Cennik usług Krotoszyńskiej Biblioteki Publicznej

Transkrypt

Cennik usług Krotoszyńskiej Biblioteki Publicznej
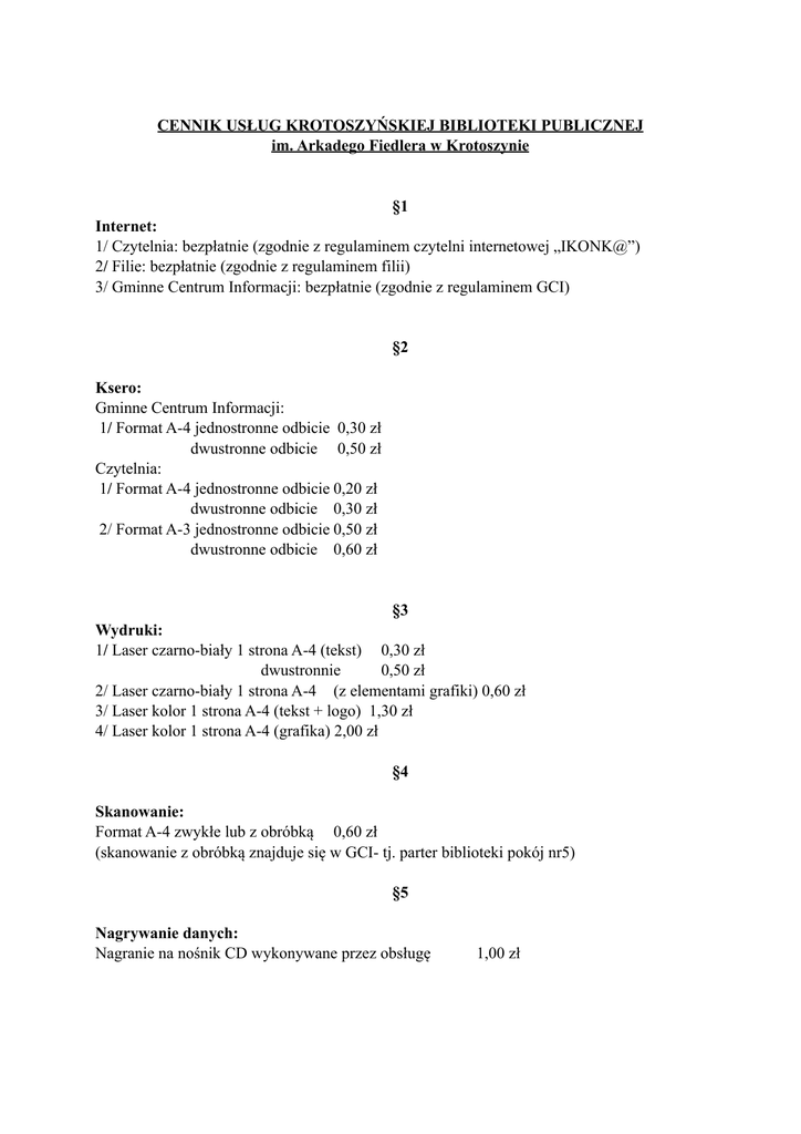
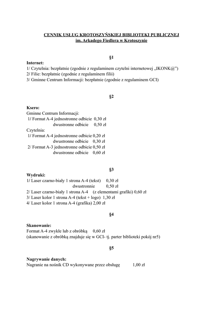
CENNIK USŁUG KROTOSZYŃSKIEJ BIBLIOTEKI PUBLICZNEJ
im. Arkadego Fiedlera w Krotoszynie
§1
Internet:
1/ Czytelnia: bezpłatnie (zgodnie z regulaminem czytelni internetowej „IKONK@”)
2/ Filie: bezpłatnie (zgodnie z regulaminem filii)
3/ Gminne Centrum Informacji: bezpłatnie (zgodnie z regulaminem GCI)
§2
Ksero:
Gminne Centrum Informacji:
1/ Format A-4 jednostronne odbicie 0,30 zł
dwustronne odbicie 0,50 zł
Czytelnia:
1/ Format A-4 jednostronne odbicie 0,20 zł
dwustronne odbicie 0,30 zł
2/ Format A-3 jednostronne odbicie 0,50 zł
dwustronne odbicie 0,60 zł
§3
Wydruki:
1/ Laser czarno-biały 1 strona A-4 (tekst) 0,30 zł
dwustronnie
0,50 zł
2/ Laser czarno-biały 1 strona A-4 (z elementami grafiki) 0,60 zł
3/ Laser kolor 1 strona A-4 (tekst + logo) 1,30 zł
4/ Laser kolor 1 strona A-4 (grafika) 2,00 zł
§4
Skanowanie:
Format A-4 zwykłe lub z obróbką 0,60 zł
(skanowanie z obróbką znajduje się w GCI- tj. parter biblioteki pokój nr5)
§5
Nagrywanie danych:
Nagranie na nośnik CD wykonywane przez obsługę
1,00 zł
§6
Przepisywanie danych:
Jedna strona formatu A-4
2,00 zł
(przepisywanie odbywa się w GCI -parter biblioteki pokój nr 5
§7
Faks:
1/ lokalny:
- połączenie: 2,50 zł (w tym jedna strona danych)
- każda następna strona: 0,50 zł
2/ międzymiastowy:
- połączenie; 3,50 zł (w tym jedna strona danych)
- każda nastopna strona: 0,50 zł
3/ międzynarodowy:
- połączenie; 8,00 zł (w tym jedna strona danych)
- każda następna strona: 0,50 zł
Krotoszyn, dnia 6 października 2010r.