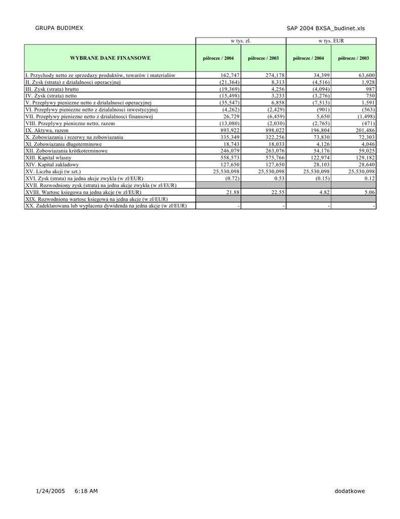
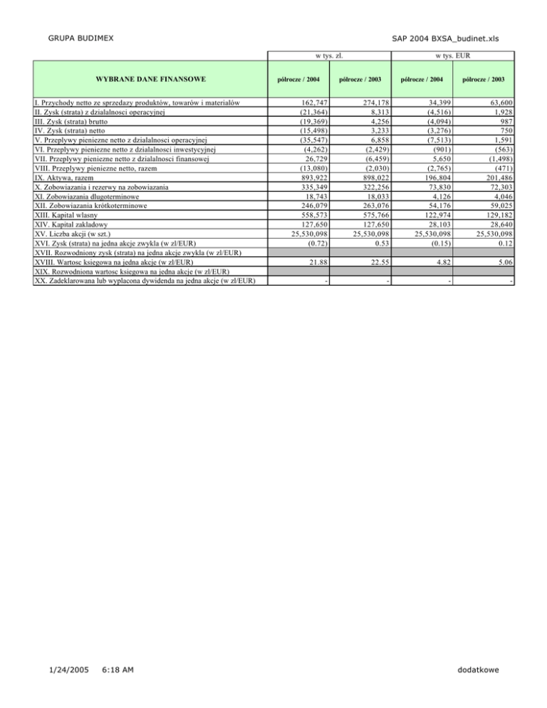
GRUPA BUDIMEX
SAP 2004 BXSA_budinet.xls
w tys. zl.
WYBRANE DANE FINANSOWE
I. Przychody netto ze sprzedazy produktów, towarów i materialów
II. Zysk (strata) z dzialalnosci operacyjnej
III. Zysk (strata) brutto
IV. Zysk (strata) netto
V. Przeplywy pieniezne netto z dzialalnosci operacyjnej
VI. Przeplywy pieniezne netto z dzialalnosci inwestycyjnej
VII. Przeplywy pieniezne netto z dzialalnosci finansowej
VIII. Przeplywy pieniezne netto, razem
IX. Aktywa, razem
X. Zobowiazania i rezerwy na zobowiazania
XI. Zobowiazania dlugoterminowe
XII. Zobowiazania krótkoterminowe
XIII. Kapital wlasny
XIV. Kapital zakladowy
XV. Liczba akcji (w szt.)
XVI. Zysk (strata) na jedna akcje zwykla (w zl/EUR)
XVII. Rozwodniony zysk (strata) na jedna akcje zwykla (w zl/EUR)
XVIII. Wartosc ksiegowa na jedna akcje (w zl/EUR)
XIX. Rozwodniona wartosc ksiegowa na jedna akcje (w zl/EUR)
XX. Zadeklarowana lub wyplacona dywidenda na jedna akcje (w zl/EUR)
1/24/2005
6:18 AM
pólrocze / 2004
w tys. EUR
pólrocze / 2003
pólrocze / 2004
pólrocze / 2003
162,747
(21,364)
(19,369)
(15,498)
(35,547)
(4,262)
26,729
(13,080)
893,922
335,349
18,743
246,079
558,573
127,650
25,530,098
(0.72)
274,178
8,313
4,256
3,233
6,858
(2,429)
(6,459)
(2,030)
898,022
322,256
18,033
263,076
575,766
127,650
25,530,098
0.53
34,399
(4,516)
(4,094)
(3,276)
(7,513)
(901)
5,650
(2,765)
196,804
73,830
4,126
54,176
122,974
28,103
25,530,098
(0.15)
63,600
1,928
987
750
1,591
(563)
(1,498)
(471)
201,486
72,303
4,046
59,025
129,182
28,640
25,530,098
0.12
21.88
22.55
4.82
5.06
-
-
-
-
dodatkowe
BUDIMEX S.A.
SAP 2004 BXSA_budinet.xls
BILANS ( w tys. zl )
I. AKTYWA TRWALE
1. Wartosci niematerialne i prawne
Stan na
30.06.2004r.
Stan na
31.12.2003r.
Stan na
30.06.2003r.
665,986
8,745
652,533
9,638
651,665
10,175
2. Rzeczowe aktywa trwale
3. Naleznosci dlugoterminowe
3.1. Od jednostek powiazanych
3.2. Od pozostalych jednostek
4. Inwestycje dlugoterminowe
4.1. Nieruchomosci
4.2. Wartosci niematerialne i prawne
4.3. Dlugoterminowe aktywa finansowe
a) w jednostkach powiazanych, w tym:
- udzialy lub akcje w jednostkach podporzadkowanych
wyceniane metoda praw wlasnosci
b) w pozostalych jednostkach
4.4. Inne inwestycje dlugoterminowe
5. Dlugoterminowe rozliczenia miedzyokresowe
5.1. Aktywa z tytulu odroczonego podatku dochodowego
5.2. Inne rozliczenia miedzyokresowe
II. AKTYWA OBROTOWE
1. Zapasy
2. Naleznosci krótkoterminowe
2.1. Naleznosci od jednostek powiazanych
2.2. Naleznosci od pozostalych jednostek
3. Inwestycje krótkoterminowe
3.1. Krótkoterminowe aktywa finansowe
a) w jednostkach powiazanych
b) w pozostalych jednostkach
c) srodki pieniezne i inne aktywa pieniezne
3.2. Inne inwestycje krótkoterminowe
4. Krótkoterminowe rozliczenia miedzyokresowe
AKTYWA RAZEM
8,833
635,701
5,080
630,621
621,151
9,074
628,490
5,442
623,048
619,411
7,543
626,178
9,470
12,707
12,625
82
227,936
12,298
147,861
31,814
116,047
52,287
52,287
189
30,661
21,437
15,490
893,922
3,637
1,064
7,769
7,495
274
246,357
9,360
184,221
23,943
160,278
44,256
44,256
5,000
6,836
32,420
8,520
898,022
I. Kapital (fundusz) wlasny
1. Kapital zakladowy
2. Nalezne wplaty na kapital zakladowy (wielkosc ujemna)
3. Akcje (udzialy) wlasne (wielkosc ujemna)
4. Kapital zapasowy
5. Kapital z aktualizacji wyceny
6. Pozostale kapitaly rezerwowe
7. Zysk (strata) z lat ubieglych
8. Zysk (strata) netto
9. Odpisy z zysku netto w ciagu roku obrotowego (wlk. ujemna)
II. Zobowiazania i rezerwy na zobowiazania
1. Rezerwy na zobowiazania
1.1. Rezerwa z tytulu odroczonego podatku dochodowego
1.2. Rezerwa na swiadczenia emerytalne i podobne
- dlugoterminowa
- krótkoterminowa
1.3. Pozostale rezerwy
- dlugoterminowe
- krótkoterminowe
2. Zobowiazania dlugoterminowe
2.1. Wobec jednostek powiazanych
2.2. Wobec pozostalych jednostek
3. Zobowiazania krótkoterminowe
3.1. Wobec jednostek powiazanych
3.2. Wobec pozostalych jednostek
3.3. Fundusze specjalne
4. Rozliczenia miedzyokresowe
4.1. Ujemna wartosc firmy
4.2. Inne rozliczenia miedzyokresowe
- dlugoterminowe
- krótkoterminowe
PASYWA RAZEM
558,573
127,650
433,309
13,112
(15,498)
335,349
6,987
6,557
430
343
87
18,743
18,743
246,079
175,967
69,462
650
63,540
63,540
63,540
893,922
576,590
127,650
432,840
15,631
469
22,709
883,671
575,766
127,650
432,840
12,043
3,233
322,256
19,861
19,283
578
481
97
18,033
18,033
263,076
196,281
65,969
826
21,286
21,286
21,286
898,022
0
0
0
- wartosc firmy
1/24/2005
6:18 AM
5,331
5,197
134
231,138
2,449
158,916
34,553
124,363
60,642
60,642
26,125
34,517
0
9,131
883,671
307,081
4,486
4,056
430
343
87
-
21,512
21,512
258,374
191,104
66,651
619
22,709
22,709
626,178
625,114
-
Bilans
BUDIMEX S.A.
SAP 2004 BXSA_budinet.xls
POZYCJE POZABILANSOWE ( w tys. zl )
1. Naleznosci warunkowe
1.1. Od jednostek powiazanych (z tytulu)
- otrzymanych gwarancji i poreczen
- otrzymanych weksli jako zabezpieczenie
1.2. Od pozostalych jednostek (z tytulu)
- otrzymanych gwarancji i poreczen
- otrzymanych weksli jako zabezpieczenie
1.3. Inne (z tytulu)
- pozostale naleznosci warunkowe
2. Zobowiazania warunkowe
2.1. Na rzecz jednostek powiazanych (z tytulu)
- udzielonych gwarancji i poreczen
- wystawionych weksli jako zabezpieczenie
2.2. Na rzecz pozostalych jednostek (z tytulu)
- udzielonych gwarancji i poreczen
- wystawionych weksli jako zabezpieczenie
3. Inne (z tytulu)
- pozostale zobowiazania pozabilansowe
Pozycje pozabilansowe razem
Stan na
30.06.2004r.
Stan na
31.12.2003r.
125,780
122,228
122,161
67
3,552
3,028
524
397,562
248,069
248,069
149,493
139,216
10,277
-
110,417
105,067
105,000
67
5,350
4,706
644
-
(271,782)
(276,104)
386,521
211,457
211,457
175,064
163,623
11,441
-
Stan na
30.06.2003r.
7,328
67
67
7,261
5,816
1,445
307,836
160,974
160,974
146,862
134,992
11,870
(300,508)
Stan zobowiazan warunkowych na 30 czerwca 2004 roku nie uwzglednia Umów Poreczenia Wzajemnego Spólek Grupy Budimex w
wysokosci 602.698 tysiecy zlotych, na 31 grudnia 2003 roku w wysokosci 602.596 tysiecy zlotych i na 30 czerwca 2003 roku w wysokosci
603.109 tysiecy zlotych.
Wartosc ksiegowa
Liczba akcji
Wartosc ksiegowa na jedna akcje (w zl.)
Rozwodniona liczba akcji
Rozwodniona wartosc ksiegowa na jedna akcje (w zl.)
Zysk (strata) netto (zanualizowany)
Srednia wazona liczba akcji zwyklych
Zysk (strata) na jedna akcje zwykla (w zl.)
Srednia wazona rozwodniona liczba akcji zwyklych
Rozwodniony zysk (strata) na jedna akcje zwykla (w zl.)
1/24/2005
6:18 AM
Stan na
30.06.2004r.
558,573
25,530,098
21.88
-
Stan na
30.06.2003r.
575,766
25,530,098
22.55
-
I pólrocze od
01.01.04 do
30.06.04
I pólrocze od
01.01.03 do
30.06.03
25,530,098
-
25,530,098
-
Bilans
BUDIMEX S.A.
SAP 2004 BXSA_budinet.xls
Rachunek zysków i strat ( w tys. zl )
I. Przychody netto ze sprzedazy produktów, towarów i materialów, w tym:
- od jednostek powiazanych
1. Przychody netto ze sprzedazy produktów
2. Przychody netto ze sprzedazy towarów i materialów
II. Koszty sprzedanych produktów, towarów i materialów, w tym:
- jednostkom powiazanym
1. Koszt wytworzenia sprzedanych produktów
2. Wartosc sprzedanych towarów i materialów
III. Zysk (strata) brutto ze sprzedazy (I-II)
IV. Koszty sprzedazy
V. Koszty ogólnego zarzadu
VI. Zysk (strata) ze sprzedazy (III-IV-V)
VII. Pozostale przychody operacyjne
1. Zysk ze zbycia niefinansowych aktywów trwalych
2. Dotacje
3. Inne przychody operacyjne
VIII. Pozostale koszty operacyjne
1. Strata ze zbycia niefinansowych aktywów trwalych
2. Aktualizacja wartosci aktywów niefinansowych
3. Inne koszty operacyjne
IX. Zysk (strata) z dzialalnosci operacyjnej (VI+VII-VIII)
X. Przychody finansowe
1. Dywidendy i udzialy w zyskach, w tym:
- od jednostek powiazanych
2. Odsetki, w tym:
- od jednostek powiazanych
3. Zysk ze zbycia inwestycji
4. Aktualizacja wartosci inwestycji
5. Inne
XI. Koszty finansowe
1. Odsetki w tym:
- dla jednostek powiazanych
2. Strata ze zbycia inwestycji
3. Aktualizacja wartosci inwestycji
4. Inne
XII. Zysk (strata) z dzialalnosci gospodarczej (IX+X-XI)
XIII. Wynik zdarzen nadzwyczajnych (XIII.1. - XIII.2.)
1. Zyski nadzwyczajne
2. Straty nadzwyczajne
XIV. Zysk (strata) brutto (XII+/-XIII)
XV. Podatek dochodowy
a) czesc biezaca
b) czesc odroczona
XVI. Pozostale obowiazkowe zmniejszenia zysku (zwiekszenia straty)
XVII. Udzial w zyskach (stratach) netto jednostek podporzadkowanych wycenianych
metoda praw wlasnosci
XVIII. Zysk (strata) netto (XIV-XV-XVI+/-XVII)
1/24/2005
6:19 AM
1. pólrocze za okres 1. pólrocze za okres
od 01.01.04 do
od 01.01.03 do
30.06.04
30.06.03
162,747
274,178
18,533
17,991
162,745
2
158,382
274,172
6
241,157
65,016
147,345
158,382
0
4,365
5,798
20,842
(22,275)
2,789
106
0
2,683
1,878
0
1,148
730
(21,364)
6,215
978
241,151
6
33,021
8,783
17,361
6,877
4,733
187
4,546
3,297
2,388
909
8,313
5,417
400
370
1
209
145
3,594
1,498
4,220
3,268
330
4,315
2
9,468
3,862
2,165
2,462
270
682
(19,369)
0
(19,369)
(3,871)
1,055
(4,926)
(15,498)
2,347
3,259
4,262
(6)
6
4,256
1,023
1,458
(435)
3,233
RZiS
BUDIMEX S.A.
SAP 2004 BXSA_budinet.xls
ZESTAWIENIE ZMIAN W KAPITALE WLASNYM
I. Kapital wlasny na poczatek okresu (BO)
a) zmiany przyjetych zasad (polityki) rachunkowosci
b) korekty bledów podstawowych
I.a. Kapital wlasny na poczatek okresu (BO), po uzgodnieniu do
danych porównywalnych
1. Kapital zakladowy na poczatek okresu
1.1. Zmiany kapitalu zakladowego
a) zwiekszenie (z tytulu)
b) zmniejszenie (z tytulu)
1.2. Kapital zakladowy na koniec okresu
2. Nalezne wplaty na kapital zakladowy na poczatek okresu
2.1. Zmiany naleznych wplat na kapital zakladowy
a) zwiekszenie
b) zmniejszenie
2.2. Nalezne wplaty na kapital zakladowy na koniec okresu
3. Akcje (udzialy) wlasne na poczatek okresu
3.1. Zmiany akcji (udzialów) wlasnych
a) zwiekszenie
b) zmniejszenie
3.2. Akcje (udzialy) wlasne na koniec okresu
4. Kapital zapasowy na poczatek okresu
4.1. Zmiany kapitalu zapasowego
a) zwiekszenie (z tytulu)
- emisji akcji powyzej wartosci nominalnej
- z podzialu zysku (ustawowo)
- z podzialu zysku (ponad wymagana ustawowo minimalna wart.)
- przeniesienie z kapitalu rezerwowego z aktualizacji wyceny
- inne
b) zmniejszenie (z tytulu)
- pokrycia straty
- przeniesienie z kapitalu z aktualizacji wyceny
- inne
4.2. Kapital zapasowy na koniec okresu
5. Kapital z aktualizacji wyceny na poczatek okresu
a) zmiany przyjetych zasad (polityki) rachunkowosci
5.1. Zmiany kapitalu z aktualizacji wyceny
a) zwiekszenie (z tytulu)
- róznice kursowe z przeliczenia oddzialów zagranicznych
- róznice kursowe z przeliczenia inwestycji w walutach obcych
- inne
b) zmniejszenie (z tytulu)
- róznice kursowe z przeliczenia inwestycji w walutach obcych
- przeklasyfikowanie róznic kursowych z przeliczenia oddzialów
zagranicznych
5.2. Kapital z aktualizacji wyceny na koniec okresu
6. Pozostale kapitaly rezerwowe na poczatek okresu
6.1. Zmiany pozostalych kapitalów rezerwowych
a) zwiekszenie (z tytulu)
b) zmniejszenie (z tytulu)
6.2. Pozostale kapitaly rezerwowe na koniec okresu
7. Zysk (strata) z lat ubieglych na poczatek okresu
7.1. Zysk z lat ubieglych na poczatek okresu
a) zmiany przyjetych zasad (polityki) rachunkowosci
b) korekty bledów podstawowych
7.2. Zysk z lat ubieglych, na poczatek okresu, po uzgodnieniu do
danych porównywalnych
a) zwiekszenie (z tytulu)
b) zmniejszenie (z tytulu)
- podzialu zysku na kapital zapasowy
7.3. Zysk z lat ubieglych na koniec okresu
7.4. Strata z lat ubieglych na poczatek okresu
a) zmiany przyjetych zasad (polityki) rachunkowosci
b) korekty bledów podstawowych
7.5. Strata z lat ubieglych na poczatek okresu, po uzgodnieniu do
danych porównywalnych
a) zwiekszenie (z tytulu); z "-"
b) zmniejszenie (z tytulu); z "+"
- przeniesienia straty do pokrycia
7.6. Strata z lat ubieglych na koniec okresu
7.7. Zysk (strata) z lat ubieglych na koniec okresu
8. Wynik netto
a) zysk netto
1/24/2005
6:19 AM
1. pólrocze za
okres od 01.01.04
do 30.06.04
576,590
rok za okres od
01.01.03 do
31.12.03
1. pólrocze za
okres od 01.01.03
do 30.06.03
566,249
566,249
566,249
566,249
127,650
127,650
432,856
(16)
810
(826)
(826)
432,840
5,759
9,872
9,872
9,730
142
-
127,650
127,650
432,856
(16)
(16)
(16)
432,840
5,759
6,284
6,284
5,541
81
662
-
15,631
(16)
810
810
12,043
(16)
810
810
(469)
(469)
-
(810)
(810)
(826)
-
(826)
(810)
(810)
(826)
(826)
-
826
826
469
469
826
826
3,233
3,233
576,590
127,650
127,650
-
-
432,840
469
469
469
810
-
433,309
15,631
(2,519)
(2,519)
(36)
(2,483)
13,112
469
469
469
(15,498)
zm. w kap. wl.
BUDIMEX S.A.
SAP 2004 BXSA_budinet.xls
b) strata netto
c) odpisy z zysku
II. Kapital wlasny na koniec okresu (BZ )
III. Kapital wlasny, po uwzglednieniu proponowanego podzialu
zysku (pokrycia straty)
1/24/2005
6:19 AM
(15,498)
558,573
558,573
576,590
576,590
575,766
575,766
zm. w kap. wl.
BUDIMEX S.A.
SAP 2004 BXSA_budinet.xls
RACHUNEK PRZEPLYWÓW PIENIEZNYCH ( w tys. zl)
A. Przeplywy srodków pienieznych z dzialalnosci operacyjnej
I. Zysk (strata) netto
II. Korekty razem
1. Udzial w (zyskach) stratach netto jednostek podporzadkowanych
wycenianych metoda praw wlasnosci
2. Amortyzacja
3. (Zyski) straty z tytulu róznic kursowych
4. Odsetki i udzialy w zyskach (dywidendy)
5. (Zysk) strata z dzialalnosci inwestycyjnej
6. Zmiana stanu rezerw
7. Zmiana stanu zapasów
8. Zmiana stanu naleznosci
9. Zmiana stanu zobowiazan krótkoterm., z wyjatkiem pozyczek i kredytów
10. Zmiana stanu rozliczen miedzyokresowych
11. Inne korekty
III. Przeplywy pieniezne netto z dzialalnosci operacyjnej (I+/-II)
B. Przeplywy srodków pienieznych z dzialalnosci inwestycyjnej
I. Wplywy
1. Zbycie wartosci niematerialnych i prawnych oraz rzecz. aktywów trw.
2. Zbycie inwestycji w nieruchomosci oraz wartosci niemater. i prawne
3. Z aktywów finansowych, w tym:
a) w jednostkach powiazanych
- zbycie aktywów finansowych
- dywidendy i udzialy w zyskach
- splata udzielonych pozyczek dlugoterminowych
- odsetki
- inne wplywy z aktywów finansowych
b) w pozostalych jednostkach
- zbycie aktywów finansowych
- dywidendy i udzialy w zyskach
- splata udzielonych pozyczek dlugoterminowych
- odsetki
- inne wplywy z aktywów finansowych
4. Inne wplywy inwestycyjne
II. Wydatki
1. Nabycie wartosci niematerialnych i prawnych oraz rzecz. aktywów trw.
2. Inwestycje w nieruchomosci oraz wartosci niematerialne i prawne
3. Na aktywa finansowe, w tym:
a) w jednostkach powiazanych
- nabycie aktywów finansowych
- udzielone pozyczki dlugoterminowe
b) w pozostalych jednostkach
- nabycie aktywów finansowych
- udzielone pozyczki dlugoterminowe
4. Inne wydatki inwestycyjne
III. Przeplywy pieniezne netto z dzialalnosci inwestycyjnej (I-II)
C. Przeplywy srodków pienieznych z dzialalnosci finansowej
I. Wplywy
1. Wplywy netto z emisji akcji (wydania udzialów) i innych instrumentów
kapitalowych oraz doplat do kapitalu
2. Kredyty i pozyczki
3. Emisja dluznych papierów wartosciowych
4. Inne wplywy finansowe
II. Wydatki
1. Nabycie akcji (udzialów) wlasnych
2. Dywidendy i inne wyplaty na rzecz wlascicieli
3. Inne, niz wyplaty na rzecz wlascicieli, wydatki z tytulu podzialu zysku
4. Splaty kredytów i pozyczek
5. Wykup dluznych papierów wartosciowych
6. Z tytulu innych zobowiazan finansowych
7. Platnosci zobowiazan z tytulu umów leasingu finansowego
8. Odsetki
9. Inne wydatki finansowe
III. Przeplywy pieniezne netto z dzialalnosci finansowej (I-II)
D. Przeplywy pieniezne netto, razem (A.III+/-B.III+/-C.III)
E. Bilansowa zmiana stanu srodków pienieznych, w tym:
- zmiana stanu srodków pienieznych z tytulu róznic kursowych
F. Srodki pieniezne na poczatek okresu
G. Srodki pieniezne na koniec okresu (F+/- D), w tym:
- o ograniczonej mozliwosci dysponowania
1/24/2005
6:19 AM
1. pólrocze za
1. pólrocze za
okres od 01.01.04 okres od 01.01.03
do 30.06.03
do 30.06.04
(15,498)
(20,049)
3,233
3,625
-
-
2,575
(1,052)
3,107
(262)
2,501
(9,849)
11,083
(49,180)
27,096
(6,068)
(35,547)
1,226
2,082
2,895
(517)
777
(8,551)
182
7,428
(5,673)
3,776
6,858
19,493
201
1,071
232
-
-
19,292
145
145
839
439
230
-
209
-
19,147
19,147
400
-
400
-
23,755
2,670
3,500
1,483
-
-
20,882
1,746
1,746
17
17
17
19,136
-
19,136
203
(4,262)
2,000
(2,429)
32,159
5,000
-
-
32,159
-
5,000
5,430
11,459
-
-
1,479
235
2,772
5,000
373
-
3,343
3,687
-
-
-
26,729
(6,459)
(13,080)
(13,080)
(318)
34,517
21,437
2,166
(2,030)
(2,030)
542
34,450
32,420
4,787
cash flow
GRUPA BUDIMEX
SAPS 2309_Budinet.xls
w tys. zl.
