Załącznik nr 2A do SIWZ - ujednolicony 30.07.2013

Transkrypt

Załącznik nr 2A do SIWZ - ujednolicony 30.07.2013
ROZWOJ
POLSKI WSCHODNIEJ
UNIA EUROPEJSKA
EUROPEJ5KI FUNDU52
ROZWOJU REGIONALNEGO
NARODOWA STRATECIA SPOJNOSCI
Zal1cznik nr 2A do SIWZ
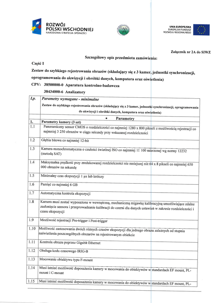
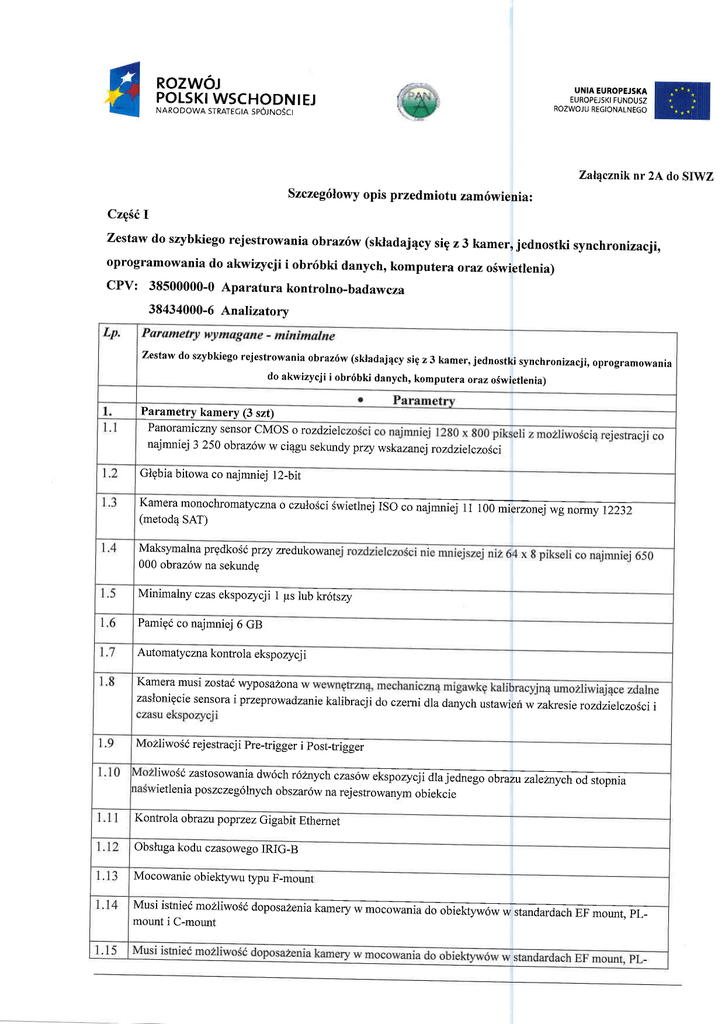
Szczeg6lowy opis przedmiotu zam6wienia:
Czg66I
Zestaw do srybkiego rejestrowania obraz6w (skladaj4cy sig z 3
kamer, jednostki synchronizacji,
oprogramowania do alrwirycji i obr6bki danych, komputera oraz oswieflenia)
CPV: 38500000-0 Aparaturakontrolno-badawcza
38434000-6 Analizztorv
zestaw do szybkiego re.iestrowania obrazlw (skladaj4cy sig z 3 kamer, jednostki
synchronizacji, oprogramowania
do akwizycji i obr6bki danych, komputera oraz o5wietlenia)
Parametry kamery (3 szt)
Panoramiczny sensor CMOS o rozdziel
najmniej 3 250 obrazdw w ci4gu sekundy przy wskazanejrozdzierczosci
Glgbia bitowa co najmniej l2-bit
Kamera monochromatyczna o czulol"i
(metod4 SAT)
S
Maksyrnalna prgdkoSi przy zredukowan
000 obraz6w na sekundE
Minimalny czas ekspozycji
I
ps lub kr6tszy
Pamigi co najmniej 6 GB
Automatyczna kontrola ekspozycj i
Kamera musi zosta6 wyposaZona w
zaslonigcie sensora i przeprowadzanie kalibracji do czerni dla
danych ustawieri w zakresie rozdzie\czo1cii
MozliwoSi
rej estracj
i pre-trigger i post-triggpr
iwo5i zastosowania dw6ch .6rnych
ietlenia poszczeg6lnych obszar6w na rejestrowanym obiekcie
Kontrola obrazu poprzez Gigabit Ethernet
Obsluga kodu czasowego IRIG-B
Mocowanie obiektyrn u typu F-mount
Musi istniei mozliwoSi doposurerria
mount
i C-morurt
ROZWOJ
POLSKI WSCHODNIEJ
UNIA EUROPEJSKA
EUROPEJSKI FUNDUSZ
NARODOWA STRATECIA SPO]NOSCI
ROZWOJU REGIONALNEGO
mount i C-mount
Przynajmniej jeden z powyzs4zch st
parametrami obiektywu, tj. ostroSci4 i przysl0n4
z poziomuoprogramowania
Kamera wyposazona w
analogow@
Minimalny zakres temperatury
Waga
nie wigcej niz t,5
-
tg
otoczeni@
luer-ui@i
uateril
Kamera musi byi w)?osazona
nosnik nie-ulotny bezuiryciakomputera z prgdkosci4
co najmniej 4GB na minutg
Kamera musi posiadaC mozliwoSe
-sitania Uatery;rrego
Do kaZdej z kamer musi z
pozycjonuj4ca wyposazonaw ptzeTdadnre zgbate,
zapewniaj4cabardzo precyzyjnepozycjonowanie kamery
w przestrzeni 3D
Ka2dazkamer musi zostai wy
Ka2dazkamer musi zos
aperturowej przyslony co najmniej f2
Kamery musz4 zostai
na dokladne dopasowanie kltapomigdzy sensorem
