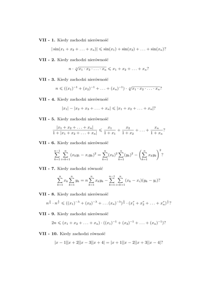
VII - 1. Kiedy zachodzi nierówność |sin(x1 + x2 + + xn)| ≤ sin( x1

Transkrypt

VII - 1. Kiedy zachodzi nierówność |sin(x1 + x2 + + xn)| ≤ sin( x1
VII - 1. Kiedy zachodzi nierówność
| sin(x1 + x2 + . . . + xn )| 6 sin(x1 ) + sin(x2 ) + . . . + sin(xn )?
VII - 2. Kiedy zachodzi nierówność
√
n · n x1 · x2 · . . . · xn 6 x1 + x2 + . . . + xn ?
VII - 3. Kiedy zachodzi nierówność
n 6 ((x1 )−1 + (x2 )−1 + . . . + (xn )−1 ) ·
√
n
x1 · x2 · . . . · xn ?
VII - 4. Kiedy zachodzi nierówność
|x1 | − |x2 + x3 + . . . + xn | 6 |x1 + x2 + . . . + xn |?
VII - 5. Kiedy zachodzi nierówność
|x1 + x2 + . . . + xn |
x1
x2
xn
6
+
+ ... +
?
1 + |x1 + x2 + . . . + xn |
1 + x1 1 + x2
1 + xn
VII - 6. Kiedy zachodzi nierówność
n−1
X
n
X
2
(xk yi − xi yk ) =
k=1 i=k+1
n
X
2
(xk )
k=1
n
X
2
(yk ) −
n
X
!2
xk yk
?
k=1
k=1
VII - 7. Kiedy zachodzi równość
n
X
k=1
xk
n
X
k=1
yk = n
n
X
xk y k −
k=1
n−1
X
n
X
(xk − xi )(yk − yi )?
k=1 i=k+1
VII - 8. Kiedy zachodzi nierówność
1
1
1
1
n λ · n τ 6 ((x1 )−λ + (x2 )−λ + . . . (xn )−λ ) λ · (xτ1 + xτ2 + . . . + xτn ) τ ?
VII - 9. Kiedy zachodzi nierówność
2n 6 (x1 + x2 + . . . + xn ) · ((x1 )−1 + (x2 )−1 + . . . + (xn )−1 )?
VII - 10. Kiedy zachodzi równość
|x − 1||x + 2||x − 3||x + 4| = |x + 1||x − 2||x + 3||x − 4|?