WYBRANE DANE FINANSOWE
I. Przychody netto ze sprzedazy produktów, towarów i materialów
II. Zysk (strata) z dzialalnosci operacyjnej
III. Zysk (strata) brutto
IV. Zysk (strata) netto
V. Przeplywy pieniezne netto z dzialalnosci operacyjnej
VI. Przeplywy pieniezne netto z dzialalnosci inwestycyjnej
VII. Przeplywy pieniezne netto z dzialalnosci finansowej
VIII. Przeplywy pieniezne netto, razem
IX. Aktywa, razem
X. Zobowiazania i rezerwy na zobowiazania
XI. Zobowiazania dlugoterminowe
XII. Zobowiazania krótkoterminowe
XIII. Kapital wlasny
XIV. Kapital zakladowy
XV. Liczba akcji (w szt.)
XVI. Zysk (strata) na jedna akcje zwykla (w zl/EUR)
XVII. Rozwodniony zysk (strata) na jedna akcje zwykla (w zl/EUR)
XVIII. Wartosc ksiegowa na jedna akcje (w zl/EUR)
XIX. Rozwodniona wartosc ksiegowa na jedna akcje (w zl/EUR)
XX. Zadeklarowana lub wyplacona dywidenda na jedna akcje (w zl/EUR)
1/24/2005
6:21 AM
pólrocze / 2004
w tys. EUR
pólrocze / 2003
pólrocze / 2004
pólrocze / 2003
791,194
(12,531)
9,104
4,331
(123,441)
(8,557)
42,819
(89,179)
1,468,989
927,027
21,384
495,999
511,525
127,650
25,530,098
2.15
977,133
6,612
(586)
(4,816)
(46,843)
68,123
(19,574)
1,706
1,380,450
890,130
34,391
553,390
456,368
127,650
25,530,098
0.23
167,233
(2,649)
1,924
915
(26,091)
(1,809)
9,051
(18,850)
323,409
204,092
4,708
109,198
112,616
28,103
25,530,098
0.45
226,660
1,534
(136)
(1,117)
(10,866)
15,802
(4,540)
396
309,726
199,715
7,716
124,162
102,394
28,640
25,530,098
0.05
20.04
17.88
4.41
4.01
-
-
-
-
dodatkowe
Grupa BUDIMEX
SA-PSr 2003
SKONSOLIDOWANY BILANS
AKTYWA
I. Aktywa trwale
1. Wartosci niematerialne i prawne, w tym:
- wartosc firmy
2. Wartosc firmy jednostek podporzadkowanych
3. Rzeczowe aktywa trwale
4. Naleznosci dlugoterminowe
4.1. Od jednostek powiazanych
4.2. Od pozostalych jednostek
5. Inwestycje dlugoterminowe
5.1. Nieruchomosci
5.2. Wartosci niematerialne i prawne
5.3. Dlugoterminowe aktywa finansowe
a) w jednostkach powiazanych, w tym:
- udzialy lub akcje w jednostkach podporzadkowanych wyceniane
metoda praw wlasnosci
- udzialy lub akcje w jednostkach zaleznych i wspólzaleznych
nieobjetych konsolidacja
b) w pozostalych jednostkach
5.4. Inne inwestycje dlugoterminowe
6. Dlugoterminowe rozliczenia miedzyokresowe
6.1. Aktywa z tytulu odroczonego podatku dochodowego
6.2. Inne rozliczenia miedzyokresowe
II. Aktywa obrotowe
1. Zapasy
2. Naleznosci krótkoterminowe
2.1. Od jednostek powiazanych
2.2. Od pozostalych jednostek
3. Inwestycje krótkoterminowe
3.1. Krótkoterminowe aktywa finansowe
a) w jednostkach powiazanych
b) w pozostalych jednostkach
c) srodki pieniezne i inne aktywa pieniezne
3.2. Inne inwestycje krótkoterminowe
4. Krótkoterminowe rozliczenia miedzyokresowe
w tys. zl.
Nota
1
2
3
4.9
5
6
7
8.9
10
11
Aktywa razem
Komisja Papierów Wartosciowych i Gield
30.06.2004
31.12.2003
387,186
14,073
327
64,694
93,019
35,055
35,055
107,364
64,435
42,929
29,887
26,171
379,567
15,204
386
67,282
97,453
52,491
52,491
100,859
67,830
33,029
25,410
23,100
3,716
2,310
13,042
72,981
72,245
736
1,081,803
115,595
544,121
19,461
524,660
254,067
251,080
204
140,453
110,423
2,987
168,020
7,619
46,278
46,015
263
971,327
87,547
516,037
14,649
501,388
311,211
306,394
15
106,777
199,602
4,817
56,532
1,468,989
1,350,894
34
Grupa BUDIMEX
SA-PSr 2003
PASYWA
w tys. zl.
Nota
I. Kapital wlasny
1. Kapital zakladowy
2. Nalezne wplaty na kapital zakladowy (wielkosc ujemna)
3. Akcje (udzialy) wlasne (wielkosc ujemna)
4. Kapital zapasowy
5. Kapital z aktualizacji wyceny
6. Pozostale kapitaly rezerwowe
7. Róznice kursowe z przeliczenia jednostek podporzadkowanych
a) dodatnie róznice kursowe
b) ujemne róznice kursowe
8. Zysk (strata) z lat ubieglych
9. Zysk (strata) netto
13
14
15
16
17
18
10. Odpisy z zysku netto w ciagu roku obrotowego (wielkosc ujemna)
II. Kapitaly mniejszosci
III. Ujemna wartosc firmy jednostek podporzadkowanych
IV. Zobowiazania i rezerwy na zobowiazania
1. Rezerwy na zobowiazania
1.1. Rezerwa z tytulu odroczonego podatku dochodowego
1.2. Rezerwa na swiadczenia emerytalne i podobne
a) dlugoterminowa
b) krótkoterminowa
1.3. Pozostale rezerwy
a) dlugoterminowe
b) krótkoterminowe
2. Zobowiazania dlugoterminowe
2.1. Wobec jednostek powiazanych
2.2. Wobec pozostalych jednostek
3. Zobowiazania krótkoterminowe
3.1. Wobec jednostek powiazanych
3.2. Wobec pozostalych jednostek
3.3. Fundusze specjalne
4. Rozliczenia miedzyokresowe
4.1. Ujemna wartosc firmy
4.2. Inne rozliczenia miedzyokresowe
- dlugoterminowe
- krótkoterminowe
19
20
21
22
23
24
Pasywa razem
30.06.2004
31.12.2003
511,525
127,650
462,926
19,263
394
(103,039)
4,331
-
511,159
127,650
463,883
23,034
(149,162)
45,754
-
7,358
23,079
927,027
66,598
40,940
6,390
5,887
503
19,268
10,000
9,268
21,384
9
21,375
495,999
20,560
465,675
9,764
343,046
343,046
84,667
258,379
7,388
23,330
809,017
42,978
15,678
6,518
5,905
613
20,782
10,000
10,782
22,052
9
22,043
482,675
14,406
459,435
8,834
261,312
261,312
82,361
178,951
1,468,989
1,350,894
-
Wartosc ksiegowa (w tys. zl)
Liczba akcji
Wartosc ksiegowa na jedna akcje (w zl)
Rozwodniona liczba akcji
Rozwodniona wartosc ksiegowa na jedna akcje (w zl)
Komisja Papierów Wartosciowych i Gield
511,525
25,530,098
20
-
-
511,159
25,530,098
20.02
-
44
Grupa BUDIMEX
SA-PSr 2003
w tys. zl.
30.06.2003
-
377,833
15,928
724
69,975
112,607
3,171
3,171
104,372
72,452
31,920
29,743
29,127
616
2,177
71,780
71,278
502
1,002,617
134,393
625,779
725
625,054
152,007
146,567
715
27,983
117,869
5,440
90,438
1,380,450
Komisja Papierów Wartosciowych i Gield
54
Grupa BUDIMEX
SA-PSr 2003
w tys. zl.
30.06.2003
456,368
127,650
463,883
18,506
(148,855)
(4,816)
9,460
24,492
890,130
53,608
27,554
8,603
7,470
1,133
17,451
10,000
7,451
34,391
9
34,382
553,390
16,335
525,246
11,809
248,741
310
248,431
74,164
174,267
1,380,450
-
456,368
25,530,098
17.88
-
Komisja Papierów Wartosciowych i Gield
64
Grupa BUDIMEX
SA-PSr 2003
POZYCJE POZABILANSOWE
1. Naleznosci warunkowe
1.1. Od jednostek powiazanych (z tytulu)
- otrzymanych gwarancji i poreczen
- otrzymanych weksli jako zabezpieczenie
- inne naleznosci warunkowe
1.2. Od pozostalych jednostek (z tytulu)
- otrzymanych gwarancji i poreczen
- otrzymanych weksli jako zabezpieczenie
1.3. Inne (z tytulu)
- pozostale naleznosci warunkowe
2. Zobowiazania warunkowe
2.1. Na rzecz jednostek powiazanych (z tytulu)
- udzielonych gwarancji i poreczen
- wystawionych weksli jako zabezpieczenie
- inne zobowiazania warunkowe
2.2. Na rzecz pozostalych jednostek (z tytulu)
- udzielonych gwarancji i poreczen
- wystawionych weksli jako zabezpieczenie
3. Inne (z tytulu)
- pozostale zobowiazania pozabilansowe
Pozycje pozabilansowe razem
Nota
26
26
w tys. zl.
30.06.2004
541,251
376,191
375,997
194
164,338
61,663
102,675
722
722
1,055,464
387,907
387,392
515
667,557
617,194
50,363
3,000
3,000
(517,213)
31.12.2003
450,884
321,899
321,063
836
128,985
34,855
94,130
896,646
333,743
333,159
584
562,903
516,871
46,032
7,434
7,434
(453,196)
30.06.2003
171,750
6,038
5,844
194
160,018
51,240
108,778
5,694
5,694
856,560
226,438
226,312
126
630,122
585,248
44,874
13,842
13,842
(698,652)
Stan zobowiazan warunkowych na 30 czerwca 2004 roku nie uwzglednia Umów Poreczenia Wzajemnego Spólek Grupy Budimex w
wysokosci 602 698 tysiecy zlotych, na 31 grudnia 2003 roku w wysokosci 602 596 tysiecy zlotych i na 30 czerwca 2003 roku w
wysokosci 603 109 tysiecy zlotych.
Komisja Papierów Wartosciowych i Gield
36
Grupa BUDIMEX
SA-PSr 2003
SKONSOLIDOWANY RACHUNEK ZYSKÓW I STRAT
I. Przychody netto ze sprzedazy produktów, towarów i materialów, w tym:
- od jednostek powiazanych
1. Przychody netto ze sprzedazy produktów
2. Przychody netto ze sprzedazy towarów i materialów
II. Koszty sprzedanych produktów, towarów i materialów, w tym:
- jednostkom powiazanym
1. Koszt wytworzenia sprzedanych produktów
2. Wartosc sprzedanych towarów i materialów
III. Zysk (strata) brutto ze sprzedazy (I - II)
IV. Koszty sprzedazy
V. Koszty ogólnego zarzadu
VI. Zysk (strata) na sprzedazy (III - IV - V)
VII. Pozostale przychody operacyjne
1. Zysk ze zbycia niefinansowych aktywów trwalych
2. Dotacje
3. Inne przychody operacyjne
VIII. Pozostale koszty operacyjne
1. Strata ze zbycia niefinansowych aktywów trwalych
2. Aktualizacja wartosci aktywów niefinansowych
3. Inne koszty operacyjne
IX. Zysk (strata) z dzialalnosci operacyjnej (VI+VII -VIII)
X. Przychody finansowe
1. Dywidendy i udzialy w zyskach, w tym:
- od jednostek powiazanych
2. Odsetki, w tym:
- od jednostek powiazanych
3. Zysk ze zbycia inwestycji
4. Aktualizacja wartosci inwestycji
5. Inne
XI. Koszty finansowe
1. Odsetki, w tym:
- dla jednostek powiazanych
2. Strata ze zbycia inwestycji
3. Aktualizacja wartosci inwestycji
4. Inne
XII. Zysk (strata) na sprzedazy calosci lub czesci udzialów jednostek
podporzadkowanych
XIII. Zysk (strata) z dzialalnosci gospodarczej (IX+X-XI+/-XII)
XIV. Wynik zdarzen nadzwyczajnych (XIV.1. - XIV.2.)
1. Zyski nadzwyczajne
2. Straty nadzwyczajne
XV. Odpis wartosci firmy jednostek podporzadkowanych
XVI. Odpisy ujemnej wartosci firmy jednostek podporzadkowanych
XVII. Zysk (strata) brutto (XIII+/-XIV-XV+XVI)
XVIII. Podatek dochodowy
a) czesc biezaca
b) czesc odroczona
XIX. Pozostale obowiazkowe zmniejszenia zysku (zwiekszenia straty)
XX. Udzial w zyskach (stratach) netto jednostek podporzadkowanych
wycenianych metoda praw wlasnosci
XXI. (Zyski) straty mniejszosci
XXII. Zysk (strata) netto (XVII-XVIII-XIX+/-XX+/-XXI)
Zysk (strata) netto (zanualizowany)
Srednia wazona liczba akcji zwyklych
Zysk (strata) na jedna akcje zwykla (w zl.)
w tys. zl.
nota
27
28
29
29
29
30
31
32
33
34
35
36
37
38
39
01.01 - 30.06.2004
791,194
3,687
770,891
20,303
739,560
1,499
722,631
16,929
51,634
12,488
53,327
(14,181)
18,984
2,186
16,798
17,334
496
10,882
5,956
(12,531)
32,230
10
10,740
153
01.01 - 30.06.2003
21,329
151
8,784
1,664
46
2,268
277
4,575
(280)
977,133
234
959,141
17,992
882,173
1,973
868,428
13,745
94,960
10,218
63,674
21,068
10,840
684
16
10,140
25,296
3
16,199
9,094
6,612
13,748
400
5,703
683
4,315
2,647
21,005
3,171
43
606
10,033
7,195
(849)
10,635
(5)
5
2,633
1,107
9,104
4,574
6,083
(1,509)
156
(1,494)
314
331
17
2,601
3,195
(586)
5,286
3,353
1,933
125
(355)
4,331
931
(4,816)
54,901
25,530,098
2.15
5,834
25,530,098
0.23
28
Komisja Papierów Wartosciowych i Gield
Grupa BUDIMEX
SA-PSr 2003
ZESTAWIENIE ZMIAN W SKONSOLIDOWANYM KAPITALE WLASNYM
I. Kapital wlasny na poczatek okresu (BO)
a) zmiany przyjetych zasad (polityki) rachunkowosci
b) korekty bledów podstawowych
I.a. Kapital wlasny na poczatek okresu (BO), po uzgodnieniu do danych
porównywalnych
1. Kapital zakladowy na poczatek okresu
1.1. Zmiany kapitalu zakladowego
a) zwiekszenia (z tytulu)
b) zmniejszenia (z tytulu)
1.2. Kapital zakladowy na koniec okresu
2. Nalezne wplaty na kapital zakladowy na poczatek okresu (wielkosc ujemna)
2.1. Zmiany naleznych wplat na kapital zakladowy
a) zwiekszenie
b) zmniejszenie
2.2. Nalezne wplaty na kapital zakladowy na koniec okresu (wielkosc ujemna)
3. Akcje (udzialy) wlasne na poczatek okresu (wielkosc ujemna)
3.1. Zmiany akcji (udzialów) wlasnych
a) zwiekszenie
b) zmniejszenie
3.2. Akcje (udzialy) wlasne na koniec okresu (wielkosc ujemna)
4. Kapital zapasowy na poczatek okresu
4.1. Zmiany kapitalu zapasowego
a) zwiekszenie (z tytulu)
- emisji akcji powyzej wartosci nominalnej
- z podzialu zysku (ustawowo)
- z podzialu zysku (ponad wymagana ustawowo minimalna wartosc)
- zbycia srodków trwalych
- inne
b) zmniejszenie (z tytulu)
- pokrycia straty
- inne (w tym zbycie srodków trwalych)
4.2. Kapital zapasowy na koniec okresu
5. Kapital z aktualizacji wyceny na poczatek okresu
a) zmiany przyjetych zasad (polityki) rachunkowosci
5. Kapital z aktualizacji wyceny na poczatek okresu po uzgodnieniu do danych
porównywalnych
5.1. Zmiany kapitalu z aktualizacji wyceny
a) zwiekszenie (z tytulu)
- róznice kursowe z przeliczenia oddzialów zagranicznych
- róznice kursowe z przeliczenia inwestycji w walutach obcych
- inne
b) zmniejszenia (z tytulu)
- zbycia srodków trwalych
- róznice kursowe z przeliczenia inwestycji w walutach obcych
- róznice kursowe z przeliczenia oddzialów zagranicznych
- inne
5.2. Kapital z aktualizacji wyceny na koniec okresu
6. Pozostale kapitaly rezerwowe na poczatek okresu
6.1. Zmiany pozostalych kapitalów rezerwowych
a) zwiekszenie (z tytulu)
- podzial zysku
b) zmniejszenia (z tytulu)
6.2. Pozostale kapitaly rezerwowe na koniec okresu
7. Róznice kursowe z przeliczenia jednostek podporzadkowanych
Komisja Papierów Wartosciowych i Gield
w tys. zl.
01.01 - 30.06.2004
511,159
01.01. - 31.12.2003 01.01 - 30.06.2003
454,959
449,466
5,493
511,159
454,959
454,959
127,650
127,650
463,883
(957)
20
20
(977)
(943)
(34)
462,926
23,034
127,650
127,650
465,756
(1,873)
56
56
(1,929)
(1,824)
(105)
463,883
12,232
23,034
12,232
127,650
127,650
465,756
(1,873)
24
24
(1,897)
(1,824)
(73)
463,883
6,739
5,493
12,232
(3,771)
34
34
(3,805)
(20)
(36)
(3,749)
10,802
10,907
10,765
142
(105)
(56)
(49)
23,034
-
6,274
6,298
6,209
89
(24)
(24)
18,506
-
19,263
394
394
394
394
-
38
Grupa BUDIMEX
SA-PSr 2003
8. Zysk (strata) z lat ubieglych na poczatek okresu
8.1. Zysk z lat ubieglych na poczatek okresu
a) zmiany przyjetych zasad (polityki) rachunkowosci
b) korekty bledów podstawowych
8.2. Zysk z lat ubieglych na poczatek okresu, po uzgodnieniu do danych
porównywalnych
a) zwiekszenie
b) zmniejszenie (z tytulu)
- podzialu zysku na kapital zapasowy
- przeniesienie straty z roku
- podzialu zysku poza kapitaly grupy
- inne
8.3. Zysk z lat ubieglych na koniec okresu
8.4. Strata z lat ubieglych na poczatek okresu
a) zmiany przyjetych zasad (polityki) rachunkowosci
b) korekty bledów podstawowych
8.5. Strata z lat ubieglych na poczatek okresu, po uzgodnieniu do danych
porównywalnych
a) zwiekszenie (z tytulu)
- przeniesienia straty z lat ubieglych do pokrycia
- inne
b) zmniejszenie (z tytulu)
- przeniesienia straty do pokrycia
- korekty bledu podstawowego
8.6. Strata z lat ubieglych na koniec okresu
8.7. Zysk (strata) z lat ubieglych na koniec okresu
9. Wynik netto
a) zysk netto
b) strata netto
c) odpisy z zysku
II. Kapital wlasny na koniec okresu (BZ )
w tys. zl.