kamery a obiektywem
o
obr6t;360 stopni
o
regulacja k4towa: co najmniej +/_ g stopni
o
mocowanie do obiekfyw6w
[pu
F_mount
Kamery musz4 posiadai urrory
Zestaw musi
byi obigty
co
"ajrn"
Po dostawie wymagane jest
nrz
Jednostka
sprhtonira
liczbakanal6w: co nalmniel
liczb a kanah6* w.j
S"iowyctl- rr[ mrri"l Z
dokladnoSi czasowa
Scia:
TTL
5
g
i-p"ts@
V
50 Om6w
Oprogramowanie do akwizycji i obrribki danych
pomiarowych
kontrola calego systemu potniurowego
.
parumetryminimalne:
ROZWOJ
POLSKI WSCHODNIEJ
UNIA EUROPEJSKA
EUROPEJSKI FUNDUSZ
ROZWOJU REGIONALNEGO
NARODOWA STRATECIA SPOJNOSCI
mozliwoSi prowadzenia obliczeri
nie moze mied limitu jesli chodzi o liczbg obslugiwanych procesor6w
pojedynczego komputera, jak i wielu komputer6w pracuj4cych
w sieci
(cpu)
zar6wno
w przypadku
Oprogramowanie moze wykorzystywui
modul obsluguj4cy tomograficzne Sledzenie
Oprogramowanie musi umoZliwiai po
symultaniczna,rozloaone w czasie r"lert
u@
rekonstrukcja w 3D dystrybucji n
epipolarnej
grupowanie voxeli w celu uformowa.ria
4-klatkowe Sledzenie cz4stek
*
"@
p.r"st
obr6bka wstgpnie .vqvznaczonyci,
S"i.^t ru.t r, .rert"k
Sciezek przerwanych, wy gladzanie
walidacj a, usuwanie Scie2ek blgdnych, t4czenie
przestrzenna kalibracja 3 kamer jednoczeSnie
kalibracja bazujqcana modelu typu ,pin hole'
wsp6tpraca z celami plaskimi
do st gp
do al<J,ualizacji opro gramow*
Komputer z oprogramowaniem
Procesor
-
co najmniej czterordzeniowy
Pamigi RAM
-
co najmniej 8GB
System operacyjny 64 bit
Napgd DVD+/- RW- co najmniej t6x
Monitor
-
co najmniej 23,,, rozdziel"
Katta grafrczrra o nastgpuj4.ych pura-et a"h
-ir,imulnvch,
- Calkowita iloSi pamigci
256M8
- PrzepustowoS6 pamigci l
l.2 GB/s
- Maksymalna cyfr owa r o zdzielczo
6t, 2 5
60x 1 60 0 pikseli
Najnowsze stabilne oprogramowan
do.prezentacjl, * p"toi wspieraj4cy formary plik6w
w .uuu^,
.docx,
ti::tt:::o:*.,TgY
liryPcvjnv,.program
'xlsx' 'pptx, accdb, jqzykpolski,
zawierajlcy aplikacjg stuzicEa"
poo^yelektronicznej i organizacji
"urhgi
<otu dostgpu MAPI/RPC.
Edyror
Grupowa licencia oorosramowan
ia
ROZW6J
POLSKI WSCHODNIEJ
NARODOWA STRATEGIA SPOJNOSCI
UNIA EUROPEJSKA
EUROPEJSKI FUNDUSZ
ROZWOJU REGIONALNEGO
Microsoft) lub r6wnowazna,
Zestaw musi zawierai co najmniej 3
kaady zagwarantuje strumiefi Swietlny o wartosci co najmniej
:soo rurnenow. panele LED musz4 byi
zasilane napigciem stalym i gwarantowai jednorodne i hor*g.nir^.
s ,iatlo