II półrocze 2011

Transkrypt

II półrocze 2011
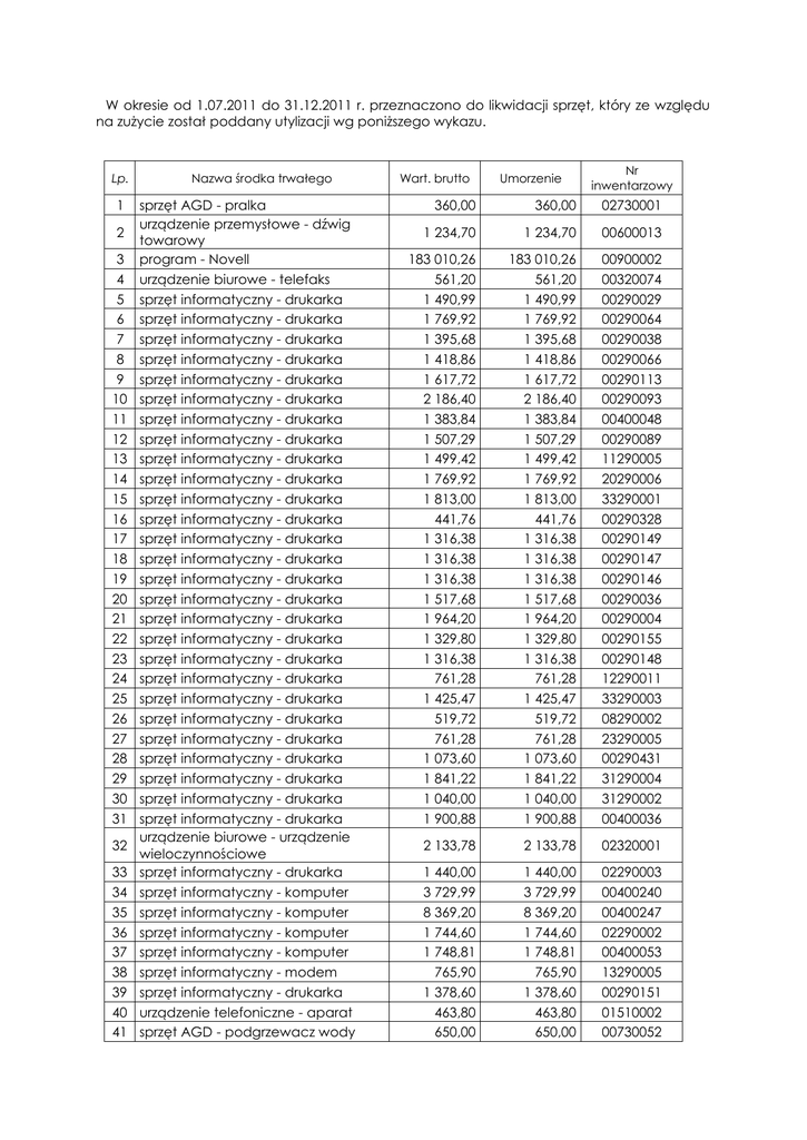
W okresie od 1.07.2011 do 31.12.2011 r. przeznaczono do likwidacji sprzęt, który ze względu
na zużycie został poddany utylizacji wg poniższego wykazu.
Lp.