(103,408)
-
(150,679)
-
(150,679)
-
(87)
(87)
(87)
(103,408)
(103,408)
(150,679)
(150,679)
(150,679)
(150,679)
(93)
(93)
549
549
(102,952)
(103,039)
4,331
4,331
(307)
(307)
1,824
1,824
(149,162)
(149,162)
45,754
45,754
511,159
511,159
1,824
1,824
(148,855)
(148,855)
(4,816)
(4,816)
456,368
456,368
511,525
511,525
III. Kapital wlasny, po uwzglednieniu proponowanego podzialu zysku (pokrycia straty)
Komisja Papierów Wartosciowych i Gield
48
Grupa BUDIMEX
SA-PSr 2003
SKONSOLIDOWANY RACHUNEK PRZEPLYWÓW PIENIEZNYCH
A. Przeplywy srodków pienieznych z dzialalnosci operacyjnej
I. Zysk (strata) netto
II. Korekty razem
1. Zyski (straty) mniejszosci
2. Udzial w (zyskach) stratach netto jednostek podporzadkowanych wycenianych metoda
praw wlasnosci
3. Amortyzacja, w tym:
- odpisy wartosci firmy jednostek podporzadkowanych lub ujemnej wartosci firmy
jednostek podporzadkowanych
4. (Zyski) straty z tytulu róznic kursowych
5. Odsetki i udzialy w zyskach (dywidendy)
6. (Zysk) strata z dzialalnosci inwestycyjnej
7. Zmiana stanu rezerw
8. Zmiana stanu zapasów
9. Zmiana stanu naleznosci
10. Zmiana stanu zobowiazan krótkoterminowych, z wyjatkiem pozyczek i kredytów
11. Zmiana stanu rozliczen miedzyokresowych
12. Inne korekty
III. Przeplywy pieniezne netto z dzialalnosci operacyjnej (I +/- II)
B. Przeplywy srodków pienieznych z dzialalnosci inwestycyjnej
I. Wplywy
1. Zbycie wartosci niematerialnych i prawnych oraz rzeczowych aktywów trwalych
2. Zbycie inwestycji w nieruchomosci oraz wartosci niematerialne i prawne
3. Z aktywów finansowych, w tym:
a) w jednostkach powiazanych
- zbycie aktywów finansowych
- dywidendy i udzialy w zyskach
- splata udzielonych pozyczek dlugoterminowych
- odsetki
- inne wplywy z aktywów finansowych
b) w pozostalych jednostkach
- zbycie aktywów finansowych
- dywidendy i udzialy w zyskach
- splata udzielonych pozyczek dlugoterminowych
- odsetki
- inne wplywy z aktywów finansowych
4. Inne wplywy inwestycyjne
II. Wydatki
1. Nabycie wartosci niematerialnych i prawnych oraz rzeczowych aktywów trwalych
2. Inwestycje w nieruchomosci oraz wartosci niematerialne i prawne
3. Na aktywa finansowe, w tym:
a) w jednostkach powiazanych
- nabycie aktywów finansowych
- udzielone pozyczki dlugoterminowe
b) w pozostalych jednostkach
- nabycie aktywów finansowych
- udzielone pozyczki dlugoterminowe
4. Dywidendy i inne udzialy w zyskach wyplacone mniejszosci
5. Inne wydatki inwestycyjne
III. Przeplywy pieniezne netto z dzialalnosci inwestycyjnej (I - II)
Komisja Papierów Wartosciowych i Gield
w tys. zl.
01.01 - 30.06.2004 01.01 - 30.06.2003
4,331
(127,772)
355
(156)
(4,816)
(42,027)
(931)
(125)
14,117
1,526
14,946
(594)
(859)
(133)
(1,846)
23,620
(28,048)
(22,162)
(36,994)
(56,457)
(19,209)
(123,441)
2,563
1,381
521
15,749
1,160
(3,383)
(28,353)
(52,127)
6,572
(46,843)
1,152,479
14,800
471
1,134,683
153
145
8
1,134,530
1,133,003
1,097
430
2,525
1,161,036
8,641
1,152,192
2,717
1,947
770
1,149,475
1,149,475
203
(8,557)
737,565
1,779
735,786
316
230
86
735,470
734,249
400
821
669,442
8,055
661,374
92
92
661,282
661,282
13
68,123
40
Grupa BUDIMEX
SA-PSr 2003
C. Przeplywy srodków pienieznych z dzialalnosci finansowej
I. Wplywy
1. Wplywy netto z emisji akcji (wydania udzialów) i innych instrumentów kapitalowych
oraz doplat do kapitalu
2. Kredyty i pozyczki
3. Emisja dluznych papierów wartosciowych
4. Inne wplywy finansowe
II. Wydatki
1. Nabycie akcji (udzialów) wlasnych
2. Dywidendy i inne wyplaty na rzecz wlascicieli
3. Inne, niz wyplaty na rzecz wlascicieli, wydatki z tytulu podzialu zysku
4. Splaty kredytów i pozyczek
5. Wykup dluznych papierów wartosciowych
6. Z tytulu innych zobowiazan finansowych
7. Platnosci zobowiazan z tytulu umów leasingu finansowego
8. Odsetki
9. Inne wydatki finansowe
III. Przeplywy pieniezne netto z dzialalnosci finansowej (I - II)
D. Przeplywy pieniezne netto, razem (A.III. +/- B.III. +/- C.III.)
E. Bilansowa zmiana srodków pienieznych, w tym:
- zmiana srodków pienieznych z tytulu róznic kursowych
F. Srodki pieniezne na poczatek okresu
G. Srodki pieniezne na koniec okresu (F +/- D), w tym:
- o ograniczonej mozliwosci dysponowania
Komisja Papierów Wartosciowych i Gield
w tys. zl.
46,481
-
5,874
-
46,481
3,662
1,479
235
373
1,169
406
42,819
(89,179)
(89,179)
(317)
199,602
110,423
5,216
3,243
2,600
31
25,448
22,579
55
2,803
11
(19,574)
1,706
1,706
547
116,163
117,869
9,795
50
Grupa BUDIMEX
w tys. zl.
SA-PSr 2003
Noty objasniajace do skonsolidowanego bilansu
Nota 1A
WARTOSCI NIEMATERIALNE I PRAWNE
a) koszty zakonczonych prac rozwojowych
b) wartosc firmy
c) nabyte koncesje, patenty, licencje i podobne wartosci, w tym:
- oprogramowanie komputerowe
d) inne wartosci niematerialne i prawne
e) zaliczki na wartosci niematerialne i prawne
Wartosci niematerialne i prawne, razem
30.06.2004
327
12,471
8,288
1,275
14,073
31.12.2003
386
13,756
9,340
1,062
15,204
30.06.2003
724
11,108
6,767
4,096
15,928
30.06.2004
14,073
-
31.12.2003
15,204
-
30.06.2003
15,928
-
Nota 1C
WARTOSCI NIEMATERIALNE I PRAWNE (struktura wlasnosciowa)
a) wlasne
b) uzywane na podstawie umowy najmu, dzierzawy lub innej umowy, w tym
umowy leasingu
Wartosci niematerialne i prawne, razem
14,073
15,204
15,928
OK
OK
OK
Na dzien 30 czerwca 2004 roku oraz na 30 czerwca 2003 roku jednostki wchodzace w sklad Grupy nie posiadaly istotnych obciazen wartosci
niematerialnych i prawnych o charakterze prawnorzeczowym i obligacyjnym.
W pierwszym pólroczu 2004 i 2003 roku nie dokonywano nieplanowych odpisów amortyzacyjnych wartosci niematerialnych i prawnych.
Komisja Papierów Wartosciowych i Gield
42
Grupa BUDIMEX
SA-PSr 2003
w tys. zl.
Nota 1B
ZMIANY WARTOSCI NIEMATERIALNYCH I PRAWNYCH
a) koszty
zakonczonych
prac
rozwojowych
a) wartosc brutto wartosci niematerialnych i
prawnych na poczatek okresu
b) zwiekszenia (z tytulu)
- zakup
- przekazanie zaliczek
- rozliczenie zaliczek
c) zmniejszenia (z tytulu)
- zmiana skladu Grupy
- wyksiegowanie calk. umorzonych
- rozliczenie zaliczek
- inne zmniejszenia
d) wartosc brutto wartosci niematerialnych i
prawnych na koniec okresu
e) skumulowana amortyzacja na poczatek
okresu
f) amortyzacja za okres (z tytulu)
- amortyzacja biezaca
- zmiana skladu Grupy
- wyksiegowanie calk. umorzonych
- pozostale
g) skumulowana amortyzacja (umorzenie) na
koniec okresu
h) odpisy z tytulu trwalej utraty wartosci na
poczatek okresu
- zwiekszenie
- zmniejszenie
i) odpisy z tytulu trwalej utraty wartosci na
koniec okresu
j) wartosc netto wartosci niematerialnych i
prawnych na koniec okresu
(wg grup rodzajowych)
c) nabyte koncesje,
- nabyte
patenty, licencje i
oprogramowanie
b) wartosc firmy
podobne wartosci,
komputerowe
w tym:
e) zaliczki na
d) inne wartosci
wartosci
niematerialne i
niematerialne i
prawne
prawne
Wartosci
niematerialne i
prawne, razem
-
1,872
20,080
14,946
118
-
1,872
495
453
42
461
215
57
189
20,114
366
324
42
284
215
57
12
15,028
118
1,275
750
453
255
42
503
215
57
42
189
23,379
-
1,486
6,324
5,606
118
-
7,928
-
59
59
1,545
1,319
1,601
(197)
(57)
(28)
7,643
1,134
1,390
(197)
(57)
(2)
6,740
118
-
1,378
1,601
(197)
(57)
31
9,306
-
-
-
-
-
-
-
-
-
-
-
-
-
-
-
327
12,471
Komisja Papierów Wartosciowych i Gield
8,288
1,062
-
-
23,132
255
255
42
42
-
1,275
14,073
43
Grupa BUDIMEX
SA-PSr 2003
w tys. zl.
Nota 2A
WARTOSC FIRMY JEDNOSTEK PODPORZADKOWANYCH
a) wartosc firmy - jednostki zalezne
b) wartosc firmy - jednostki wspólzalezne
c) wartosc firmy - jednostki stowarzyszone
Wartosc firmy jednostek podporzadkowanych, razem
30.06.2004
64,694
64,694
31.12.2003
67,282
67,282
30.06.2003
69,975
69,975
30.06.2004
31.12.2003
30.06.2003
Nota 2B
ZMIANA STANU WARTOSCI FIRMY - JEDNOSTKI
ZALEZNE
a) wartosc firmy brutto na poczatek okresu
b) zwiekszenia z tytulu:
- zakup akcji
- inne
c) zmniejszenia z tytulu:
- inne
d) wartosc firmy brutto na koniec okresu
e) odpis wartosci firmy na poczatek okresu
f) odpis wartosci firmy za okres (z tytulu):
- odpisu za okres sprawozdawczy
- inne
g) odpis wartosci firmy na koniec okresu
h) wartosc firmy netto na koniec okresu
89,210
45
45
89,255
21,928
2,633
2,633
24,561
64,694
89,704
85
25
60
579
579
89,210
16,636
5,292
5,379
(87)
21,928
67,282
89,704
579
579
89,125
16,636
2,514
2,601
(87)
19,150
69,975
Nota 2C
ZMIANA STANU WARTOSCI FIRMY - JEDNOSTKI
WSPÓLZALEZNE
a) wartosc firmy brutto na poczatek okresu
b) zwiekszenia
c) zmniejszenia
d) wartosc firmy brutto na koniec okresu
e) odpis wartosci firmy na poczatek okresu
f) odpis wartosci firmy za okres
g) odpis wartosci firmy na koniec okresu
h) wartosc firmy netto na koniec okresu
30.06.2004
-
31.12.2003
-
30.06.2003
-
Nota 2D
ZMIANA STANU WARTOSCI FIRMY - JEDNOSTKI
STOWARZYSZONE
a) wartosc firmy brutto na poczatek okresu
b) zwiekszenia
c) zmniejszenia z tytulu:
d) wartosc firmy brutto na koniec okresu
e) odpis wartosci firmy na poczatek okresu
f) odpis wartosci firmy za okres (z tytulu):
g) odpis wartosci firmy na koniec okresu
h) wartosc firmy netto na koniec okresu
30.06.2004
Komisja Papierów Wartosciowych i Gield
-
31.12.2003
-
30.06.2003
-
44
Grupa BUDIMEX
SA-PSr 2003
w tys. zl.
Nota 2E
ZMIANA STANU WARTOSCI FIRMY - JEDNOSTKI ZALEZNE
Bx Dromex
S.A.
a) wartosc brutto na 01.01.2004r.
b) zwiekszenia
c) zmniejszenia
d) wartosc brutto na 30.06.2004r.
e) odpis wartosci firmy na 01.01.2004r.
f) odpis wartosci firmy za okres (z tytulu):
- odpis roczny
- inne
g) odpis wartosci firmy na 30.06.2004r.
h) wartosc netto na koniec okresu
87,625
87,625
20,455
2,549
2,549
23,004
64,621
Centrum
Budimex
Bx Poznan Inzynieria Dromex
Konferencyjne Nieruchomosci Developer Bialystok Cieszyn
Budimex Sp. z o.o.
Sp. z o.o.
Sp. z o.o.
S.A.
Sp. z o.o.
2
145
311
633
156
2
145
311
633
156
2
113
311
598
111
9
8
22
9
8
22
2
122
311
606
133
23
27
23
Budchem
Bx
Sp. z o.o. Zacisze
Sp. z o.o.
300
10
300
10
300
10
300
10
-
Bx
Zawiszy
Wilczak Sp. z o.o.
Sp. z o.o.
28
38
7
38
35
28
38
7
38
7
38
35
-
Razem
89,210
45
89,255
21,928
2,633
2,633
24,561
64,694
Sposób ustalenia wartosci firmy z konsolidacji opisano we wstepie do SA-PSr 2004 w nocie 12 - "Podstawowe zasady wyceny aktywów i pasywów Grupy Kapitalowej oraz
ustalania wyniku finansowego".
Komisja Papierów Wartosciowych i Gield
45
Grupa BUDIMEX
w tys. zl.
SA-PSr 2003
Nota 3A
RZECZOWE AKTYWA TRWALE
a) srodki trwale, w tym:
- grunty (w tym prawo uzytkowania wieczystego gruntu)
- budynki, lokale i obiekty inzynierii ladowej i wodnej
- urzadzenia techniczne i maszyny
- srodki transportu
- inne srodki trwale
b) srodki trwale w budowie
c) zaliczki na srodki trwale w budowie
Rzeczowe aktywa trwale, razem
30.06.2004
88,355
12,132
32,002
30,500
9,341
4,380
4,664
93,019
31.12.2003
95,289
12,179
32,838
35,682
9,605
4,985
2,145
19
97,453
30.06.2003
110,155
10,899
34,922
47,476
11,190
5,668
2,452
112,607
30.06.2004
88,305
50
31.12.2003
95,231
58
30.06.2003
109,864
291
Nota 3C
SRODKI TRWALE BILANSOWE
a) wlasne
b) uzywane na podstawie umowy najmu, dzierzawy lub innej
umowy, w tym umowy leasingu, w tym:
- srodki trwale w leasingu
Srodki trwale bilansowe, razem
50
88,355
58
95,289
-
-
291
110,155
-
Nota 3D
SRODKI TRWALE WYKAZYWANE POZABILANSOWO
uzywane na podstawie umowy najmu, dzierzawy lub innej
umowy, w tym umowy leasingu, w tym:
- srodki trwale w dzierzawie i leasingu
- inne
Srodki trwale pozabilansowe, razem
30.06.2004
12,432
12,091
341
12,432
31.12.2003
28,019
28,019
28,019
30.06.2003
8,709
8,709
8,709
Na dzien 30 czerwca 2004 roku jednostki wchodzace w sklad Grupy posiadaly obciazenia rzeczowych aktywów trwalych
(hipoteki kaucyjne) w kwocie 13 534 tysiecy EURO i 92 000 tysiecy zlotych (na
30 czerwca 2003 roku obciazenia te wynosily 7 136 tysiecy EURO i 5 000 tysiecy zlotych).
Pozostale obciazenia sa przedstawione w notach 22D i 23C.
Jednostki Grupy nie dokonaly odpisów aktualizujacych wartosc srodków trwalych.
Wartosc gruntów uzytkowanych wieczyscie przez jednostki powiazane na dzien 30 czerwca 2004 roku wynosi 5 058 tysiecy
zlotych (na 30 czerwca 2003 roku wynosila 2 057 tysiecy zlotych).
Komisja Papierów Wartosciowych i Gield
46
Grupa BUDIMEX
SA-PSr 2003
w tys. zl.
Nota 3B
ZMIANY SRODKÓW TRWALYCH (wg grup rodzajowych)
- grunty (w tym
prawo wieczystego
uzytkowania gruntu)
a) wartosc brutto srodków trwalych na poczatek
okresu
b) zwiekszenia (z tytulu)
- zakup
- inne zwiekszenia
c) zmniejszenia (z tytulu)
- zmiana skladu Grupy
- likwidacja, zlomowanie
- sprzedaz
- inne zmniejszenia
d) wartosc brutto srodków trwalych na koniec
okresu
e) skumulowana amortyzacja (umorzenie) na
poczatek okresu
f) amortyzacja za okres (z tytulu)
- amortyzacja biezaca
- zmiana skladu Grupy
- likwidacja, zlomowanie
- sprzedaz
- inne
g) skumulowana amortyzacja (umorzenie) na
koniec okresu
h) odpisy z tytulu trwalej utraty wartosci na
poczatek okresu
- zwiekszenie
- zmniejszenie
i) odpisy z tytulu trwalej utraty wartosci na koniec
okresu
j) wartosc netto srodków trwalych na koniec okresu
12,179
-
- budynki, lokale i
- urzadzenia
obiekty inzynierii
- srodki transportu
techniczne i maszyny
ladowej i wodnej
51,848
134,647
43,035
- inne srodki trwale
23,514
srodki trwale, razem
265,223
600
121
479
982
792
185
5
51,466
1,269
917
352
3,800
349
1,155
2,122
174
132,116
2,041
2,021
20
2,674
134
244
2,170
126
42,402
911
788
123
3,360
217
1,582
1,264
297
21,065
4,821
3,847
974
10,863
700
3,773
5,788
602
259,181
-
16,104
88,863
32,782
16,272
154,021
-
454
746
(294)
(70)
72
16,558
2,651
5,871
(295)
(1,092)
(1,764)
(69)
91,514
(369)
1,960
(117)
(203)
(1,897)
(112)
32,413
(1,619)
1,084
(193)
(1,557)
(921)
(32)
14,653
1,117
9,661
(605)
(3,146)
(4,652)
(141)
155,138
-
2,906
10,102
648
2,257
15,913
-
2,906
10,102
648
225
2,032
225
15,688
32,002
30,500
9,341
4,380
88,355
47
47
12,132
12,132
Komisja Papierów Wartosciowych i Gield
47
Grupa BUDIMEX
w tys. zl.
SA-PSr 2003
Nota 4A
NALEZNOSCI DLUGOTERMINOWE
a) od jednostek powiazanych, w tym:
- od jednostek zaleznych
- od jednostek wspólzaleznych
- od jednostek stowarzyszonych
- od znaczacego inwestora
- od jednostki dominujacej
b) od pozostalych jednostek
- pozyczki z funduszu mieszkaniowego
- kaucje i gwarancje na rzecz banków i firm
- naleznosci z tutulu sprzedazy nieruchomosci
- pozostale
Naleznosci dlugoterminowe netto
c) odpisy aktualizujace wartosc naleznosci
Naleznosci dlugoterminowe brutto
30.06.2004
35,055
235
259
34,108
453
35,055
35,055
31.12.2003
52,491
1,635
49,849
1,007
52,491
52,491
30.06.2003
3,171
1,340
1,831
3,171
3,171
30.06.2004
52,491
113
83
30
17,549
31
15,883
1,635
35,055
35,055
31.12.2003
53,233
50,102
3,074
57
742
9
52
670
11
52,491
52,491
30.06.2003
3,283
207
11
3,065
112
24
88
3,171
3,171
30.06.2004
31.12.2003
30.06.2003
Nota 4B
ZMIANA STANU NALEZNOSCI DLUGOTERMINOWYCH (wg tytulów)
a) stan na poczatek okresu
b) zwiekszenia (z tytulu):
- biezace transakcje
- przejecie pozyczek z Funduszu Mieszkaniowego
- zmiana klasyfikacji naleznosci z krótkoterminowych
- inne
c) zmniejszenia (z tytulu):
- zmiana skladu Grupy
- otrzymane zaplaty
- przeniesienie do naleznosci krótkoterminowych
- splata kaucji na zabezpieczenie gwarancji
- róznic kursowych
d) stan na koniec okresu
Naleznosci dlugoterminowe razem
Nota 4C
ZMIANA STANU ODPISÓW AKTUALIZUJACYCH WARTOSC
NALEZNOSCI DLUGOTERMINOWYCH
a) stan na poczatek okresu
b) zwiekszenia
c) zmniejszenia
Stan odpisów aktualizujacych wartosc naleznosci dlugoterminowych na koniec
okresu
-
-
-
Nota 4D
NALEZNOSCI DLUGOTERMINOWE (struktura walutowa)
a) w walucie polskiej
b) w walutach obcych (wg walut i po przeliczeniu na zl.)
b2. jednostka/waluta tys. / USD
tys. zl.
Naleznosci dlugoterminowe, razem
30.06.2004
35,055
35,055
31.12.2003
50,881
1,610
430
1,610
52,491
30.06.2003
1,550
1,621
430
1,621
3,171
Naleznosci dlugoterminowe jednostek Grupy Budimex nie podlegaly istotnym obciazeniom o charakterze prawnorzeczowym i obligacyjnym w I
pólroczu 2004 i 2003 roku. W okresie sprawozdawczym konczacym sie 30 czerwca 2004 roku ani w analogicznym okresie roku poprzedniego nie
dokonywano odpisów aktualizujacych wartosc naleznosci dlugoterminowych.
Komisja Papierów Wartosciowych i Gield
48
Grupa Budimex
SA-PSr 2003
w tys. zl.
Na dzien 30 czerwca 2004 roku, 31 grudnia 2003 roku i 30 czerwca 2003 roku jednostki Grupy nie posiadaly istotnych obciazen
inwestycji dlugoterminowych o charakterze prawnorzeczowym i obligacyjnym.
