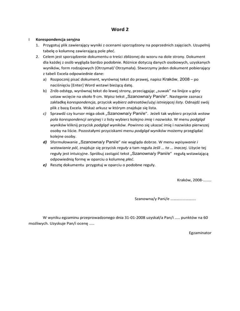
Word 2

Transkrypt

Word 2
Word 2
I
Korespondencja seryjna
1. Przygotuj plik zawierający wyniki z ocenami sporządzony na poprzednich zajęciach. Uzupełnij
tabelę o kolumnę zawierającą pole płeć.
2. Celem jest sporządzenie dokumentu o treści zbliżonej do wzoru na dole strony. Dokument
dla każdej z osób wygląda bardzo podobnie. Różnice dotyczą danych osobowych, uzyskanych
wyników, form rodzajowych (Otrzymał/ Otrzymała). Stworzymy jeden dokument pobierający
z tabeli Excela odpowiednie dane:
a) Rozpocznij pisać dokument, wyrównaj tekst do prawej, napisz Kraków, 2008 – po
naciśnięciu [Enter] Word wstawi bieżącą datę.
b) Zrób odstęp, wyrównaj tekst do lewej strony, przeciągając „suwak” na linijce u góry
ustaw wcięcie na około 9 cm. Wpisz tekst „Szanowna/y Pani/e”. Następnie zaznacz
zakładkę korespondencja, przycisk wybierz adresatów/użyj istniejącej listy. Odnajdź swój
plik z bazą Excela. Wskaż arkusz w którym znajduje się lista.
c) Sprawdź czy kursor miga obok „Szanowna/y Pani/e”. Jeżeli tak wybierz przycisk wstaw
pola korespondencji seryjnej i z listy wybierz kolejno imię i nazwisko. W menu podgląd
wyników kliknij przycisk podgląd wyników. Powinno się ukazać imię i nazwisko pierwszej
osoby na liście. Pozostałymi przyciskami menu podgląd wyników możemy przeglądać
kolejne osoby.
d) Sformułowanie „Szanowna/y Pani/e” nie wygląda dobrze. W menu wpisywanie i
wstawianie pól, znajduje się przycisk reguły a tam reguła Jeśli … to … inaczej. Użycie tej
reguły jest intuicyjne. Spróbuj zastąpić tekst „Szanowna/y Pani/e” regułą wstawiającą
odpowiednią formę w oparciu o kolumnę płeć.
e) Resztę dokumentu przygotuj w oparciu o podobne reguły.
Kraków, 2008-……..
Szanowna/y Pani/e …………………….
W wyniku egzaminu przeprowadzonego dnia 31-01-2008 uzyskał/a Pan/i ….. punktów na 60
możliwych. Uzyskuje Pan/i ocenę …..
Egzaminator
II
Grafika w programie Word
Narysuj rysunek podobny do wzoru.
Wskazówki:
1. Wybierz wstawianie, kształty.
2. Zbuduj rysunek w oparciu o
równoległoboki. Po wstawieniu rysunku
pojawia się szereg punktów
charakterystycznych. W szczególności:
a) zielona kropka służy do obracania
rysunku,
b) żółty romb do zmiany kształtu,
c) inne punkty do zmiany rozmiaru,
d) w menu rozmieszczenie znajdują
się opcje obrotu.
e) Opcje przerzuć na wierzch/ pod
spód pozwalają ustalić np. czy
prawa ścianka ma przysłaniać
częściowo półki.
3. Po narysowaniu np. lewych drzwi
skopiuj je a następnie przerzuć w
pionie.
4. Dla wygody można włączyć linie siatki.
5. Aby opisać strzałki długościami
wstawiamy pole tekstowe na strzałce.
80cm
92cm
152cm
35cm