1
2
3
4
5
6
7
8
9
10
11
12
13
14
15
16
17
18
19
20
21
22
23
24
25
26
27
28
29
30
31
32
33
34
35
36
37
38
39
40
41
Nazwa środka trwałego
sprzęt AGD - pralka
urządzenie przemysłowe - dźwig
towarowy
program - Novell
urządzenie biurowe - telefaks
sprzęt informatyczny - drukarka
sprzęt informatyczny - drukarka
sprzęt informatyczny - drukarka
sprzęt informatyczny - drukarka
sprzęt informatyczny - drukarka
sprzęt informatyczny - drukarka
sprzęt informatyczny - drukarka
sprzęt informatyczny - drukarka
sprzęt informatyczny - drukarka
sprzęt informatyczny - drukarka
sprzęt informatyczny - drukarka
sprzęt informatyczny - drukarka
sprzęt informatyczny - drukarka
sprzęt informatyczny - drukarka
sprzęt informatyczny - drukarka
sprzęt informatyczny - drukarka
sprzęt informatyczny - drukarka
sprzęt informatyczny - drukarka
sprzęt informatyczny - drukarka
sprzęt informatyczny - drukarka
sprzęt informatyczny - drukarka
sprzęt informatyczny - drukarka
sprzęt informatyczny - drukarka
sprzęt informatyczny - drukarka
sprzęt informatyczny - drukarka
sprzęt informatyczny - drukarka
sprzęt informatyczny - drukarka
urządzenie biurowe - urządzenie
wieloczynnościowe
sprzęt informatyczny - drukarka
sprzęt informatyczny - komputer
sprzęt informatyczny - komputer
sprzęt informatyczny - komputer
sprzęt informatyczny - komputer
sprzęt informatyczny - modem
sprzęt informatyczny - drukarka
urządzenie telefoniczne - aparat
sprzęt AGD - podgrzewacz wody
Wart. brutto
Umorzenie
Nr
inwentarzowy
360,00
360,00
02730001
1 234,70
1 234,70
00600013
183 010,26
561,20
1 490,99
1 769,92
1 395,68
1 418,86
1 617,72
2 186,40
1 383,84
1 507,29
1 499,42
1 769,92
1 813,00
441,76
1 316,38
1 316,38
1 316,38
1 517,68
1 964,20
1 329,80
1 316,38
761,28
1 425,47
519,72
761,28
1 073,60
1 841,22
1 040,00
1 900,88
183 010,26
561,20
1 490,99
1 769,92
1 395,68
1 418,86
1 617,72
2 186,40
1 383,84
1 507,29
1 499,42
1 769,92
1 813,00
441,76
1 316,38
1 316,38
1 316,38
1 517,68
1 964,20
1 329,80
1 316,38
761,28
1 425,47
519,72
761,28
1 073,60
1 841,22
1 040,00
1 900,88
00900002
00320074
00290029
00290064
00290038
00290066
00290113
00290093
00400048
00290089
11290005
20290006
33290001
00290328
00290149
00290147
00290146
00290036
00290004
00290155
00290148
12290011
33290003
08290002
23290005
00290431
31290004
31290002
00400036
2 133,78
2 133,78
02320001
1 440,00
3 729,99
8 369,20
1 744,60
1 748,81
765,90
1 378,60
463,80
650,00
1 440,00
3 729,99
8 369,20
1 744,60
1 748,81
765,90
1 378,60
463,80
650,00
02290003
00400240
00400247
02290002
00400053
13290005
00290151
01510002
00730052
42
43
44
45
46
47
48
49
50
51
52
53
54
55
56
57
58
59
60
61
62
63
64
65
66
urządzenie chłodnicze - zamrażarka
urządzenie chłodnicze - zamrażarka
urządzenie chłodnicze - zamrażarka
sprzęt AGD - wyparzacz
sprzęt RTV - telewizor
urządzenie chłodnicze - chłodziarka
sprzęt RTV - magnetofon
urządzenie chłodnicze - chłodziarka
sprzęt informatyczny - drukarka
sprzęt informatyczny - drukarka
sprzęt informatyczny - komputer
sprzęt informatyczny - komputer b
bez oprogram
sprzęt informatyczny - komputer
program - office
sprzęt AGD - opiekacz
program - Zenworks
program - Powiatowy Zespół
program antywirus eTRUST ANTYVIRUS
V.7.0
program - File System Faktory
program MOLP WIN SBS
program Novell BorderManager 3.8
program - Świadczenia rodzinne
program - LEX
program - Sieciowy system
operacyjny w TPPS
program - internet ACCESS
1 900,76
1 610,40
580,00
460,00
911,20
931,33
994,00
931,33
1 509,59
440,42
2 729,91
1 900,76
1 610,40
580,00
460,00
911,20
931,33
994,00
931,33
1 509,59
440,42
2 729,91
06735002
06735003
06735004
06730001
00600006
00400066
06530004
00400067
06290001
35290008
00400162
2 427,03
2 427,03
22290011
3 238,62
1 887,21
549,00
55 077,84
405,00
3 238,62
1 887,21
549,00
55 077,84
405,00
22290008
22990001
32730003
00900032
44990001
67 346,68
67 346,68
00900033
5 087,38
9 973,50
234 461,79
46 188,82
14 724,18
5 087,38
9 973,50
234 461,79
46 188,82
14 724,18
00990043
00900043
00900047
00900036
00900051
103 413,40
103 413,40
00900054
692,96
692,96
009900060
803 758,64
803 758,64