Wysokosc odpisów aktualizujacych wartosc dlugoterminowych aktywów finansowych wyniosla w pierwszym pólroczu 2004 roku
wartosc 1 148 tysiecy zlotych i 271 tysiecy zlotych w pierwszym pólroczu 2003 roku, uwzgledniajac udzial w wynikach spólek
konsolidowanych metoda praw wlasnosci oraz przewidywany spadek korzysci ekonomicznych z posiadanych akcji i udzialów.
Nota 5A
ZMIANA STANU NIERUCHOMOSCI (wg grup rodzajowych)
Stan na poczatek okresu (wg grup rodzajowych):
- grunty
- budynki, lokale i obiekty inzynierii ladowej i wodnej
- inne nieruchomosci
A. Grunty
a) stan na poczatek okresu
b) zwiekszenia (z tytulu)
- zakup
- wprowadzenie na stan gruntu lesingowanego
- podwyzszenie wartosci z wyceny
- inne
c) zmniejszenia
- przeniesienie na towary
- sprzedaz
- aktualizacja
- inne
d) stan na koniec okresu
B. Budynki, lokale i obiekty inzynierii ladowej i wodnej
a) stan na poczatek okresu
b) zwiekszenia
- wprowadzenie na stan budynku lesingowanego
- zakup
- inne
- rozwiazanie odpisu aktualizujacego
c) zmniejszenia
- amortyzacja
- sprzedaz
- odpis aktualizujacy
- inne
- przeniesienie na towary
d) stan na koniec okresu
C. Inne nieruchomosci
a) stan na poczatek okresu
b) zwiekszenia
- zakup
- inne
c) zmniejszenia
- amortyzacja
- sprzedaz
d) stan na koniec okresu
Stan na koniec okresu (wg grup rodzajowych):
- grunty
- budynki, lokale i obiekty inzynierii ladowej i wodnej
- inne nieruchomosci
Nieruchomosci, razem
30.06.2004
67,830
13,868
53,786
176
13,868
20
20
1,363
600
762
1
12,525
53,786
231
8
219
4
2,290
1,319
945
26
51,727
176
19
19
12
10
2
183
64,435
12,525
51,727
183
64,435
31.12.2003
81,197
19,088
61,946
163
19,088
971
3
436
148
384
6,191
5,990
174
27
13,868
61,946
5,497
5,488
9
13,657
2,356
169
5,166
5,966
53,786
163
34
34
21
21
176
67,830
13,868
53,786
176
67,830
30.06.2003
81,197
19,088
61,946
163
19,088
-
4,782
4,700
82
14,306
61,946
77
77
4,030
1,032
2,998
57,993
163
10
10
153
72,452
14,306
57,993
153
72,452
Nota 5B
ZMIANA STANU WARTOSCI NIEMATERIALNYCH I
PRAWNYCH (wg grup rodzajowych)
a) stan na poczatek okresu
b) zwiekszenia
Komisja Papierów Wartosciowych i Gield
30.06.2004
-
31.12.2003
-
30.06.2003
-
49
Grupa Budimex
SA-PSr 2003
c) zmniejszenia
d) stan na koniec okresu
Wartosci niematerialne i prawne, razem
w tys. zl.
-
-
-
Nota 5C
DLUGOTERMINOWE AKTYWA FINANSOWE
a) w jednostkach zaleznych i wspólzaleznych niepodlegajacych
konsolidacji
- udzialy lub akcje
- udzielone pozyczki
b) w jednostkach zaleznych, wspólzaleznych i stowarzyszonych
wycenianych metoda praw wlasnosci
- udzialy lub akcje
c) w pozostalych jednostkach
- udzialy lub akcje
- dluzne papiery wartosciowe
- obligacje
- inne papiery wartosciowe (wg rodzaju)
- bony mieszkaniowe
- udzielone pozyczki
- inne dlugoterminowe aktywa finansowe (wg rodzaju)
- lokaty powyzej 1 roku
- inne
Dlugoterminowe aktywa finansowe, razem
Komisja Papierów Wartosciowych i Gield
30.06.2004
3,716
31.12.2003
2,310
30.06.2003
616
562
3,154
26,171
549
1,761
23,100
616
29,127
26,171
13,042
11,184
180
180
24
24
1,654
42,929
23,100
7,619
5,344
180
180
24
24
1,641
430
430
33,029
29,127
2,177
1,504
180
180
24
24
469
430
39
31,920
59
Grupa Budimex
SA-PSr 2003
w tys. zl.
Nota 5D
ZMIANA STANU DLUGOTERMINOWYCH AKTYWÓW
FINANSOWYCH (WG GRUP RODZAJOWYCH)
A. Udzialy lub akcje
a) stan na poczatek okresu
b) zwiekszenia (z tytulu)
- zakup
- udzial w wyniku
- przeklasyfikowanie z inwestycji krótkoterminowych
- inne
c) zmniejszenia (z tytulu)
- sprzedaz
- likwidacja
- zmniejszenie wartosci udzialów
- inne
d) stan na koniec okresu
B. Dluzne papiery wartosciowe
a) stan na poczatek okresu
b) zwiekszenia
c) zmniejszenia
d) stan na koniec okresu
C. Inne papiery wartosciowe
a) stan na poczatek okresu
b) zwiekszenia
c) zmniejszenia
d) stan na koniec okresu
D. Udzielone pozyczki
a) stan na poczatek okresu
b) zwiekszenia
- udzielenie pozyczki
- inne
c) zmniejszenia
d) stan na koniec okresu
E. Inne dlugoterminowe aktywa finansowe
a) stan na poczatek okresu
b) zwiekszenia (z tytulu)
- inne
c) zmniejszenia
- zmiana klasyfikacji
- inne
d) stan na koniec okresu
Dlugoterminowe aktywa finansowe, razem
Komisja Papierów Wartosciowych i Gield
30.06.2004
31.12.2003
30.06.2003
28,993
9,329
7,876
156
1,297
405
100
305
37,917
32,491
5,170
485
721
3,786
178
8,668
1,550
2,166
4,867
85
28,993
32,491
753
537
125
91
1,997
1,519
468
10
31,247
180
180
180
180
180
180
24
24
24
24
24
24
3,402
1,406
1,257
149
4,808
3,402
3,402
3,402
430
430
430
445
15
15
430
33,029
42,929
445
24
24
469
31,920
69
Grupa BUDIMEX
SA-PSr 2003
w tys. zl.
Nota 5E
UDZIALY LUB AKCJE W JEDNOSTKACH PODPORZADKOWANYCH
a
b
c
d
e
f
nazwa (firma) jednostki
(ze wskazaniem
formy prawnej)
siedziba
przedmiot
przedsiebiorstwa
charakter
powiazania
(zalezne,
wspólzalezne,
stowarzyszone)
zastosowana
metoda
konsolidacji
data objecia
kontroli /
wspólkontroli /
uzyskania
znaczacego
wplywu
Lp.
g
h
wartosc
korekty
udzialów / akcji
aktualizujace
wg ceny nabycia wartosc (razem)
i
j
wartosc
bilansowa
udzialów / akcji
procent
posiadanego
kapitalu
zakladowego
k
l
udzial w ogólnej
wskazanie, innej
liczbie glosów
niz okreslona pod
na walnym
lit. j) lub k), podstawy
kontroli/
zgromadzeniu
wspólkontroli /
znaczacego wplywu
Jednostki zalezne i wspólzalezne niekonsolidowane
1 Budimex Kaliningrad SA
Kaliningrad
budownictwo
zalezna
nie
konsolidowana
2001 rok
125
(7)
118
100.00%
100.00%
2 Budimex Bau GmbH
Kolonia - Niemcy budownictwo
zalezna
nie
konsolidowana
2004 rok
120
(6)
114
100.00%
100.00%
3 MK Logistic Sp. z o.o. (w
likwidacji)
Zabrze
uslugi transportowe
zalezna
nie
konsolidowana
1997 rok
26
(26)
-
100.00%
100.00%
-
4 Dromex Oil Sp. z o.o. (w
likwidacji)
Warszawa
budowa dróg
zalezna
nie
konsolidowana
1991 rok
2,175
(2,175)
-
97.93%
97.93%
-
5 Budimex Latvia Sp. z o.o.
Ryga
budownictwo
zalezna
nie
konsolidowana
2003 rok
17
(2)
74.00%
74.00%
-
6 Auto Park Bydgoszcz Sp. z Bydgoszcz
o.o.
projektowanie,
zalezna
budowa, eksploatacja
parkingów
wielopoziomowych
nie
konsolidowana
2000 rok
1,664
(1,664)
65.35%
65.35%
-
7 Ost Wood
Grodno
produkcja i handel
wyrobami z drewna
zalezna
nie
konsolidowana
2001 rok
287
287
51.00%
51.00%
-
8 PKZ Budimex Sp. z o.o.
Kolonia - Niemcy budownictwo
wspólzalezna
nie
konsolidowana
2002 rok
25
3
28
50.00%
50.00%
-
4,439
(3,877)
562
Razem
Komisja Papierów Wartosciowych i Gield
15
-
-
-
51
Grupa BUDIMEX
SA-PSr 2003
w tys. zl.
Nota 5E
UDZIALY LUB AKCJE W JEDNOSTKACH PODPORZADKOWANYCH
Lp.
a
b
c
d
e
f
nazwa (firma) jednostki
(ze wskazaniem
formy prawnej)
siedziba
przedmiot
przedsiebiorstwa
charakter
powiazania
(zalezne,
wspólzalezne,
stowarzyszone)
zastosowana
metoda
konsolidacji
data objecia
kontroli /
wspólkontroli /
uzyskania
znaczacego
wplywu
g
h
wartosc
korekty
udzialów / akcji
aktualizujace
wg ceny nabycia wartosc (razem)
i
j
wartosc
bilansowa
udzialów / akcji
procent
posiadanego
kapitalu
zakladowego
k
l
udzial w ogólnej
wskazanie, innej
liczbie glosów
niz okreslona pod
na walnym
lit. j) lub k), podstawy
kontroli/
zgromadzeniu
wspólkontroli /
znaczacego wplywu
Jednostki zalezne i stowarzyszone konsolidowane metoda praw wlasnosci
1 Montin S.A. (w likwidacji) Kraków
zarzadzanie
nieruchomosciami,
wynajem
2 Autostrada Poludnie SA
Warszawa
3 ZRE Kraków Sp. z o.o.
zalezna
praw wlasnosci
2000 rok
9,414
(5,045)
4,369
81.88%
81.88%
-
budowa i eksploatacja stowarzyszona
autostrad
praw wlasnosci
2001 rok
4,688
1,536
6,224
37.50%
37.50%
-
Kraków
stowarzyszona
remonty, montaz,
modernizacja urzadzen
energetycznych
praw wlasnosci
1997 rok
248
1,875
2,123
26.61%
26.61%
-
4 PPHU Promos Sp. z o.o.
Kraków
uslugi rózne
stowarzyszona
praw wlasnosci
1998 rok
24
880
904
25.53%
25.53%
-
5 Elektromontaz Poznan SA
Poznan
uslugi instalacyjne
stowarzyszona
praw wlasnosci
1999 rok
15,342
(3,479)
11,863
30.78%
30.78%
-
6 PW Hepamos Sp. z o.o.
Kraków
budownictwo
kontenerowe
stowarzyszona
praw wlasnosci
1993 rok
46
642
688
23.00%
23.00%
-
Razem
29,762
(3,591)
26,171
Razem
34,201
(7,468)
26,733
Komisja Papierów Wartosciowych i Gield
61
Grupa BUDIMEX
SA-PSr 2003
w tys. zl.
Nota 5F
UDZIALY LUB AKCJE W JEDNOSTKACH PODPORZADKOWANYCH - cd.
a
Lp.
nazwa jednostki
n
o
zobowiazania i rezerwy na zobowiazania
naleznosci jednostki, w tym:
jednostki, w tym:
kapital
pozostaly kapital wlasny, w tym:
zapasowy
zysk (strata) z zysk (strata)
zobowiazania zobowiazania
naleznosci
lat ubieglych
netto
dlugotermin. krótkotermin.
dlugotermin.
m
kapital wlasny jednostki, w tym:
kapital
zakladowy
Jednostki zalezne i wspólzalezne niekonsolidowane
1 Budimex Kaliningrad SA
(164)
nalezne
na kapital
zakladowy
(wielkosc
ujemna)
bd
bd
bd
bd
bd
bd
bd
bd
bd
bd
bd
bd
bd
3 MK Logistic Sp. z o.o. (w
likwidacji)
4 Dromex Oil Sp. z o.o. (w
likwidacji)
5 Budimex Latvia Sp. z o.o.
bd
bd
bd
bd
bd
bd
bd
bd
bd
bd
bd
bd
bd
bd
bd
bd
bd
bd
bd
bd
bd
bd
bd
bd
bd
bd
bd
bd
bd
bd
bd
bd
bd
bd
5 Elektromontaz Poznan SA
6 PW Hepamos Sp. z o.o.
394
54
-
-
15
-
-
(421)
(210)
(211)
5,161
86
-
86
4,755
2,219
-
-
2,525
-
-
(6,293)
(5,656)
(637)
11,974
11,308
1,666
21
-
21
8,206
77
-
-
337
289
-
-
48
39
133
-
133
355
-
355
657
1,226
-
-
(139)
114
(57)
-
(196)
(56)
(140)
6,708
-
6,666
85
-
85
6,569
16,595
7,956
3,519
52,836
2,985
50,000
(37,500)
3,827
930
-
235
-
54,082
-
200
-
-
4,979
-
(406)
9
46
54
(3,768)
Jednostki zalezne i stowarzyszone konsolidowane metoda praw wlasnosci
1 Montin S.A. (w likwidacji)
4,702
5,167
4 PPHU Promos Sp. z o.o.
-
166
bd
3 ZRE Kraków Sp. z o.o.
394
230
bd
2 Autostrada Poludnie SA
(307)
t
otrzymane lub
nalezne
dywidendy od
jednostki za
ostatni rok
obrotowy
bd
8 PKZ Budimex Sp. z o.o.
27
s
nieoplacona
przez emitenta
wartosc
udzialów / akcji
w jednostce
bd
7 Ost Wood
(280)
r
przychody
ze
sprzedazy
2 Budimex Bau GmbH
6 Auto Park Bydgoszcz Sp. z o.o.
116
naleznosci
krótkotermin.
p
aktywa
jednostki,
razem
465
-
465
568
-
298
268
-
268
52
-
42
7,026
501
879
8,954
-
3,250
1,356
1,928
647
377
1,226
-
1,130
3,043
(4,289)
(1,978)
(2,311)
6,362
-
5,564
2,785
114
(82)
1,066
-
990
-
Komisja Papierów Wartosciowych i Gield
702
7,356
1,366
13,079
965
-
702
-
23
5,734
-
-
4,470
5
16,647
-
-
-
14,062
-
-
7,356
17,476
10,457
-
-
-
1,366
4,745
2,732
-
-
-
13,079
64,675
13,440
-
-
942
3,893
1,709
-
-
53
Grupa BUDIMEX
SA-PSr 2003
w tys. zl.
Nota 5G
UDZIALY LUB AKCJE W POZOSTALYCH JEDNOSTKACH
a
L.p. nazwa (firma) jednostki, ze wsk. formy prawnej
b
siedziba
c
d
e
wartosc
bilansowa
przedmiot przedsiebiorstwa
udzialów /
akcji
kapital wlasny
jednostki, w
tym:
f
g
h
i
udzial w
otrzymane lub
procent
nieoplacona
nalezne
ogólnej liczbie
posiadanego
przez emitenta
kapital
dywidendy za
glosów na
kapitalu
wartosc udzialów
zakladowy
ostatni rok
walnym
zakladowego
/ akcji
zgromadzeniu
obrotowy
234,705
10.00%
10.00%
17,603
-
1 Autopista Madrid Levante Concesionaria
Española, SA
2 Autostrada Wielkopolska SA
Madryt
ekspolatacja autostrad
5,868
234,705
Poznan
3,786
30,383
461,000
0.61%
0.61%
3 Vispol SA
900
bd
8,531
9.30%
9.30%
-
-
4 Boleslaw Recycling Sp. z o.o.
Torcy
- Francja
Bukowno
budowa i ekspolatacja
autostrad
dzialalnosc handlowa
przetwórstwo materialów
cynkonosnych
200
16,661
11,700
1.7%
1.7%
-
-
5 Ecoenergia Sp. z o.o.
Warszawa
oszczednosc energii i
ograniczenie emisji pylów
67
bd
1,000
6.70%
6.70%
-
-
6 Kolej Gondolowa Jaworzyna Krynicka SA
7 Magro SA
8 Konsorcjum Autostrada
Slask SA
Krynica
Kraków
Katowice
60
56
54
bd
bd
5,308
bd
bd
1,987
0.37%
bd
1.63%
0.37%
bd
1.63%
-
-
9 Drogowa Trasa Srednicowa
Kielce
uslugi
uslugi
dzial. prod. handl. inwest.
zwiazana z
budowa autostrad
budowa dróg
52
bd
2,461
1.57%
0.83%
-
-
Kraków
budownictwo
38
bd
bd
3.70%
3.70%
-
-
Gliwice
Kraków
Warszawa
inne
przetwórstwo metali
uslugi
budownictwo
30
30
26
17
11,184
17,669
bd
bd
23,768
bd
bd
0.12%
0.08%
0.18%
0.12%
0.08%
0.18%
-
-
10 Konsorcjum Drogowo-Mostowe Autostrada S.A.
w likwidacji
11 WM Labedy SA
12 Agencja Rozwoju Regionu Krakowskiego
13 Polimex Cekop SA
19
Razem
Komisja Papierów Wartosciowych i Gield
54
Grupa Budimex
SA-PSr 2003
w tys. zl.
Nota 5H
PAPIERY WARTOSCIOWE, UDZIALY I INNE
DLUGOTERMINOWE AKTYWA FINANSOWE (STRUKTURA
a) w walucie polskiej
b) w walutach obcych (wg walut i po przeliczeniu na zl)
b1. jednostka/waluta tys. / EUR
tys. zl.
b2. jednostka/waluta tys. / USD
tys. zl
b3. pozostale waluty w tys. zl
Papiery wartosciowe, udzialy i inne dlugoterminowe aktywa finansowe,
razem
30.06.2004
30,791
7,330
1,521
6,910
5
17
403
38,121
31.12.2003
28,244
1,383
204
964
4
15
404
29,627
30.06.2003
30,588
1,332
204
911
4
18
403
31,920
Nota 5I
PAPIERY WARTOSCIOWE, UDZIALY I INNE
DLUGOTERMINOWE AKTYWA FINANSOWE (WG
A. Z nieograniczona zbywalnoscia, notowane na gieldach (wartosc
bilansowa)
a) akcje (wartosc bilansowa)
b) obligacje (wartosc bilansowa):
- wartosc na poczatek okresu
- wartosc wedlug cen nabycia
c) inne - wg grup rodzajowych (wartosc bilansowa)
B. Z nieograniczona zbywalnoscia, notowane na rynkach pozagieldowych
(wartosc bilansowa)
C. Z nieograniczona zbywalnoscia, nienotowane na rynku regulowanym
(wartosc bilansowa)
D. Z ograniczona zbywalnoscia (wartosc bilansowa)
a) akcje i udzialy (wartosc bilansowa):
- korekty aktualizujace wartosc (za okres)
- wartosc na poczatek okresu
- wartosc wedlug cen nabycia
b) obligacje (wartosc bilansowa)
c) inne - wg grup rodzajowych (wartosc bilansowa)
c1 bony mieszkaniowe
- wartosc na poczatek okresu
- wartosc wedlug cen nabycia
c2 inne
- korekty aktualizujace wartosc (za okres)
- wartosc na poczatek okresu
- wartosc wedlug cen nabycia
Wartosc wedlug cen nabycia, razem
Wartosc na poczatek okresu, razem
Korekty aktualizujace wartosc (za okres), razem
Wartosc bilansowa, razem
Komisja Papierów Wartosciowych i Gield
30.06.2004
180
31.12.2003
30.06.2003
180
180
180
180
180
-
180
180
180
-
180
180
180
-
-
-
-
37,941
37,917
1,148
28,993
45,577
24
24
24
24
430
45,781
29,627
1,148
38,121
29,447
28,993
(4,322)
32,491
37,180
454
24
24
24
430
445
430
37,814
33,140
(4,322)
29,627
31,740
31,247
(272)
32,491
37,153
493
24
24
24
469
1
445
466
37,823
33,140
(271)
31,920
55
Grupa Budimex
SA-PSr 2003
w tys. zl.
Nota 5J
UDZIELONE POZYCZKI DLUGOTERMINOWE (STRUKTURA
WALUTOWA)
a) w walucie polskiej
b) w walutach obcych (wg walut i po przeliczeniu na zl)
b1. jednostka/waluta tys. / EUR
tys. zl
Udzielone pozyczki dlugoterminowe, razem
30.06.2004
3,389
1,419
300
1,419
4,808
31.12.2003
1,987
1,415
300
1,415
3,402
30.06.2003
-
Nota 5K
INNE INWESTYCJE DLUGOTERMINOWE (WG RODZAJU)
Inne inwestycje dlugoterminowe, razem
30.06.2004
-
31.12.2003
-
30.06.2003
-
30.06.2004
31.12.2003
30.06.2003
Nota 5L
ZMIANA STANU INNYCH INWESTYCJI DLUGOTERMINOWYCH
(WG GRUP RODZAJOWYCH)
A. .....
a) stan na poczatek okresu
d) stan na koniec okresu
B. .....
a) stan na poczatek okresu
d) stan na koniec okresu
Inne inwestycje dlugoterminowe, razem
-
-
-
-
-
-
Nota 5M
INNE INWESTYCJE DLUGOTERMINOWE (STRUKTURA
WALUTOWA)
a) w walucie polskiej
b) w walutach obcych (wg walut i po przeliczeniu na zl)
Inne inwestycje dlugoterminowe, razem
Komisja Papierów Wartosciowych i Gield
30.06.2004
-
31.12.2003
-
30.06.2003
-
65
Grupa BUDIMEX
SA-PSr 2003
w tys. zl.
Nota 6A
ZMIANA STANU AKTYWÓW Z TYTULU ODROCZONEGO
PODATKU DOCHODOWEGO
1. Stan aktywów na poczatek okresu, w tym:
a) odniesionych na wynik finansowy
- z tytulu ujemnych róznic przejsciowych
b) odniesionych na kapital wlasny
- z tytulu ujemnych róznic przejsciowych
c) odniesionych na wartosc firmy lub ujemna wartosc firmy
- z tytulu ujemnych róznic przejsciowych
2. Zwiekszenia (z tytulu):
30.06.2004
31.12.2003
30.06.2003
46,015
42,336
42,336
3,679
3,679
32,699
29,062
58,735
55,056
55,056
3,679
3,679
16,553
16,508
58,735
55,056
55,056
3,679
3,679
39,576
39,576
29,062
3,637
16,508
45
39,576
-
a) odniesione na wynik finansowy okresu w zwiazku z ujemnymi
róznicami przejsciowymi (z tytulu):
- powstania róznic przejsciowych
b) odniesione na wynik finansowy okresu w zwiazku ze strata
podatkowa (z tytulu):
- powstania straty podatkowej
c) odniesione na kapital wlasny w zwiazku z ujemnymi róznicami
przejsciowymi
d) odniesione na kapital wlasny w zwiazku ze strata podatkowa
3. Zmniejszenia (z tytulu):
a) odniesione na wynik finansowy okresu w zwiazku z ujemnymi
róznicami przejsciowymi (z tytulu):
- odwrócenia sie róznic przejsciowych
- zmiana stawek podatkowych
b) odniesione na wynik finansowy okresu w zwiazku ze strata
podatkowa (z tytulu):
- wykorzystania straty podatkowej
c) odniesione na kapital wlasny w zwiazku z ujemnymi róznicami
przejsciowymi
d) odniesione na kapital wlasny w zwiazku ze strata podatkowa
e) odniesione na wartosc firmy lub ujemna wartosc firmy w zwiazku z
ujemnymi róznicami przejsciowymi
4. stan aktywów na koniec okresu (wg tytulów):
a) odniesionych na wynik finansowy
- z tytulu ujemnych róznic przejsciowych
b) odniesionych na kapital wlasny
- z tytulu ujemnych róznic przejsciowych
c) odniesionych na wartosc firmy lub ujemna wartosc firmy
- z tytulu ujemnych róznic przejsciowych
Stan aktywów z tytulu odroczonego podatku dochodowego, razem
Komisja Papierów Wartosciowych i Gield
3,637
-
45
-
-
6,469
6,469
29,273
28,179
27,033
26,843
6,469
-
8,961
19,218
1,094
26,843
190
-
1,094
-
190
-
-
-
-
72,245
68,566
68,566
3,679
3,679
72,245
46,015
42,336
42,336
3,679
3,679
46,015
71,278
67,599
67,599
3,679
3,679
71,278
57
Grupa BUDIMEX
SA-PSr 2003
w tys. zl.
Nota 6A.1
Stan na dzien
UJEMNE RÓZNICE PRZEJSCIOWE WG TYTULÓW
Tytul aktywa / zobowiazania
30.06.2004
- rozliczenia miedzyokresowe kosztów (pasywa) - koszty niezafakturowane
- koszty kontraktów zwiazane z przychodami okresów przyszlych
- rozliczenia miedzyokresowe kosztów (pasywa) - straty na kontraktach
24,998
11,405
5,685
5,607
- naleznosci - odpisy aktualizujace
31.12.2003
8,169
Data wygasniecia ujemnych
30.06.2003
18,091
róznic przejsciowych
rok 2004 - 2005
4,388
1,517
rok 2004 - 2005
1,243
1,741
rok 2004 - 2006
5,615
10,908
rok 2004 - 2010
- rozliczenia miedzyokresowe kosztów (pasywa) - naprawy gwarancyjne
4,772
4,851
6,681
rok 2004 - 2010
- rozliczenia miedzyokresowe kosztów (pasywa) - wycena kontraktów
4,247
7,827
8,722
rok 2004 - 2006
- strata podatkowa
4,010
373
6,596
rok 2004 - 2009
- naleznosci / zobowiazania - ujemne niezrealizowane róznice kursowe
2,227
3,101
3,454
rok 2004 - 2006
- pozostale
1,635
1,077
567
rok 2004 - 2008
1,435
2,461
rok 2004 - 2006
2,194
2,067
rok 2004 - 2005
1,181
2,308
rok 2004 - 2051
1,002
1,013
993
rok 2004 - 2006
- wycena transakcji terminowych
851
1,769
2,256
rok 2004 - 2006
- zapasy - odpisy aktualizujace
- rezerwy na zobowiazania - pozostale
756
845
598
rok 2004 - 2010
682
906
1,691
rok 2004 - 2006
60
28
627
rok 2005 - 2010
72,245
46,015
71,278
- rozliczenia miedzyokresowe kosztów (pasywa) - niewykorzystane urlopy
- rezerwa na premie
- rezerwy na zobowiazania - nagrody jubileuszowe i odprawy dla pracowników
- inwestycje dlugo- i krótkoterminowe - odpisy aktualizujace
- rzeczowy majatek trwaly - odpisy aktualizujace
Ujemne róznice przejsciowe, razem
1,619
1,533
1,156
Komisja Papierów Wartosciowych i Gield
58
Grupa BUDIMEX
SA-PSr 2003
w tys. zl.
Nota 6B
INNE ROZLICZENIA MIEDZYOKRESOWE
a) czynne rozliczenia miedzyokresowe kosztów, w tym:
- ubezpieczenia
- koszty (netto) organizacji spólki akcyjnej
- koszty wdrozenia systemu informatycznego
b) pozostale rozliczenia miedzyokresowe
- pozostale
Inne rozliczenia miedzyokresowe, razem
30.06.2004
735
640
82
13
1
1
736
Komisja Papierów Wartosciowych i Gield
31.12.2003
262
99
134
29
1
1
263
30.06.2003
502
90
343
69
502
59
Grupa BUDIMEX
SA-PSr 2003
w tys. zl.
Nota 7
ZAPASY
a/ materialy
b/ pólprodukty i produkty w toku
c/ produkty gotowe
d/ towary
e/ zaliczki na dostawy
Zapasy, razem
30.06.2004
25,537
44,326
4,699
32,795
8,238
115,595
31.12.2003
12,837
23,203
9,674
36,246
5,587
87,547
30.06.2003
19,558
25,013
19,691
59,513
10,618
134,393
Zapasy i naleznosci krótkoterminowe jednostek Grupy nie podlegaly istotnym obciazeniom o charakterze prawnorzeczowym i
obligacyjnym w I pólroczu 2004 i 2003 roku.
Wartosc odpisów aktualizujacych zapasy wyniosla w I pólroczu 2004 roku 40 tysiecy zlotych (w I pólroczu 2003 roku wyniosla 169
tysiecy zlotych). Odpisy wynikaja z utraty wartosci lub zalegania w magazynach.
Nota 8A
NALEZNOSCI KRÓTKOTERMINOWE
a) od jednostek powiazanych
- z tytulu dostaw i uslug, o okresie splaty:
- do 12 miesiecy
- powyzej 12 miesiecy
- inne
- dochodzone na drodze sadowej
b) naleznosci od pozostalych jednostek
- z tytulu dostaw i uslug, o okresie splaty:
- do 12 miesiecy
- powyzej 12 miesiecy
- z tytulu podatków, dotacji, cel, ubezpieczen spolecznych i zdrowotnych
oraz innych swiadczen
- inne
- dochodzone na drodze sadowej
Naleznosci krótkoterminowe netto, razem
c) odpisy aktualizujace wartosc naleznosci
Naleznosci krótkoterminowe brutto, razem
30.06.2004
19,461
17,521
17,510
11
1,940
524,660
435,133
356,954
78,179
57,775
31.12.2003
14,649
13,269
13,259
10
1,380
501,388
445,381
369,453
75,928
25,043
30.06.2003
725
241
239
2
484
625,054
574,293
515,920
58,373
25,810
30,174
1,578
544,121
84,578
628,699
29,181
1,783
516,037
86,007
602,044
23,080
1,871
625,779
95,665
721,444
30.06.2004
31.12.2003
30.06.2003
Nota 8B
NALEZNOSCI KRÓTKOTERMINOWE OD JEDNOSTEK
POWIAZANYCH
a) z tytulu dostaw i uslug, w tym:
- od jednostek zaleznych
- od jednostek wspólzaleznych
- od jednostek stowarzyszonych
- od znaczacego inwestora
- od jednostki dominujacej
b) inne, w tym:
- od jednostek zaleznych
- od jednostek wspólzaleznych
- od jednostek stowarzyszonych
- od znaczacego inwestora
- od jednostki dominujacej
c) dochodzone na drodze sadowej, w tym:
Naleznosci krótkoterminowe od jednostek powiazanych netto, razem
d) odpisy aktualizujace wartosc naleznosci od jednostek powiazanych
Naleznosci krótkoterminowe od jednostek powiazanych brutto, razem
Komisja Papierów Wartosciowych i Gield
17,521
171
2
17,348
1,940
186
1,754
19,461
19,461
13,269
88
5
13,176
1,380
1,380
14,649
14,649
241
130
106
5
484
418
28
38
725
725
60
Grupa BUDIMEX
SA-PSr 2003
w tys. zl.
Nota 8C
ZMIANA STANU ODPISÓW AKTUALIZUJACYCH WARTOSC
NALEZNOSCI KRÓTKOTERMINOWYCH
a) stan na poczatek okresu
b) zwiekszenia (z tytulu)
- watpliwych i przeterminowanych naleznosci
- postepowania ukladowego
- inne
c) zmniejszenia (z tytulu)
- odwrócenie odpisów aktualizujacych w wyniku splaty naleznosci przez
dluzników
- odwrócenie odpisów aktualizujacych pozostalych
- odwrócenie odpisów aktualizujacych w wyniku sprzedazy wierzytelnosci
- odwrócenie odpisów aktualizujacych w wyniku spisania naleznosci
objetych odpisami
- postepowania ukladowego
- zmiany skladu Grupy
- inne
Stan odpisów aktualizujacych wartosc naleznosci krótkoterminowych na
koniec okresu
30.06.2004
86,007
10,338
9,937
143
258
11,767
2,899
31.12.2003
30.06.2003
88,195
27,728
27,585
143
29,916
8,943
88,195
18,167
16,030
36
2,101
10,697
4,399
1,040
8,038
268
-
4,098
11,269
3,905
4,418
84,578
215
411
86,007
352
-
2,125
95,665
Nota 8D
NALEZNOSCI KRÓTKOTERMINOWE BRUTTO (STRUKTURA
WALUTOWA)
a) w walucie polskiej
b) w walutach obcych (wg walut i po przeliczeniu na zl)
b1. jednostka/waluta EUR / tys.
tys. zl
b2. jednostka/waluta USD / tys.
tys. zl
b3. pozostale waluty w tys. zl
Naleznosci krótkoterminowe, razem
30.06.2004
31.12.2003
30.06.2003
476,689
152,010
29,036
130,633
1,298
4,003
17,374
628,699
411,308
190,736
36,681
172,653
1,298
4,259
13,824
602,044
542,763
178,681
36,020
157,114
2,706
7,203
14,364
721,444
30.06.2004
31.12.2003
30.06.2003
163,975
72,368
15,942
26,864
78,531
154,641
512,321
59,667
452,654
135,044
89,644
14,804
25,320
89,761
163,453
518,026
59,376
458,650
216,795
113,128
28,706
22,651
60,598
184,973
626,851
52,317
574,534
30.06.2004
31.12.2003
30.06.2003
52,731
19,677
16,971
28,041
37,221
154,641
59,667
12,741
57,389
21,619
17,787
53,917
163,453
58,711
35,415
36,594
14,660
44,661
53,643
184,973
51,333
94,974
104,742
133,640
Nota 8E
NALEZNOSCI Z TYTULU DOSTAW I USLUG (BRUTTO) - O
POZOSTALYM OD DNIA BILANSOWEGO OKRESIE SPLATY:
a) do 1 miesiaca
b) powyzej 1 miesiaca do 3 miesiecy
c) powyzej 3 miesiecy do 6 miesiecy
d) powyzej 6 miesiecy do 1 roku
e) powyzej 1 roku
f) naleznosci przeterminowane
Naleznosci z tytulu dostaw i uslug, razem (brutto)
g) odpisy aktualizujace wartosc naleznosci z tytulu dostaw i uslug
Naleznosci z tytulu dostaw i uslug, razem (netto)
Nota 8F
NALEZNOSCI Z TYTULU DOSTAW I USLUG,
PRZETERMINOWANE (BRUTTO) - Z PODZIALEM NA
NALEZNOSCI NIE SPLACONE W OKRESIE:
a) do 1 miesiaca
b) powyzej 1 miesiaca do 3 miesiecy
c) powyzej 3 miesiecy do 6 miesiecy
d) powyzej 6 miesiecy do 1 roku
e) powyzej 1 roku
Naleznosci z tytulu dostaw i uslug, przeterminowane, razem (brutto)
f) odpisy aktualizujace wartosc naleznosci z tytulu dostaw i uslug,
przeterminowane
Naleznosci z tytulu dostaw i uslug, przeterminowane, razem (netto)
Komisja Papierów Wartosciowych i Gield
70
Grupa BUDIMEX
SA-PSr 2003
w tys. zl.
Przedzialy czasowe splacania naleznosci zwiazane z normalnym tokiem sprzedazy wynosza od 30 do 90 dni.
Nota 9A
NALEZNOSCI DLUGO- I KRÓTKOTERMINOWE
PRZETERMINOWANE (BRUTTO) Z PODZIALEM NA TYTULY
Naleznosci przeterminowane z tytulu dostaw i uslug
Naleznosci przeterminowane z tytulu podatków, dotacji i ubezpieczen
spolecznych
Naleznosci przeterminowane z tytulu dywidend i innych udzialów w zyskach,
Pozostale naleznosci przeterminowane
Naleznosci przeterminowane dochodzone na drodze sadowej
- z tytulu dostaw i uslug
- z tytulu podatków, dotacji i ubezpieczen spolecznych
- z tytulu dywidend i innych udzialów w zyskach
- pozostale
Naleznosci przeterminowane, razem (brutto)
Odpisy aktualizujace
Naleznosci przeterminowane, razem (netto - pomniejszone o odpisy
aktualizujace)
30.06.2004
31.12.2003
30.06.2003
154,641
-
163,453
-
184,973
-
-
-
-
6,912
11,318
11,266
52
172,871
66,510
106,361
5,468
9,986
9,981
5
178,907
67,186
111,721
1,496
20,602
19,931
671
207,071
68,083
138,988
30.06.2004
31.12.2003
30.06.2003
Nota 9B
NALEZNOSCI DLUGO I KRÓTKOTERMINOWE SPORNE (BRUTTO)
Z PODZIALEM NA TYTULY
Naleznosci sporne z tytulu dostaw i uslug
Naleznosci sporne z tytulu podatków, dotacji i ubezpieczen spolecznych,
Naleznosci sporne z tytulu dywidend i innych udzialów w zyskach,
Pozostale naleznosci sporne
Naleznosci dochodzone na drodze sadowej
- z tytulu dostaw i uslug
- z tytulu podatków, dotacji i ubezpieczen spolecznych
- z tytulu dywidend i innych udzialów w zyskach
- pozostale
Naleznosci sporne, razem (brutto)
Odpisy aktualizujace
Naleznosci sporne, razem (netto - pomniejszone o odpisy aktualizujace)
42
27,208
27,156
52
27,250
25,672
1,578
25,637
25,632
5
25,637
23,854
1,783
36
27
41,699
41,199
500
41,762
40,065
1,697
Wartosc odpisów aktualizujacych naleznosci krótkoterminowe utworzonych w pierwszym pólroczu 2004 roku wyniosla 10
080 tysiecy zlotych (16 030 tysiecy zlotych w pierwszym pólroczu 2003 roku) i dotyczy naleznosci, których odzyskanie jest
watpliwe.
Komisja Papierów Wartosciowych i Gield
80
Grupa BUDIMEX
SA-PSr 2003
w tys. zl.
Nota 10A
KRÓTKOTERMINOWE AKTYWA FINANSOWE
a) w jednostkach zaleznych
- udzialy lub akcje
- udzielone pozyczki
b) w jednostkach wspólzaleznych
c) w jednostkach stowarzyszonych
- udzialy lub akcje
- udzielone pozyczki
- inne krótkoterminowe aktywa finansowe wg rodzaju)
d) w znaczacym inwestorze
e) w jednostce dominujacej
f) w pozostalych jednostkach
- udzialy lub akcje
- inne papiery wartosciowe (wg rodzaju)
bony handlowe
bony skarbowe
- udzielone pozyczki
- inne krótkoterminowe aktywa finansowe wg rodzaju)
- lokaty
- wycena instrumentów pochodnych
g) srodki pieniezne i inne aktywa pieniezne
- srodki pieniezne w kasie i na rachunkach
- inne srodki pieniezne
- inne aktywa pieniezne
Krótkoterminowe aktywa finansowe, razem
30.06.2004
204
15
189
140,453
89,504
77,308
12,196
50,949
7,569
43,380
110,423
101,271
9,152
251,080
31.12.2003
15
15
106,777
80,507
76,503
4,004
26,270
26,270
199,602
198,553
1,049
306,394
30.06.2003
715
15
700
27,983
3,786
19,512
19,512
30.06.2004
31.12.2003
30.06.2003
140,468
140,468
106,792
106,792
138
4,547
4,547
117,869
100,874
16,995
146,567
Nota 10B
PAPIERY WARTOSCIOWE, UDZIALY I INNE
KRÓTKOTERMINOWE AKTYWA FINANSOWE (STRUKTURA
WALUTOWA)
a) w walucie polskiej
b) w walutach obcych (wg walut i po przeliczeniu na zl)
Papiery wartosciowe, udzialy i inne krótkoterminowe aktywa finansowe,
razem
Komisja Papierów Wartosciowych i Gield
27,860
27,860
63
Grupa BUDIMEX
SA-PSr 2003
w tys. zl.
Nota 10C
PAPIERY WARTOSCIOWE, UDZIALY I INNE KRÓTKOTERMIN.
AKTYWA FINANSOWE (WG ZBYWALNOSCI)
A. Z nieograniczona zbywalnoscia, notowane na gieldach (wartosc
bilansowa)
B. Z nieograniczona zbywalnoscia, notowane na rynkach pozagieldowych
(wartosc bilansowa)
C. Z nieograniczona zbywalnoscia, nie notowane na rynku regulowanym
(wartosc bilansowa)
D. Z ograniczona zbywalnoscia (wartosc bilansowa)
a) akcje i udzialy (wartosc bilansowa):
- wartosc godziwa
- wartosc rynkowa
- wartosc wedlug cen nabycia
b) obligacje (wartosc bilansowa):
c) inne - wg grup rodzajowych (wartosc bilansowa):
c1 bony handlowe
- wartosc godziwa
- wartosc rynkowa
- wartosc wedlug cen nabycia
c2 bony skarbowe
- wartosc godziwa
- wartosc rynkowa
- wartosc wedlug cen nabycia
c3 instrumenty pochodne wycena
- wartosc godziwa
- wartosc rynkowa
- wartosc wedlug cen nabycia
c4 lokaty terminowe
- wartosc godziwa
Wartosc wedlug cen nabycia, razem
Wartosc na poczatek okresu, razem
Korekty aktualizujace wartosc (za okres), razem
Wartosc bilansowa, razem
30.06.2004
31.12.2003
30.06.2003
-
-
-
-
-
-
-
-
-
140,468
15
15
140,453
77,308
77,308
140,468
106,792
15
15
106,777
76,503
76,503
76,503
4,004
4,004
4,004
26,270
26,270
80,522
96,838
106,792
30.06.2004
31.12.2003
77,268
12,196
12,196
12,196
43,380
43,380
7,569
7,569
89,479
106,792
-
27,860
3,801
3,801
3,801
24,059
19,512
19,512
19,512
4,547
4,547
23,313
96,838
27,860
Nota 10D
UDZIELONE POZYCZKI KRÓTKOTERMINOWE (STRUKTURA
WALUTOWA)
a) w walucie polskiej
b) w walutach obcych (wg walut i po przeliczeniu na zl)
b1. jednostka/waluta EUR / tys.
tys. zl
Udzielone pozyczki krótkoterminowe, razem
189
42
189
189
-
30.06.2003
838
838
Nota 10E
SRODKI PIENIEZNE I INNE AKTYWA PIENIEZNE (STRUKTURA
WALUTOWA)
a) w walucie polskiej
b) w walutach obcych (wg walut i po przeliczeniu na zl)
b1. jednostka/waluta tys. / EUR
tys. zl
b2. jednostka/waluta tys. / USD
tys. zl
b3. pozostale waluty w tys. zl
Srodki pieniezne, razem
Komisja Papierów Wartosciowych i Gield
30.06.2004
31.12.2003
30.06.2003
80,428
29,995
4,448
21,082
1,266
4,746
4,167
110,423
104,458
95,144
18,573
87,629
982
3,668
3,847
199,602
59,189
58,680
11,702
51,090
405
1,545
6,045
117,869
73
Grupa BUDIMEX
SA-PSr 2003
w tys. zl.
Nota 10F
INNE INWESTYCJE KRÓTKOTERMINOWE (wg rodzaju)
- grunty
- spóldzielcze wlasnosciowe prawo do lokalu
- budynki, lokale, garaze
- inwestycje w Slaskim Centrum Logistycznym
Inne inwestycje krótkoterminowe, razem
30.06.2004
129
2,250
572
36
2,987
31.12.2003
255
2,250
2,276
36
4,817
30.06.2003
255
2,250
2,899
36
5,440
30.06.2004
2,987
2,987
31.12.2003
4,817
4,817
30.06.2003
5,440
5,440
Nota 10G
INNE INWESTYCJE KRÓTKOTERMINOWE (struktura walutowa)
a) w walucie polskiej
b) w walutach obcych (wg walut i po przeliczeniu na zl)
Inne inwestycje krótkoterminowe, razem
Komisja Papierów Wartosciowych i Gield
83
Grupa BUDIMEX
SA-PSr 2003
w tys. zl.
Nota 11
KRÓTKOTERMINOWE ROZLICZENIA MIEDZYOKRESOWE
a) czynne rozliczenia miedzyokresowe kosztów, w tym:
- koszty rozliczane w ramach konsorcjum
- koszty pozwolen na prace
- ubezpieczenia
- odpis na ZFSS
- koszty kontraktów do rozliczenia w czasie
- oplaty i podatki
- koszty organizacji spólki
- naprawy i remonty
- koszty wynajmu
- odpisy naliczane w koszty
- prenumerata
- opieka medyczna
- koszty wdrozenia systemu informatycznego
- koszty przygotowania kontraktów
- pozostale
b) pozostale rozliczenia miedzyokresowe, w tym:
- uslugi wykonane niezafakturowane (wycena kontraktów)
- pozostale
Krótkoterminowe rozliczenia miedzyokresowe, razem
30.06.2004
10,282
2,572
1,833
1,711
1,177
808
500
267
171
56
31
27
17
1,112
157,738
157,738
168,020
31.12.2003
7,495
2,572
706
1,282
699
121
396
72
89
280
1,278
49,037
49,035
2
56,532
30.06.2003
6,916
1,115
1,701
1,227
779
603
404
27
49
52
169
790
83,522
83,274
248
90,438
Nota 12
ODPISY AKTUALIZUJACE
Odpisy aktualizujace ujete / odwrócone w 2004 i 2003 roku dotyczyly:
a) naleznosci - wartosc odpisów aktualizujacych naleznosci utworzonych i odwróconych zostala przedstawiona w
nocie 8.C. Utworzenie odpisów nastapilo glównie w wyniku pogorszenia sie struktury wiekowej naleznosci oraz
pogorszenia sytuacji finansowej dluzników. Odwrócenie odpisów nastapilo przede wszystkim w wyniku splaty
naleznosci przez dluzników.
b) zapasów – odpisy aktualizujace zapasy utworzone w I pólroczu 2004 i 2003 roku wystapily glównie z powodu
utraty ich wartosci; odpisy aktualizujace odwrócone w I pólroczu 2004 i 2003 roku nie wystapily w istotnych
kwotach.
c) dlugoterminowych i krótkoterminowych aktywów finansowych – odpisy aktualizujace aktywa finansowe
utworzone w I pólroczu 2004 i 2003 roku byly spowodowane glównie przewidywanym brakiem osiagniecia
korzysci ekonomicznych. Odpisy aktualizujace odwrócone w I pólroczu 2004 i 2003 roku nie wystapily w
istotnych kwotach.
d) rzeczowych aktywów trwalych - odpisy aktualizujace rzeczowy majatek trwaly w I pólroczu 2004 roku zostaly
spowodowane utrata ich przydatnosci gospodarczej (w I pólroczu 2003 roku nie wystapily). Odwrócenia odpisów
aktualizujacych rzeczowy majatek trwaly w I pólroczu 2004 i 2003 roku nie wystapily w istotnych kwotach.
Komisja Papierów Wartosciowych i Gield
66
Grupa BUDIMEX
SAPS 2309_Budinet.xls
Nota 13
KAPITAL ZAKLADOWY (STRUKTURA)
seria /
emisja
rodzaj
uprzywilejowania
rodzaj akcji
A
zwykle/imienne bez uprzywilejowania
A
zwykle/na
okaziciela
zwykle/na
okaziciela
zwykle/na
okaziciela
zwykle/na
okaziciela
zwykle/na
okaziciela
zwykle/na
okaziciela
zwykle/na
okaziciela
zwykle/na
okaziciela
zwykle/na
okaziciela
zwykle/na
okaziciela
zwykle/na
okaziciela
B
C
D
E
F
G
H
I
K
L
prawo do
dywidendy
(od daty)
94-01-01
bez uprzywilejowania
2,997,110
14,986
1)
94-08-05
94-01-01
bez uprzywilejowania
2,000,000
10,000
gotówka
94-11-13
95-01-01
bez uprzywilejowania
1,900,285
9,501
gotówka
95-03-07
95-01-01
bez uprzywilejowania
1,725,072
8,625
gotówka
98-04-25
96-01-01
bez uprzywilejowania
2,000,000
10,001
2)
97-08-05
97-01-01
bez uprzywilejowania
5,312,678
26,563
gotówka
98-05-05
98-01-01
bez uprzywilejowania
2,217,549
11,088
3)
99-11-02
99-01-01
bez uprzywilejowania
1,448,554
7,243
3)
99-11-02
99-01-01
bez uprzywilejowania
186,250
931
3)
99-11-02
99-01-01
bez uprzywilejowania
1,484,693
7,423
4)
00-07-13
00-01-01
bez uprzywilejowania
4,255,017
21,275
gotówka
00-12-18
00-01-01
Liczba akcji razem
Kapital zakladowy razem
* w tysiacach zlotych
1/24/2005
wartosc nominalna jednej akcji = 5 zl.
rodzaj
wartosc
sposób
data
ograniczenia
serii/emisji
liczba akcji
pokrycia
rejestracji
wg wartosci
praw do
kapitalu
akcji
nominalnej*
2,890
14
1)
94-08-05
6:23 AM
25,530,098
127,650
do_noty13
Grupa BUDIMEX
w tys. zl.
SA-PSr 2003
Nota 13
KAPITAL ZAKLADOWY (STRUKTURA)
seria /
emisja
rodzaj
uprzywilejowania
rodzaj akcji
A
zwykle/imienne bez uprzywilejowania
A
zwykle/na
okaziciela
zwykle/na
okaziciela
zwykle/na
okaziciela
zwykle/na
okaziciela
zwykle/na
okaziciela
zwykle/na
okaziciela
zwykle/na
okaziciela
zwykle/na
okaziciela
zwykle/na
okaziciela
zwykle/na
okaziciela
zwykle/na
okaziciela
B
C
D
E
F
G
H
I
K
L
wartosc nominalna jednej akcji = 5 zl.
rodzaj
wartosc
sposób
data
ograniczenia
serii/emisji
liczba akcji
pokrycia
rejestracji
praw do
wg wartosci
kapitalu
akcji
nominalnej*
2,890
14
1)
94-08-05
prawo do
dywidendy
(od daty)
94-01-01
bez uprzywilejowania
2,997,110
14,986
1)
94-08-05
94-01-01
bez uprzywilejowania
2,000,000
10,000
gotówka
94-11-13
95-01-01
bez uprzywilejowania
1,900,285
9,501
gotówka
95-03-07
95-01-01
bez uprzywilejowania
1,725,072
8,625
gotówka
98-04-25
96-01-01
bez uprzywilejowania
2,000,000
10,001
2)
97-08-05
97-01-01
bez uprzywilejowania
5,312,678
26,563
gotówka
98-05-05
98-01-01
bez uprzywilejowania
2,217,549
11,088
3)
99-11-02
99-01-01
bez uprzywilejowania
1,448,554
7,243
3)
99-11-02
99-01-01
bez uprzywilejowania
186,250
931
3)
99-11-02
99-01-01
bez uprzywilejowania
1,484,693
7,423
4)
00-07-13
00-01-01
bez uprzywilejowania
4,255,017
21,275
gotówka
00-12-18
00-01-01
Liczba akcji razem
Kapital zakladowy razem
25,530,098
127,650
* w tysiacach zlotych
1) majatek przeksztalconej spólki Budimex Engineering and Construction Sp. z o.o.
2) majatek przejetej spólki Budimex Trading SA
3) majatek przejetych spólek Budimex Poznan SA, Unibud SA i Budimex Warszawa SA
4) majatek przejetej spólki Mostostal Kraków SA
W I pólroczu 2004 roku, w stosunku do stanu na dzien 31 grudnia 2003 roku, nie zmienila sie liczba akcji Budimex SA, jak
równiez nie ulegl zmianie kapital zakladowy. Na dzien 30 czerwca 2004 roku Budimex SA posiada 25 530 098 akcji, a
kapital zakladowy Spólki wynosi 127 650 490 zlotych.
W I pólroczu 2004 roku nie bylo zmian wartosci nominalnej akcji Budimex SA.
Zmiany praw z akcji - W I pólroczu 2004 i 2003 roku nie wystapily zmiany praw z akcji.
Struktura akcjonariatu Budimex S.A. na dzien
30 czerwca 2004 roku przedstawia sie
nastepujaco:
Akcjonariusz
Valivala
Holdings
B.V.
Amsterdam (Holandia) - Spólka z
Grupy Ferrovial SA (Hiszpania)
Commercial Union OFE
Pozostali akcjonariusze
ogólem
rodzaj akcji
liczba akcji
% udzial w
kapitale
zakladowym
liczba glosów
% udzial
w glosach
na WZA
zwykle
15 078 159
59,06%
15 078 159
59,06%
zwykle
zwykle
1 400 000
9 051 939
25 530 098
5,48%
35,46%
100,00%
1 400 000
9 051 939
25 530 098
5,48%
35,46%
100,00%
Dane o stanie posiadania akcji przez Valivala Holdings BV Amsterdam oraz Commercial Union OFE pochodza z rejstracji
przez wymienione podmoty w/w ilosci akcji na ostatnie ZWZA, które odbylo sie w dniu 3 czerwca 2004 roku.
Komisja Papierów Wartosciowych i Gield
67
Grupa BUDIMEX
SA-PSr 2003
w tys. zl.
Nota 14A
AKCJE (UDZIALY) WLASNE
wartosc wg cen nabycia
liczba akcji
-
-
wartosc bilansowa
-
cel nabycia
przeznaczenie
-
-
Nota 14B
AKCJE (UDZIALY) EMITENTA BEDACE WLASNOSCIA JEDNOSTEK PODPORZADKOWANYCH
nazwa (firma) jednostki, siedziba
-
liczba
-
wartosc wg cen nabycia
-
Komisja Papierów Wartosciowych i Gield
wartosc bilansowa
-
68
Grupa BUDIMEX
w tys. zl.
SA-PSr 2003
Nota 15
KAPITAL ZAPASOWY
a) ze sprzedazy akcji powyzej ich wartosci nominalnej
b) utworzony ustawowo
c) utworzony zgodnie ze statutem / umowa, ponad wymagana ustawowo
(minimalna) wartosc
30.06.2004
232,719
42,550
167,024
31.12.2003
232,719
42,550
167,024
20,633
462,926
21,590
463,883
30.06.2004
802
11,308
7,153
680
6,382
91
19,263
31.12.2003
822
15,057
7,155
716
6,382
57
23,034
30.06.2003
854
10,501
7,151
663
6,382
106
18,506
30.06.2004
31.12.2003
30.06.2003
d) z doplat akcjonariuszy / wspólników
e) inny
Kapital zapasowy, razem
30.06.2003
232,719
42,550
167,024
21,590
463,883
Nota 16
KAPITAL Z AKTUALIZACJI WYCENY
a) z tytulu aktualizacji srodków trwalych
b) z tytulu zysków/strat z wyceny instrumentów finansowych, w tym:
- z wyceny instrumentów zabezpieczajacych
c) z tytulu podatku odroczonego
d) róznice kursowe z przeliczenia oddzialów zagranicznych
e) inny (wg rodzaju)
- róznice kursowe z przeliczenia udzialów w spólkach zagranicznych
- wycena prawa wieczystego uzytkowania
- inny
Kapital z aktualizacji wyceny, razem
Nota 17
POZOSTALE KAPITALY REZERWOWE (WEDLUG CELU
PRZEZNACZENIA)
- na srodki obrotowe
Pozostale kapitaly rezerwowe, razem
394
394
-
-
Nota 18
ODPISY Z ZYSKU NETTO W CIAGU ROKU OBROTOWEGO (z
tytulu)
- odpisy z zysku netto
Odpisy z zysku netto w ciagu roku obrotowego, razem
30.06.2004
Komisja Papierów Wartosciowych i Gield
-
31.12.2003
-
30.06.2003
-
69
Grupa BUDIMEX
SA-PSr 2003
w tys. zl.
Nota 19
ZMIANA STANU KAPITALÓW MNIEJSZOSCI
a) stan na poczatek okresu
b) zwiekszenia z tytulu:
- zysku akcjonariuszy (udzialowców) mniejszosciowych
c) zmniejszenia (z tytulu)
- zmiana stanu Grupy
- straty akcjonariuszy (udzialowców) mniejszosciowych
- inne zmniejszenia
- wyplata dywidend dla mniejszosci
- nabycia dodatkowych akcji przez dotychczasowego akcjonariusza
wiekszosciowego
d) stan kapitalów mniejszosci na koniec okresu
30.06.2004
7,388
402
402
432
81
47
217
87
7,358
31.12.2003
10,436
170
170
3,218
1,030
852
17
1,319
7,388
30.06.2003
10,436
976
931
45
9,460
Nota 20A
UJEMNA WARTOSC FIRMY JEDNOSTEK PODPORZADKOWANYCH
a) ujemna wartosc firmy - jednostki zalezne
b) ujemna wartosc firmy - jednostki wspólzalezne
c) ujemna wartosc firmy - jednostki stowarzyszone
Ujemna wartosc firmy jednostek podporzadkowanych, razem
30.06.2004
23,079
23,079
31.12.2003
23,330
23,330
30.06.2003
24,492
24,492
30.06.2004
31.12.2003
30.06.2003
Nota 20B
ZMIANA STANU UJEMNEJ WARTOSCI FIRMY - JEDNOSTKI
ZALEZNE
a) ujemna wartosc firmy brutto na poczatek okresu
b) zwiekszenia (z tytulu):
- rozpoznanie ujemnej wartosci firmy w wyniku dokonanych zakupów
- inne zwiekszenia
c) zmniejszenia (z tytulu)
- korekta z tyt sprzedazy czesci PWUG przez spólke zalezna PBK
d) ujemna wartosc firmy brutto na koniec okresu
e) odpis ujemnej wartosci firmy na poczatek okresu
f) odpis ujemnej wartosci firmy za okres (z tytulu)
- odpisu za okres sprawozdawczy
g) odpis ujemnej wartosci firmy na koniec okresu
h) ujemna wartosc firmy netto na koniec okresu
37,338
1,289
1,289
433
433
38,194
14,008
1,107
1,107
15,115
23,079
36,915
548
548
125
125
37,338
9,107
4,901
4,901
14,008
23,330
36,915
4
4
125
125
36,794
9,107
3,195
3,195
12,302
24,492
Nota 20C
ZMIANA STANU UJEMNEJ WARTOSCI FIRMY - JEDNOSTKI
WSPÓLZALEZNE
a) ujemna wartosc firmy brutto na poczatek okresu
b) zwiekszenia
c) zmniejszenia
d) ujemna wartosc firmy brutto na koniec okresu
e) odpis ujemnej wartosci firmy na poczatek okresu
f) odpis ujemnej wartosci firmy za okres
g) odpis ujemnej wartosci firmy na koniec okresu
h) ujemna wartosc firmy netto na koniec okresu
Komisja Papierów Wartosciowych i Gield
30.06.2004
-
31.12.2003
-
30.06.2003
-
70
Grupa BUDIMEX
SA-PSr 2003
w tys. zl.
Nota 20D
ZMIANA STANU UJEMNEJ WARTOSCI FIRMY - JEDNOSTKI
STOWARZYSZONE
a) ujemna wartosc firmy brutto na poczatek okresu
b) zwiekszenia
c) zmniejszenia
d) ujemna wartosc firmy brutto na koniec okresu
e) odpis ujemnej wartosci firmy na poczatek okresu
f) odpis ujemnej wartosci firmy za okres
g) odpis ujemnej wartosci firmy na koniec okresu
h) ujemna wartosc firmy netto na koniec okresu
Komisja Papierów Wartosciowych i Gield
30.06.2004
-
31.12.2003
-
30.06.2003
-
80
Grupa BUDIMEX
SA-PSr 2003
w tys. zl.
Nota 20E
ZMIANA STANU UJEMNEJ WARTOSCI FIRMY - JEDNOSTKI ZALEZNE
a) wartosc brutto na 01.01.2004r.
b) zwiekszenia
c) zmniejszenia
d) wartosc brutto na koniec okresu
e) odpis wartosci firmy na 01.01.2004r.
f) odpis wartosci firmy za okres (z tytulu):
- odpis roczny
- inne
g) odpis wartosci firmy na 30.06.2004r.
h) wartosc netto na koniec okresu
Bx Dromex
SA
6,818
Zarat SA
6,818
5,492
657
657
6,149
669
7,369
313
7,056
650
244
244
894
6,162
Bipromet SA
21,026
21,026
7,643
150
150
7,793
13,233
Inzynieria
Bialystok SA
241
241
132
27
27
159
82
Elektromontaz
Poznan
1,289
1,289
1,289
Bipromet SA
(PB Katowice SA)
1,884
120
1,764
91
29
29
120
1,644
Razem
37,338
1,289
433
38,194
14,008
1,107
1,107
15,115
23,079
Sposób ustalenia wartosci firmy z konsolidacji opisano we wprowadzeniu do SA-PSr 2004 w nocie 12 - "Podstawowe zasady wyceny aktywów i pasywów Grupy
Kapitalowej oraz ustalania wyniku finansowego".
Komisja Papierów Wartosciowych i Gield
72
Grupa BUDIMEX
SA-PSr 2003
w tys. zl.
Nota 21A
ZMIANA STANU REZERWY Z TYTULU ODROCZONEGO
PODATKU DOCHODOWEGO
1. Stan rezerwy na poczatek okresu, w tym:
a) odniesionej na wynik finansowy
- z tytulu dodatnich róznic przejsciowych
b) odniesionej na kapital wlasny
c) odniesionej na wartosc firmy lub ujemna wartosc firmy
2. Zwiekszenia (z tytulu)
a) odniesione na wynik finansowy okresu z tytulu dodatnich róznic
przejsciowych (z tytulu):
- powstania róznic przejsciowych
b) odniesione na kapital wlasny w zwiazku z dodatnimi róznicami
przejsciowymi
c) odniesione na wartosc firmy lub ujemna wartosc firmy w zwiazku z
dodatnimi róznicami przejsciowymi
3. Zmniejszenia (z tytulu)
a) odniesione na wynik finansowy okresu w zwiazku z dodatnimi
róznicami przejsciowymi (z tytulu):
- odwrócenia róznic przejsciowych (wykorzystania rezerwy na
odroczony podatek dochodowy)
- inne
- zmiany stawki podatkowej
b) odniesione na kapital wlasny w zwiazku z dodatnimi róznicami
przejsciowymi
c) odniesione na wartosc firmy lub ujemna wartosc firmy w zwiazku z
dodatnimi róznicami przejsciowymi
4. Stan rezerwy na koniec okresu (wg tytulów):
a) odniesionej na wynik finansowy
- z tytulu dodatnich róznic przejsciowych
b) odniesionej na kapital wlasny
c) odniesionej na wartosc firmy lub ujemna wartosc firmy
Stan rezerwy z tytulu odroczonego podatku dochodowego na
koniec okresu, razem
30.06.2004
31.12.2003
30.06.2003
15,678
15,442
15,442
236
27,008
27,008
13,695
13,459
13,459
236
11,026
11,026
13,695
13,459
13,459
236
34,754
34,754
27,008
-
11,026
-
34,754
-
-
-
-
1,746
1,746
9,043
9,043
20,895
20,895
1,746
2,442
20,624
6,601
-
271
-
40,940
40,704
40,704
236
40,940
Komisja Papierów Wartosciowych i Gield
15,678
15,442
15,442
236
15,678
27,554
27,318
27,318
236
27,554
73
Grupa BUDIMEX
SA-PSr 2003
w tys. zl.
Nota 21A.1
Stan na dzien
DODATNIE RÓZNICE PRZEJSCIOWE WG TYTULÓW
Tytul aktywa / zobowiazania
- rozliczenia miedzyokresowe kosztów (aktywa) - wycena kontraktów
30.06.2004
28,666
31.12.2003
7,497
Data wygasniecia dodatnich
30.06.2003
20,421
róznic przejsciowych
rok 2004 - 2008
490
411
175
rok 2004 - 2005
- naleznosci / zobowiazania - dodatnie niezrealizowane róznice kursowe
1,118
2,802
1,769
rok 2004 - 2005
- przychody podlegajace opodatkowaniu za granica
2,863
235
2,418
rok 2004 - 2006
- wycena instrumentów finansowych (w tym transakcji terminowych)
6,747
3,615
2,680
rok 2004 - 2005
1,056
1,118
91
rok 2004 - 2006
- naleznosci - nieotrzymane odsetki
- pozostale
Dodatnie róznice przejsciowe razem
40,940
15,678
Komisja Papierów Wartosciowych i Gield
27,554
74
Grupa BUDIMEX
SA-PSr 2003
w tys. zl.
Nota 21B
ZMIANA STANU DLUGOTERMINOWEJ REZERWY NA
SWIADCZENIA EMERYTALNE I PODOBNE (WG TYTULÓW)
A. Odprawy emerytalne
a) stan na poczatek okresu
b) zwiekszenia (z tytulu)
- utworzenie rezerwy
c) wykorzystanie
- wyplaty
d) rozwiazanie (z tytulu)
- aktualizacja wyceny rezerw
- przeniesienie do rezerw krótkoterminowych
e) stan na koniec okresu
B. Nagrody jubileuszowe
a) stan na poczatek okresu
b) zwiekszenia (z tytulu)
- utworzenie rezerwy
c) wykorzystanie
d) rozwiazanie (z tytulu)
- wyplaty
- aktualizacja wyceny rezerwy
- przeniesienie do rezerw krótkoterminowych
e) stan na koniec okresu
C. Odprawy dla pracowników
a) stan na poczatek okresu
b) zwiekszenia
- inne
c) wykorzystanie
d) rozwiazanie
- wyplaty
e) stan na koniec okresu
D. Inne
a) stan na poczatek okresu
b) zwiekszenia
c) wykorzystanie
d) rozwiazanie
e) stan na koniec okresu
Dlugoterminowa rezerwa na swiadczenia emerytalne i podobne,
razem
30.06.2004
Komisja Papierów Wartosciowych i Gield
31.12.2003
30.06.2003
3,440
16
16
3,424
4,594
309
309
9
9
1,454
1,441
13
3,440
4,594
4,594
2,415
2,415
2,876
316
316
777
30
698
49
2,415
2,876
-
50
2
2
48
50
50
50
5,887
5,905
2,876
7,470
75
Grupa BUDIMEX
SA-PSr 2003
w tys. zl.
Nota 21C
ZMIANA STANU KRÓTKOTERMINOWEJ REZERWY NA
SWIADCZENIA EMERYTALNE I PODOBNE (WG TYTULÓW)
A. Odprawy emerytalne
a) stan na poczatek okresu
b) zwiekszenia (z tytulu)
- utworzenie rezerwy
- przeniesienie z rezerwy dlugoterminowej
c) wykorzystanie
d) rozwiazanie (z tytulu)
- wyplaty
- aktualizacja rezerwy
- inne
e) stan na koniec okresu
B. Nagrody jubileuszowe
a) stan na poczatek okresu
b) zwiekszenia (z tytulu)
- utworzenie rezerwy
- przeniesienie z rezerwy dlugoterminowej
c) wykorzystanie
d) rozwiazanie (z tytulu)
- wyplaty
e) stan na koniec okresu
C. Odprawy dla pracowników
a) stan na poczatek okresu
b) zwiekszenia
c) wykorzystanie
d) rozwiazanie
e) stan na koniec okresu
D. Inne
a) stan na poczatek okresu
b) zwiekszenia
c) wykorzystanie
d) rozwiazanie
e) stan na koniec okresu
Krótkoterminowa rezerwa na swiadczenia emerytalne i podobne,
razem
30.06.2004
Komisja Papierów Wartosciowych i Gield
31.12.2003
30.06.2003
337
27
26
1
310
893
13
13
569
230
339
337
893
21
21
212
53
159
702
276
83
83
193
446
275
226
49
445
445
276
446
84
84
99
99
431
-
-
-
503
613
1,133
85
Grupa BUDIMEX
SA-PSr 2003
w tys. zl.
Nota 21D
ZMIANA STANU POZOSTALYCH REZERW
DLUGOTERMINOWYCH (WG TYTULÓW)
A. Udzielone poreczenia
a) stan na poczatek okresu
b) zwiekszenia
c) wykorzystanie
d) rozwiazanie
e) stan na koniec okresu
B. Zobowiazania wobec Skarbu Panstwa
a) stan na poczatek okresu
b) zwiekszenia
c) wykorzystanie
d) rozwiazanie
e) stan na koniec okresu
C. Ryzyko gospodarcze
a) stan na poczatek okresu
b) zwiekszenia
c) wykorzystanie
d) rozwiazanie
e) stan na koniec okresu
D. Inne
a) stan na poczatek okresu
b) zwiekszenia
c) wykorzystanie
d) rozwiazanie
e) stan na koniec okresu
Pozostale rezerwy dlugoterminowe, razem
30.06.2004
31.12.2003
30.06.2003
10,000
10,000
10,000
10,000
10,000
10,000
Komisja Papierów Wartosciowych i Gield
-
-
-
-
-
-
10,000
10,000
10,000
95
Grupa BUDIMEX
SA-PSr 2003
w tys. zl.
Nota 21E
ZMIANA STANU POZOSTALYCH REZERW
KRÓTKOTERMINOWYCH (WG TYTULÓW)
A. Sprawy sadowe
a) stan na poczatek okresu
b) zwiekszenia (z tytulu)
- utworzenie rezerwy
- inne
c) wykorzystanie (z tytulu)
- wyplaty
d) rozwiazanie (z tytulu)
- wyplaty
- aktualizacja wyceny rezerwy
- rozwiazanie rezerwy na zobowiazania sporne
e) stan na koniec okresu
B. Zobowiazania wobec Skarbu Panstwa
a) stan na poczatek okresu
b) zwiekszenia
c) wykorzystanie
d) rozwiazanie (z tytulu)
- aktualizacja wyceny rezerwy
- inne
e) stan na koniec okresu
C. Restrukturyzacja
a) stan na poczatek okresu
b) zwiekszenia (z tytulu)
- utworzenie rezerwy
- inne
c) wykorzystanie
d) rozwiazanie (z tytulu)
- wyplaty
e) stan na koniec okresu
D. Inne
a) stan na poczatek okresu
b) zwiekszenia (z tytulu)
- utworzenie rezerwy
- inne
c) wykorzystanie (z tytulu)
- inne
d) rozwiazanie (z tytulu)
- wyplaty
- aktualizacja wyceny rezerwy
- inne
e) stan na koniec okresu
Pozostale rezerwy krótkoterminowe, razem
30.06.2004
Komisja Papierów Wartosciowych i Gield
2,762
1,638
16
1,622
110
110
212
212
4,078
31.12.2003
30.06.2003
1,155
2,110
1,673
437
370
370
133
133
2,762
1,155
2,145
1,493
652
381
381
2,919
120
120
120
-
120
90
90
30
6,306
3,018
3,018
3,288
3,193
3,113
3,113
6,306
3,193
9
9
3,202
1,714
555
25
530
367
8
294
65
1,902
9,268
887
1,365
341
1,024
186
186
352
250
83
19
1,714
10,782
887
816
816
343
343
60
12
48
1,300
7,451
-
105
Grupa BUDIMEX
SA-PSr 2003
w tys. zl.
Nota 22A
ZOBOWIAZANIA DLUGOTERMINOWE
a) wobec jednostek zaleznych
- inne
b) wobec jednostek wspólzaleznych
c) wobec jednostek stowarzyszonych
d) wobec znaczacego inwestora
e) wobec jednostki dominujacej
f) wobec pozostalych jednostek
- kredyty i pozyczki
- inne zobowiazania finansowe
- umowy leasingu finansowego
- inne
Zobowiazania dlugoterminowe, razem
30.06.2004
9
9
21,375
17,423
15
3,898
39
21,384
31.12.2003
9
9
22,043
17,105
4,413
525
22,052
30.06.2003
9
9
34,382
33,875
77
430
34,391
30.06.2004
31.12.2003
30.06.2003
10,514
7,888
2,982
21,384
8,709
8,198
5,145
22,052
22,788
6,468
5,135
34,391
30.06.2004
31.12.2003
30.06.2003
2,641
18,743
4,126
18,743
21,384
540
21,512
4,560
21,512
22,052
16,289
18,102
3,983
18,033
15
69
34,391
Nota 22B
ZOBOWIAZANIA DLUGOTERMINOWE, O
POZOSTALYM OD DNIA BILANSOWEGO
OKRESIE SPLATY
a) powyzej 1 roku do 3 lat
b) powyzej 3 do 5 lat
c) powyzej 5 lat
Zobowiazania dlugoterminowe, razem
Nota 22C
ZOBOWIAZANIA DLUGOTERMINOWE
(STRUKTURA WALUTOWA)
a) w walucie polskiej
b) w walutach obcych (wg walut i po przeliczeniu na zl)
b1. jednostka/waluta tys. / EUR
tys. zl
b2. jednostka/waluta tys. / USD
tys. zl
Zobowiazania dlugoterminowe, razem
Komisja Papierów Wartosciowych i Gield
79
Grupa BUDIMEX
SA-PSr 2003
w tys. zl.
Nota 22D
ZOBOWIAZANIA DLUGOTERMINOWE Z TYTULU KREDYTÓW I POZYCZEK
Nazwa (firma) jednostki ze
siedziba
wskazaniem formy prawnej
Rheinhyp-BRE Bank
kwota kredytu / pozyczki wg
umowy
zl
Warszawa
waluta
16,000
PLN
kwota kredytu / pozyczki
pozostala do splaty
zl
waluta
2,572
PLN
warunki
termin
oprocentowania
splaty
WIBOR 1m + marza
zabezpieczenia
31.07.2006r.
Hipoteczny S.A.
1. hipoteka kaucyjna na laczna kwote 64 000
inne
-
tysiecy zlotych, 2. cesja na rzecz banku praw z
polisy ubezpiecz.inwestycji, 3. przelew na rzecz
banku wierzytelnosci z tyt.obecnych oraz
przyszlych umów sprzedazy, 4. zastaw rejestrowy
na wszystkich udzialach w spólce Zawiszy Sp. z
o.o. ,ustanowiony przez udzialowców na rzecz
banku, 5. pelnomocnictwo dla banku do
dysponowania wszystkimi rachunkami
bankowymi kredytobiorcy, 6. oswiadczenie
udzialowców spólki kredytobiorcy o poreczeniu
za splate kredytu wraz z odsetkami na okres do
momentu lacznego ustanowienia zastawu
rejestrowego.
Kredyt Bank S.A.
Warszawa
29,747
7,136 €
14,851
3,270 €
LIBOR 3m + marza
31.01.2010r.
hipoteka kaucyjna do kwoty stanowiacej
-
równowartosc w zl 13 534 tysiecy EUR na
nieruchomosci polozonej w Licheniu Starym,
cesja praw z polisy ubezpieczeniowej,
pelnomocnictwo do rachunku, oswiadczenie o
poddaniu sie egzekucji do kwoty 8 563 tysiecy
EURO
17,423
Na dzien 30 czerwca 2004 roku kredyty o wartosci 17 423 tysiecy zlotych zostaly zabezpieczone na majatku jednostek Grupy (na dzien 30 czerwca 2003 roku - 33 875 tysiecy zlotych).
Nota 22E
ZOBOWIAZANIA DLUGOTERMINOWE Z TYTULU WYEMITOWANYCH DLUZNYCH INSTRUMENTÓW FINANSOWYCH
dluzne instrumenty finansowe
wg rodzaju
-
wartosc
nominalna
-
warunki
termin wykupu
oprocentowania
-
-
gwarancje/
zabezpieczenia
-
dodatkowe
prawa
rynek notowan
-
-
inne
-
-
Komisja Papierów Wartosciowych i Gield
80
Grupa BUDIMEX
SA-PSr 2003
w tys. zl.
Nota 23A
ZOBOWIAZANIA KRÓTKOTERMINOWE
a) wobec jednostek zaleznych
- z tytulu dostaw i uslug, o okresie wymagalnosci:
- do 12 miesiecy
- powyzej 12 miesiecy
b) wobec jednostek wspólzaleznych
- kredyty i pozyczki
c) wobec jednostek stowarzyszonych
- z tytulu emisji dluznych papierów wartosciowych
- z tytulu dostaw i uslug, o okresie wymagalnosci:
- do 12 miesiecy
- powyzej 12 miesiecy
d) wobec znaczacego inwestora
e) wobec jednostki dominujacej
- kredyty i pozyczki
- dlugoterminowe w okresie splaty
- z tytulu dostaw i uslug, o okresie wymagalnosci:
- do 12 miesiecy
- powyzej 12 miesiecy
f) wobec pozostalych jednostek
- kredyty i pozyczki
- dlugoterminowe w okresie splaty
- z tytulu emisji dluznych papierów wartosciowych
- z tytulu dywidend
- inne zobowiazania finansowe, w tym:
- wartosc godziwa instrumentów finansowych
- z tytulu dostaw i uslug, o okresie wymagalnosci:
- do 12 miesiecy
- powyzej 12 miesiecy
- zaliczki otrzymane na dostawy
- zobowiazania wekslowe
- inne (wg tytulów):
VAT nalezny - odlozony
z tytulu podatków i cel
z tytulu wynagrodzen
z tytulu ubezpieczen i innych swiadczen
pozostale zobowiazania zagraniczne
rozrachunki z tytulu polis ubezpieczeniowych
rozrachunki z pracownikami
inne rozrachunki
g) fundusze specjalne
Zakladowy Fundusz Swiadczen Socjalnych
Miedzyzakladowy Fundusz Mieszkaniowy
Fundusz Restrukturyzacji
inne
Zobowiazania krótkoterminowe, razem
30.06.2004
8,472
7,512
960
669
291
12,088
5,912
6,176
6,176
465,675
50,209
8,367
12,347
12,347
336,137
275,552
60,585
3,103
63,879
30,011
10,854
9,488
8,285
757
82
19
4,383
9,764
8,197
174
1,275
118
495,999
31.12.2003
124
124
9,916
7,747
2,169
1,260
909
4,366
4,366
4,366
459,435
5,886
3,365
16,557
16,557
392,248
334,355
57,893
404
44,340
8,303
11,807
8,405
9,535
2,298
576
36
3,380
8,834
7,267
174
1,275
118
482,675
30.06.2003
2,612
2,612
2,456
156
120
120
9,796
7,544
2,252
1,925
327
3,807
3,807
327
3,480
525,246
37,146
3,230
2,600
9,927
9,927
420,837
375,359
45,478
264
54,472
16,450
5,202
10,450
9,705
8,136
512
115
3,902
11,809
10,242
174
1,275
118
553,390
30.06.2004
31.12.2003
30.06.2003
442,702
53,297
10,714
48,565
44
165
4,567
495,999
401,466
81,209
14,166
66,817
350
1,310
13,082
482,675
479,428
73,962
12,945
58,006
301
1,152
14,804
553,390
Nota 23B
ZOBOWIAZANIA KRÓTKOTERMINOWE (STRUKTURA
WALUTOWA)
a) w walucie polskiej
b) w walutach obcych (wg walut i po przeliczeniu na zl)
b1. jednostka/waluta tys. / EUR
tys. zl
b2. jednostka/waluta tys. / USD
tys. zl
b3. pozostale waluty w tys. zl
Zobowiazania krótkoterminowe, razem
Komisja Papierów Wartosciowych i Gield
81
SA-PSr 2003
Grupa BUDIMEX
w tys. zl.
Nota 23C
ZOBOWIAZANIA KRÓTKOTERMINOWE Z TYTULU KREDYTÓW I POZYCZEK
Nazwa (firma)
kwota kredytu / pozyczki wg kwota kredytu / pozyczki
siedziba
jednostki
umowy
pozostala do splaty
zl
waluta
zl
waluta
Ferrovial Infraestructuras Hiszpania
S.A. Madryt
Kredyt Bank S.A. III
ul.
Oddzial w Warszawie Parkingowa
1
Bank Handlowy S.A.
ul.
w Warszawie
Senatorska
16
Kredyt Bank S.A. III/O Warszawa
Warszawa
warunki
termin
oprocentowania
splaty
6,012
1 292 EUR
5,912
1 292 EUR
EUR IBOR + marza
23.03.2005r.
25,000
PLN
4,989
PLN
WIBOR O/N + marza
30.11.2004r.
32,000
PLN
27,170
PLN
WIBOR T/N + marza
26.01.2005r.
Umowa poreczenia wzajemnego z dnia 10 grudnia
2001 roku
29,747
7,136 €
713 EUR*
LIBOR 3m + marza
31.01.2010r.
PLN
PLN
Wibor 1M + marza
30.11.2005r.
Hipoteka kaucyjna do kwoty stanowiacej
równowartosc w zl 13 534 tysiecy EURO na
nieruchomosci polozonej w Licheniu Starym, cesja
praw z polisy ubezpieczeniowej, pelnomocnictwo
do rachunku, oswiadczenie o poddaniu sie
1. Hipoteka kaucyjna do kwoty 28 000 tysiecy
zlotych
2. Cesja praw z polisy
ubezp. Inwestycji na kwote 14 000 tysiecy zlotych
3. Zastaw rejestrowy na udzialach
4. Poreczenie Budmex Nieruchomosci
5. Przelew na rzecz banku wierzytelnosci z tytulu
obecnych oraz przyszlych umów sprzedazy
6. Cesja praw z gwarancji dobrego wykonania
1. Hipoteka kaucyjna na laczna kwote 64 000
tysiecy zlotych,
2. Cesja na rzecz banku praw z polisy
ubezpiecz.inwestycji, 3. przelew na rzecz banku
wierzytelnosci z tyt.obecnych oraz przyszlych umów
sprzedazy,
4. Zastaw
rejestrowy na wszystkich udzialach w spólce
Kredytobiorcy ,ustanowiony przez udzialowców na
rzecz banku,
5. Pelnomocnictwo dla banku do dysponowania
wszystkimi rachunkami bankowymi kredytobiorcy,
6. Oswiadczenie udzialowców spólki kredytobiorcy
o poreczeniu za splate kredytu wraz z odsetkami na
okres do momentu lacznego ustanowienia zastawu
Poreczenie spólki Budimex - Dromex SA W-wa
3 240*
RHEINHYP BRE
BANK HIPOTECZNY
S.A.
Warszawa,
ul.
Al..Armii
Ludowej 26
14,000
Rheinhyp-BRE Bank
Hipoteczny S.A.
Warszawa
16,000
PLN
9 143**
PLN
WIBOR 1m + marza
30.11.2005r.
1,000
PLN
540
PLN
T/N WIBOR z
kazdego okresu
odsetkowego z
zastrzezeniem,ze w
dni nie bedace
dniami roboczymi w
Banku, z ostatniego
dnia roboczego, plus
12.02.2005r.
Bank Handlowy
Warszawa
zabezpieczenia
5
127**
56,121
inne
Akcje spolki "Autopista Madrid Levante
Consesionaria Espanola S.A.", posiadane przez
Poreczenie Budimex Dromex SA oraz Budimex
Nieruchomosci Sp z oo.
* czesc krótkoterminowa kredytu dlugoterminowego
** transza kredytu wymagalna w II polowie 2004 roku
Nota 23D
ZOBOWIAZANIA KRÓTKOTERMINOWE Z TYTULU WYEMITOWANYCH DLUZNYCH
INSTRUMENTÓW FINANSOWYCH
dluzne instrumenty
wartosc
warunki
finansowe wg
nominalna oprocentowa
7,500
obligacje
6.39%
termin
wykupu
22.12.2004r.
gwarancje/ dodatkowe
zabezpieczen
prawa
prawo
wczesniejszeg
o wykupu
inne
-
7,500
Zobowiazania krótkoterminowe z tytulu zaciagnietych kredytów zabezpieczone na majatku jednostek Grupy wyniosly na
dzien 30 czerwca 2004 roku 23 422 tysiecy (7 793 tysiecy zlotych na dzien 30 czerwca 2003 roku).
Komisja Papierów Wartosciowych i Gield
82
Grupa BUDIMEX
w tys. zl.
SA-PSr 2003
Nota 24A
ZMIANA STANU UJEMNEJ WARTOSCI FIRMY
a) stan na poczatek okresu
b) zwiekszenia (z tytulu)
c) zmniejszenia (z tytulu)
- odpis ujemnej wartosci firmy za okres sprawozdawczy
Stan ujemnej wartosci firmy na koniec okresu
30.06.2004
-
31.12.2003
670
670
670
-
30.06.2003
670
360
360
310
30.06.2004
210,255
23,963
23,963
186,292
128,427
32,910
8,556
8,087
4,747
2,847
718
132,791
60,704
60,699
5
72,087
46,669
24,963
14
441
343,046
31.12.2003
132,028
22,325
22,325
109,703
64,410
12,861
7,606
12,150
6,474
4,230
339
1,633
129,284
60,036
60,024
12
69,248
27,885
41,125
10
228
261,312
30.06.2003
120,223
13,467
13,462
5
106,756
66,673
6,603
9,517
7,654
11,835
3,627
225
118
504
128,208
60,697
60,693
4
67,511
35,385
31,917
209
248,431
30.06.2004
31.12.2003
30.06.2003
Nota 24B
INNE ROZLICZENIA MIEDZYOKRESOWE
a) bierne rozliczenia miedzyokresowe kosztów
- dlugoterminowe (wg tytulów)
- rezerwy na naprawy gwarancyjne
- inne
- krótkoterminowe (wg tytulów)
- rezerwy na niezafakturowane koszty uslug
- rezerwy na straty na kontraktach
- rezerwa na niewykorzystane urlopy
- rezerwa na premie
- rezerwy na naprawy gwarancyjne
- rezerwa na koszty zakonczenia kontraktów
- rezerwa na koszty uslug finansowych
- rezerwa na koszty finansowe
- inne
b) rozliczenia miedzyokresowe przychodów
- dlugoterminowe (wg tytulów)
- otrzymane zaliczki kontraktowe
- inne
- krótkoterminowe (wg tytulów)
- otrzymane zaliczki na poczet przyszlych swiadczen
- wycena kontraktów - korekta przychodów
- odsetki od spraw sadowych oraz koszty sadowe
- inne
Inne rozliczenia miedzyokresowe, razem
Nota 25.
OBLICZENIE WARTOSCI KSIEGOWEJ NA JEDNA
AKCJE
Wartosc ksiegowa (w tys. zl)
Liczba akcji
Wartosc ksiegowa na jedna akcje (w zl)
511,525
25,530,098
20.04
Komisja Papierów Wartosciowych i Gield
511,159
25,530,098
20.02
456,368
25,530,098
17.88
83
Grupa BUDIMEX
SA-PSr 2003
w tys. zl.
Noty objasniajace do pozycji pozabilansowych
Nota 26A
NALEZNOSCI WARUNKOWE OD JEDNOSTEK POWIAZANYCH
(z tytulu)
a) otrzymanych gwarancji i poreczen, w tym:
- od jednostek zaleznych
- od Budimex S.A.
b) pozostale
b.1. otrzymanych weksli jako zabezpieczenie, w tym:
- od jednostek zaleznych
Naleznosci warunkowe od jednostek powiazanych, razem
30.06.2004
31.12.2003
30.06.2003
375,997
126,275
249,722
194
194
194
376,191
321,063
111,606
209,457
836
836
836
321,899
30.06.2004
31.12.2003
30.06.2003
387,392
272,184
115,208
515
515
58
457
387,907
333,159
228,159
105,000
584
584
584
333,743
226,312
226,312
126
126
126
226,438
5,844
5,844
194
194
194
6,038
Nota 26B
ZOBOWIAZANIA WARUNKOWE NA RZECZ JEDNOSTEK
POWIAZANYCH (z tytulu)
a) udzielonych gwarancji i poreczen, w tym:
- na rzecz jednostek zaleznych
- na rzecz Budimex S.A.
b) pozostale (z tytulu)
b.1. wystawionych weksli jako zabezpieczenie, w tym:
- na rzecz jednostek zaleznych
- na rzecz jednostki dominujacej
Zobowiazania warunkowe na rzecz jednostek powiazanych, razem
Naleznosci i zobowiazania warunkowe jednostek zaleznych dotycza równiez tych spólek, które sa konsolidowane
metoda pelna.
Komisja Papierów Wartosciowych i Gield
84
Grupa BUDIMEX
SA-PSr 2003
w tys. zl.
Noty objasniajace do skonsolidowanego rachunku zysków i strat
Nota 27A
PRZYCHODY NETTO ZE SPRZEDAZY PRODUKTÓW
(STRUKTURA RZECZOWA - RODZAJE DZIALALNOSCI)
a) przychody ze sprzedazy robót budowlano-montazowych, w tym:
- od jednostek powiazanych
b) przychody ze sprzedazy pozostalych uslug, w tym:
- od jednostek powiazanych
c) przychody ze sprzedazy wyrobów, w tym:
- od jednostek powiazanych
Przychody netto ze sprzedazy produktów, razem
- od jednostek powiazanych
01.01 - 30.06.2004
01.01 - 30.06.2003
717,546
3,461
25,842
226
27,503
770,891
3,687
879,834
23
34,748
206
44,559
5
959,141
234
Nota 27B
PRZYCHODY NETTO ZE SPRZEDAZY PRODUKTÓW
(STRUKTURA TERYTORIALNA)
1. kraj, w tym:
- od jednostek powiazanych
2. eksport, w tym:
- od jednostek powiazanych
Przychody netto ze sprzedazy produktów, razem
- od jednostek powiazanych
01.01 - 30.06.2004
01.01 - 30.06.2003
588,087
3,687
182,804
770,891
3,687
799,029
234
160,112
959,141
234
Nota 28A
PRZYCHODY NETTO ZE SPRZEDAZY TOWARÓW I
MATERIALÓW (STRUKTURA RZECZOWA - RODZAJE
DZIALALNOSCI)
a) przychody ze sprzedazy materialów, w tym:
- od jednostek powiazanych
b) przychody ze sprzedazy towarów, w tym:
- od jednostek powiazanych
Przychody netto ze sprzedazy towarów i materialów, razem
- od jednostek powiazanych
01.01 - 30.06.2004
01.01 - 30.06.2003
3,546
16,757
20,303
-
2,729
15,263
17,992
-
Nota 28B
PRZYCHODY NETTO ZE SPRZEDAZY TOWARÓW I
MATERIALÓW (STRUKTURA TERYTORIALNA)
1. kraj, w tym:
- od jednostek powiazanych
2. eksport, w tym:
- od jednostek powiazanych
Przychody netto ze sprzedazy towarów i materialów, razem
- od jednostek powiazanych
01.01 - 30.06.2004
01.01 - 30.06.2003
20,303
20,303
-
17,992
17,992
-
Przychody netto ze sprzedazy produktów, towarów i materialów w podziale na segmenty zostaly przedstawione w nocie
objasniajacej "Sprawozdawczosc wedlug segmentów branzowych i geograficznych".
Komisja Papierów Wartosciowych i Gield
85
Grupa BUDIMEX
SA-PSr 2003
w tys. zl.
Nota 29.
KOSZTY WEDLUG RODZAJU
01.01 - 30.06.2004
a) amortyzacja
b) zuzycie materialów i energii
c) uslugi obce
d) podatki i oplaty
e) wynagrodzenia
f) ubezpieczenia spoleczne i inne swiadczenia
g) pozostale koszty rodzajowe
- zakwaterowanie pracowników
- podróze sluzbowe
- reprezentacja i reklama
- ubezpieczenia majatkowe i osobowe
- ryczalt za uzywanie prywatnych samochodów do celów sluzbowych
- koszty zakonczenia budowy (utw. rezerw na naprawy gwarancyjne)
- rezerwa na straty na kontraktach
- pozostale
Koszty wedlug rodzaju, razem
Zmiana stanu zapasów, produktów i rozliczen miedzyokresowych
Koszt wytworzenia produktów na wlasne potrzeby jednostki (wielkosc
ujemna)
Koszty sprzedazy (wielkosc ujemna)
Koszty ogólnego zarzadu (wielkosc ujemna)
Koszt wytworzenia sprzedanych produktów
Komisja Papierów Wartosciowych i Gield
01.01 - 30.06.2003
12,591
153,100
406,106
8,156
132,674
29,663
48,964
6,653
3,452
2,719
7,089
68
3,065
17,880
8,038
791,254
(2,362)
(446)
15,540
171,748
542,837
8,879
127,867
31,962
30,324
5,362
4,740
1,612
4,821
316
3,815
2,438
7,220
929,157
13,323
(160)
(12,488)
(53,327)
722,631
(10,218)
(63,674)
868,428
95
Grupa BUDIMEX
SA-PSr 2003
w tys. zl.
Nota 30
INNE PRZYCHODY OPERACYJNE
a) rozwiazane rezerwy (z tytulu)
- rezerwy na restrukturyzacje
- pozostale rezerwy
- rozwiazanie rezerwy na zobowiazania sporne
- inne
b) pozostale, w tym:
- otrzymane kary, odszkodowania
- odwrócenie odpisu aktualizujacego wartosc rzeczowych aktywów
trwalych
- odwrócenie odpisów aktualizujacych w wyniku splaty naleznosci
przez dluzników
- odpis przedawnionych zobowiazan
- nadwyzka wplywów nad wartoscia nominalna naleznosci
- nadwyzka aportu nad wartoscia objetych udzialów
- odwrócenie odpisów aktualizujacych pozostalych
- naprawy gwarancyjne - wykonawstwo zastepcze
- zwrot kosztów sadowych
- odpis ujemnej wartosci firmy
- zwrot oplat za pozwolenia na prace na rynku niemieckim
- pozostale
Inne przychody operacyjne, razem
01.01 - 30.06.2004
3,599
3,018
369
212
13,199
3,479
3,643
01.01 - 30.06.2003
801
575
226
9,339
1,392
-
2,899
4,399
918
666
461
377
230
98
428
16,798
268
136
360
2,336
448
10,140
Nota 31
INNE KOSZTY OPERACYJNE
a) utworzone rezerwy (z tytulu)
- rezerwa na koszty restrukturyzacji
- na sprawy sadowe
- pozostale
b) pozostale, w tym:
- koszty restrukturyzacji
- oplaty sadowe i egzekucje, koszty postepowania sadowego
- koszty windykacji wierzytelnosci
- wyplacone odszkodowania i kary umowne
- wartosc zlikwidowanego majatku trwalego
- darowizny
- naprawy gwarancyjne - wykonawstwo zastepcze
- sprzedaz wierzytelnosci
- odszkodowania i odprawy z tytulu zwolnien z przyczyn
ekonomicznych
- wierzytelnosci odpisane jako niesciagalne
- koszty dzialalnosci socjalnej
- inne
Inne koszty operacyjne, razem
01.01 - 30.06.2004
63
16
47
5,893
3,018
670
638
299
219
127
116
94
65
12
10
625
5,956
01.01 - 30.06.2003
4,440
2,947
1,493
4,654
704
49
1,033
313
101
123
442
1,889
9,094
Nota 31A
ODPISY AKTUALIZUJACE WARTOSC AKTYWÓW
NIEFINANSOWYCH (WG TYTULÓW)
a) wartosci niematerialne i prawne
b) srodki trwale - utrata przydatnosci gospodarczej
c) naleznosci - ryzyko braku splaty
d) zapasy - utrata wartosci
Odpisy aktualizujace wartosc aktywów niefinansowych, razem
01.01 - 30.06.2004
Komisja Papierów Wartosciowych i Gield
762
10,080
40
10,882
01.01 - 30.06.2003
16,030
169
16,199
87
Grupa BUDIMEX
SA-PSr 2003
w tys. zl.
Nota 32A
PRZYCHODY FINANSOWE Z TYTULU DYWIDEND I UDZIALÓW W
01.01 - 30.06.2004
ZYSKACH
a) od jednostek powiazanych
10
b) od pozostalych jednostek
10
Przychody finansowe z tytulu dywidend i udzialów w zyskach, razem
01.01 - 30.06.2003
400
400
Nota 32B
PRZYCHODY FINANSOWE Z TYTULU ODSETEK
a) z tytulu udzielonych pozyczek
- od jednostek powiazanych, w tym:
- od jednostek zaleznych
- od pozostalych jednostek
b) pozostale odsetki
- od jednostek powiazanych, w tym:
- od pozostalych jednostek
Przychody finansowe z tytulu odsetek, razem
01.01 - 30.06.2004
153
153
153
10,587
10,587
10,740
01.01 - 30.06.2003
5,703
5,703
5,703
01.01 - 30.06.2004
94
93
1
57
5
14
38
151
01.01 - 30.06.2003
1,575
15
1,560
1,072
9
3
643
417
2,647
Nota 32C
INNE PRZYCHODY FINANSOWE
a) dodatnie róznice kursowe
- zrealizowane
- niezrealizowane
b) rozwiazanie rezerwy (z tytulu)
- korekta odpisu aktualizujacego odsetki naliczone
- splaty odsetek
- rozwiazanie rezerwy na odsetki
c) pozostale, w tym:
- sprzedaz wierzytelnosci
- prowizje finansowe
- umorzone zobowiazania finansowe
- pozostale
Inne przychody finansowe, razem
Komisja Papierów Wartosciowych i Gield
88
Grupa BUDIMEX
SA-PSr 2003
w tys. zl.
Nota 33A
KOSZTY FINANSOWE Z TYTULU ODSETEK
a) od kredytów i pozyczek
- dla jednostek powiazanych, w tym:
- dla jednostek stowarzyszonych
- dla jednostki dominujacej
- dla pozostalych jednostek
b) pozostale odsetki
- dla jednostek powiazanych, w tym:
- dla pozostalych jednostek
c) odsetki od innych zobowiazan finansowych
- dla jednostek powiazanych, w tym:
- dla jednostek stowarzyszonych
Koszty finansowe z tytulu odsetek, razem
01.01 - 30.06.2004
1,175
46
46
1,129
265
265
224
224
224
1,664
01.01 - 30.06.2003
2,373
43
43
2,330
569
569
229
229
229
3,171
01.01 - 30.06.2004
320
(3,536)
3,856
95
95
4,160
3,035
684
441
4,575
01.01 - 30.06.2003
2,584
(3,377)
5,961
228
228
4,383
2,251
930
1,170
32
7,195
Nota 33B
INNE KOSZTY FINANSOWE
a) ujemne róznice kursowe
- zrealizowane
- niezrealizowane
b) utworzone rezerwy (z tytulu)
- na odsetki od kontrahentów
c) pozostale, w tym:
- gwarancje bankowe
- prowizje bankowe
- pozostale
- sprzedaz wierzytelnosci
Inne koszty finansowe, razem
Komisja Papierów Wartosciowych i Gield
89
Grupa BUDIMEX
SA-PSr 2003
w tys. zl.
Nota 34
ZYSK (STRATA) NA SPRZEDAZY CALOSCI LUB CZESCI UDZIALÓW JEDNOSTEK
PODPORZADKOWANYCH
a) zysk ze sprzedazy udzialów i akcji
- w jednostkach zaleznych
- w jednostkach wspólzaleznych
- w jednostkach stowarzyszonych
b) strata ze sprzedazy udzialów i akcji
- w jednostkach zaleznych
- Lerenu (likwidacja)
- wartosc ksiegowa Lerenu
- DB Projekt Sp. z o.o. (przelew)
- wartosc ksiegowa DB Projekt Sp. z o.o.
- w jednostkach stowarzyszonych
- Strabag Budimex Sp. z o.o. (przelew)
- wartosc ksiegowa sprzedanej jednostki
Zysk (strata) na sprzedazy calosci lub czesci udzialów jednostek podporzadkowanych, razem
01.01 - 30.06.2004
280
280
280
615
(280)
01.01 - 30.06.2003
849
183
183
183
666
666
1,016
(849)
Nota 35
ZYSKI NADZWYCZAJNE
a) losowe
b) pozostale (wg tytulów)
- odszkodowanie otrzymane
- pozostale
Zyski nadzwyczajne, razem
01.01 - 30.06.2004
-
01.01 - 30.06.2003
1
330
329
1
331
01.01 - 30.06.2004
01.01 - 30.06.2003
17
17
17
Nota 36
STRATY NADZWYCZAJNE
a) losowe
b) pozostale (wg tytulów)
- naprawa powypadkowa
- inne
Straty nadzwyczajne, razem
5
5
Nota 37A
PODATEK DOCHODOWY BIEZACY
1. Zysk (strata) brutto skonsolidowany
2. Korekty konsolidacyjne
3. Róznice pomiedzy zyskiem (strata) brutto a podstawa opodatkowania podatkiem dochodowym (wg tytulów):
- trwale róznice pomiedzy zyskiem brutto a dochodem do opodatkowania
- przejsciowe róznice miedzy zyskiem brutto a dochodem
- inne róznice
4. Podstawa opodatkowania podatkiem dochodowym
5. Podatek dochodowy wedlug obowiazujacej stawki
5a. Podatek dochodowy zaplacony od zysków osiagnietych zagranica
6. Zwiekszenia, zaniechania, zwolnienia, odliczenia i obnizki podatku
7. Podatek dochodowy biezacy ujety (wykazany) w deklaracji podatkowej okresu, w tym:
- wykazany w rachunku zysków i strat
- dotyczacy pozycji, które zmniejszyly lub zwiekszyly kapital wlasny
- dotyczacy pozycji, które zmniejszyly lub zwiekszyly wartosc firmy lub ujemna wartosc firmy
01.01 - 30.06.2004
9,104
19,679
(6,320)
2,251
1,018
(9,589)
22,463
4,268
1,815
6,083
6,083
-
01.01 - 30.06.2003
(586)
29,900
(23,484)
(2,615)
(13,937)
(6,932)
5,830
1,574
1,902
(123)
3,353
3,353
-
01.01 - 30.06.2004
(1,509)
-
01.01 - 30.06.2003
1,455
-
Nota 37B
PODATEK DOCHODOWY ODROCZONY, WYKAZANY W RACHUNKU ZYSKÓW I STRAT
- zmniejszenie (zwiekszenie) z tytulu powstania i odwrócenia sie róznic przejsciowych
- zmniejszenie (zwiekszenie) z tytulu zmiany stawek podatkowych
- zmniejszenie (zwiekszenie) z tytulu z poprzednio nieujetej straty podatkowej, ulgi podatkowej lub róznicy
przejsciowej poprzedniego okresu
- zmniejszenie (zwiekszenie) z tytulu odpisania aktywów z tytulu odroczonego podatku dochodowego lub braku
mozliwosci wykorzystania rezerwy na odroczony podatek dochodowy
- inne skladniki podatku odroczonego
Podatek dochodowy odroczony, razem
Komisja Papierów Wartosciowych i Gield
(1,509)
478
1,933
90
Grupa BUDIMEX
SA-PSr 2003
w tys. zl.
Nota 37C
LACZNA KWOTA PODATKU ODROCZONEGO
- ujetego w kapitale wlasnym
- ujetego w wartosci firmy lub ujemnej wartosci firmy (dotyczy jednostkowych sprawozdan finansowych w przypadku
polaczenia)
01.01 - 30.06.2004
-
01.01 - 30.06.2003
-
01.01 - 30.06.2004
(1)
01.01 - 30.06.2003
85
Nota 37D
PODATEK DOCHODOWY WYKAZANY W RACHUNKU ZYSKÓW I STRAT DOTYCZACY:
- dzialalnosci zaniechanej
- wyniku na operacjach nadzwyczajnych
Nota 37E
Sprawozdanie finansowe Jednostki Dominujacej Budimex S.A. za rok konczacy sie dnia 31 grudnia 2003 roku zostalo zatwierdzone na Zwyczajnym Walnym
Zgromadzeniu Akcjonariuszy w dniu 3 czerwca 2004 roku. Podjeto uchwale, ze zysk za rok 2003 w kwocie 469 tysiecy zlotych zostanie przeznaczony w calosci na
kapital zapasowy.
Nota 38
POZOSTALE OBOWIAZKOWE ZMNIEJSZENIA ZYSKU (ZWIEKSZENIA STRATY), Z TYTULU:
Pozostale obowiazkowe zmniejszenia zysku (zwiekszenia straty), razem
01.01 - 30.06.2004
-
01.01 - 30.06.2003
-
01.01 - 30.06.2004
(15,498)
24,982
156
(5,309)
4,331
01.01 - 30.06.2003
3,233
(4,723)
125
(3,451)
(4,816)
Nota 39
ZYSK (STRATA) NETTO
a) zysk (strata) netto jednostki dominujacej
b) zyski (straty) netto jednostek zaleznych
c) zyski (straty) netto jednostek wspólzaleznych
d) zyski (straty) netto jednostek stowarzyszonych
e) korekty konsolidacyjne
Zysk (strata) netto
Nota 40
Zysk (strata) netto (zanualizowany)
Srednia wazona liczba akcji zwyklych
Zysk (strata) na jedna akcje zwykla (w zl) wedlug formuly:
zysk netto dzielony przez srednia wazona liczbe akcji zwyklych
SRODKI PIENIEZNE
a) srodki pieniezne w kasie
b) srodki pieniezne na rachunkach bankowych
- rachunki biezace
- depozyty overnight (jednodniowe)
- inne depozyty do 1 roku
- depozyty powyzej 1 roku o ograniczonej mozliwosci dysponowania
c) inne srodki pieniezne
Srodki pieniezne, razem
54,901
25,530,098
2.15
30.06.2004
697
100,636
30,800
65,148
2,723
1,965
9,090
110,423
5,834
25,530,098
0.23
30.06.2003
950
99,924
23,147
26,747
48,879
1,151
16,995
117,869
NALEZNOSCI
- zmiana stanu naleznosci w bilansie
- zmiana stanu z tyt. naleznosci inwestycyjnych
Zmiana stanu naleznosci w rachunku przeplywów pienieznych
01.01 - 30.06.2004
(10,648)
(11,514)
(22,162)
01.01 - 30.06.2003
(2,976)
(407)
(3,383)
ZOBOWIAZANIA I FUNDUSZE SPECJALNE
- zmiana stanu zobowiazan i funduszy specjalnych w bilansie
- zmiana stanu zobowiazan z tytulu kredytów i pozyczek
- zmiana stanu zobowiazan inwestycyjnych
- zmiana stanu zobowiazan z tytulu wyemitowanych papierów wartosciowych
- inne
Zmiana stanu zobowiazan i funduszy specjalnych w rachunku przeplywów pienieznych
01.01 - 30.06.2004
12,656
(50,429)
(1)
235
545
(36,994)
01.01 - 30.06.2003
(45,484)
16,953
2,785
(2,607)
(28,353)
Pozycja A.II.12 inne korekty z dzialalnosci operacyjnej w kwocie (19.189) tysiecy zlotych sklada sie z nastepujacych pozycji:
(3 749) tysiecy zlotych - róznice kursowe z przeliczenia oddzialów zagranicznych,
(17 110) tysiecy zlotych - zmiana stanu aktywów z tutulu wyceny instrumentów finansowych,
762 tysiace zlotych - odpisy aktualizujace srodki trwale
908 tysiecy zlotych - pozostale korekty
Pozycja C.II.9 inne wydatki finansowe w kwocie 406 tysiecy zlotych dotyczy:
193 tysiecy zlotych - wycena transakcji forward
206 tysiecy zlotych - srodki pieniezne DB projekt na koniec roku (spólka sprzedana)
10 tysiecy zlotych - pozostale wydatki finansowe
Komisja Papierów Wartosciowych i Gield
100
Grupa BUDIMEX
SA-PSr 2003
w tys. zl.
PODATEK DOCHODOWY ZA I PÓLROCZE 2004r. W PRZEKROJU
JEDNOSTEK OBJETYCH KONSOLIDACJA
Nazwa spólki
Budimex SA
DB Projekt Sp. z o.o.
Budimex Dromex SA
Dromex Cieszyn SA
Budimex Nieruchomosci Sp. z o.o.
Unibud Sp. z o.o.
Mostostal Kraków SA
Energetyka Czerwonak SA
Sprzet-Transport Sp. z o.o.
Budchem Sp. z o.o.
CK Budimex Sp. z o.o.
Budimex Poznan Developer Sp. z o.o.
Bx Wilczak Sp. z o.o.
Zawiszy Sp. z o.o.
Bx Zacisze Sp. z o.o.
Bipromet SA
Zarat SA
korekty konsolidacyjne
Razem
Podatek
nalezny
1,055
3,095
114
1,643
(62)
87
49
52
38
12
6,083
Podatek
odroczony
(4,926)
2,127
303
407
661
306
10
(22)
17
16
(408)
(1,509)
Podatek w
rachunku
wyników
(3,871)
5,222
303
521
2,304
244
97
27
52
38
12
17
16
(408)
4,574
PODATEK DOCHODOWY ZA I PÓLROCZE 2003r. W PRZEKROJU
JEDNOSTEK OBJETYCH KONSOLIDACJA
Nazwa spólki
Budimex SA
Budimex Dromex SA
Dromex Cieszyn SA
Budimex Nieruchomosci Sp. z o.o.
Budimex Olsztyn SA
Unibud Sp. z o.o.
MK Centrum SA
Kraty MK Sp. z o.o.
Energetyka Czerwonak SA
Sprzet-Transport Sp. z o.o.
Budchem Sp. z o.o.
CK Budimex Sp. z o.o.
Budimex Poznan Developer Sp. z o.o.
Sulejkowska Sp. z o.o.
Bipromet SA
Zarat SA
korekty konsolidacyjne
Razem
Podatek
nalezny
1,458
326
25
747
103
28
141
211
43
167
104
3,353
Podatek
odroczony
(435)
80
186
52
408
(125)
323
8
(50)
551
16
919
1,933
Komisja Papierów Wartosciowych i Gield
Podatek w
rachunku
wyników
1,023
80
186
378
433
622
426
28
149
211
(50)
43
167
104
551
16
919
5,286
92