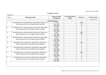
zał nr 2 do SIWZ

Transkrypt

zał nr 2 do SIWZ
Załącznik nr 2 do SIWZ
Formularz cenowy
Tabela nr 1
L.p.
Rodzaj przesyłki
Waga przesyłki
(w gramach)
Cena jednostkowa
brutto
Ilość (szt.)
Wartość brutto
1
2
3
4
5
6 (kol. 4 x kol. 5)
1.
2.
3.
4.
5.
6.
7.
8.
Przesyłki krajowe
Przesyłka listowa, nierejestrowana, ekonomiczna, gabaryt A w
0 - 350
obrocie krajowym (w tym nadana na poste restante)
350 -1000
1000-2000
Przesyłka listowa, nierejestrowana, ekonomiczna, gabaryt B w
0- 350
obrocie krajowym (w tym nadana na poste restante)
350-1000
1000-2000
Przesyłka listowa, nierejestrowana, priorytetowa, gabaryt A w
0-350
obrocie krajowym (w tym nadana na poste restante)
350-1000
1000-2000
Przesyłka listowa, nierejestrowana, priorytetowa, gabaryt B w
0-350
obrocie krajowym (w tym nadana na poste restante)
350-1000
1000-2000
Przesyłka listowa, rejestrowana, ekonomiczna, gabaryt A w
0-350
obrocie krajowym (w tym nadana na poste restante)
350-1000
1000-2000
Przesyłka listowa, rejestrowana, ekonomiczna, gabaryt B w
0-350
obrocie krajowym (w tym nadana na poste restante)
350-1000
1000-2000
Przesyłka listowa, rejestrowana, priorytetowa, gabaryt A w
0-350
obrocie krajowym (w tym nadana na poste restante)
350-1000
1000-2000
Przesyłka listowa, rejestrowana, priorytetowa, gabaryt B w
0-350
obrocie krajowym (w tym nadana na poste restante)
350-1000
1000-2000
10420
50
6
5
5
5
4862
30
2
5
5
5
900
5
5
5
5
5
3982
4
2
22
2
2
1
podpis i pieczęć osoby (osób) upoważnionej do reprezentowania wykonawcy
Załącznik nr 2 do SIWZ
9.
10.
11.
12.
13.
Przesyłki zagraniczne
Przesyłka listowa, nierejestrowana, ekonomiczna w obrocie
0 - 50
zagranicznym (strefa Europa)
50 -100
100-350
350-500
500-1000
1000-2000
Przesyłka listowa, nierejestrowana, ekonomiczna w obrocie
0-50
zagranicznym (strefa poza Europą)
50-100
100-350
350-500
500-1000
1000-2000
Przesyłka listowa, rejestrowana, priorytetowa w obrocie
0-50
zagranicznym - strefa A
50-100
A - Europa, Rosja, Izrael, Cypr
100-350
350-500
500-1000
1000-2000
Przesyłka listowa, nierejestrowana, priorytetowa w obrocie
0-50
zagranicznym -strefa A
50-100
100-350
350-500
500-1000
1000-2000
Przesyłka listowa, rejestrowana, priorytetowa w obrocie
0-50
zagranicznym - strefa B
50-100
B - Ameryka Płn., Kanada, Afryka
100-350
350-500
500-1000
1000-2000
30
2
2
2
2
2
30
2
2
1
1
1
50
5
2
1
1
1
20
2
2
1
1
1
80
5
2
1
1
1
2
podpis i pieczęć osoby (osób) upoważnionej do reprezentowania wykonawcy
Załącznik nr 2 do SIWZ
14.
Przesyłka listowa, nierejestrowana, priorytetowa w obrocie
zagranicznym - strefa B
15.
Przesyłka listowa, rejestrowana, priorytetowa w obrocie
zagranicznym - strefa C
C- Ameryka Płd., Ameryka Śr., Azja
16.
Przesyłka listowa, nierejestrowana, ekonomiczna w obrocie
zagranicznym - strefa C
17.
Przesyłka listowa, rejestrowana, ekonomiczna w obrocie
zagranicznym - strefa D
D – Australia i Oceania
18.
Przesyłka listowa, nierejestrowana, ekonomiczna w obrocie
zagranicznym - strefa D
0-50
50-100
100-350
350-500
500-1000
1000-2000
0-50
50-100
100-350
350-500
500-1000
1000-2000
0-50
50-100
100-350
350-500
500-1000
1000-2000
0-50
50-100
100-350
350-500
500-1000
1000-2000
0-50
50-100
100-350
350-500
500-1000
1000-2000
50
2
1
1
1
1
80
2
2
1
1
1
50
2
1
1
1
1
5
1
1
1
1
1
2
1
1
1
1
1
3
podpis i pieczęć osoby (osób) upoważnionej do reprezentowania wykonawcy
Załącznik nr 2 do SIWZ
19.
20.
21.
22.
23.
24.
25.
Paczki
Paczka pocztowa, ekonomiczna, gabaryt A w obrocie krajowym
do 1 KG
1-2 KG
2-5 KG
5-10 KG
Paczka pocztowa, ekonomiczna, gabaryt B w obrocie krajowym
do 1 KG
1-2 KG
2-5 KG
5-10 KG
Paczka pocztowa, priorytetowa, gabaryt A w obrocie krajowym
do 1 KG
1-2 KG
2-5 KG
5-10 KG
Paczka pocztowa, priorytetowa, gabaryt B w obrocie krajowym
do 1 KG
1-2 KG
2-5 KG
5-10 KG
Potwierdzenie odbioru
Zwrotne potwierdzenie odbioru (ZPO) dla przesyłek nie
--najszybszej kategorii w obrocie krajowym
Zwrotne potwierdzenie odbioru (ZPO) dla przesyłek
najszybszej kategorii w obrocie krajowym
Zwrotne potwierdzenie odbioru w obrocie zagranicznym
---
1
1
20
5
1
1
20
5
1
1
10
5
1
1
10
5
15408
3834
100
Tabela nr 2
L.p.
1
26.
27.
Cena jednostkowa
brutto
Przedmiot
2
3
Zwroty przesyłek nie najszybszej kategorii w obrocie krajowym
Zwroty przesyłek najszybszej kategorii w obrocie krajowym
---
4
Ilość (szt.)
Wartość brutto
5
6 (kol. 4 x kol. 5)
500
500
4
podpis i pieczęć osoby (osób) upoważnionej do reprezentowania wykonawcy
Załącznik nr 2 do SIWZ
Tabela nr 3
L.p.
1
28.
Cena jednostkowa
brutto
Przedmiot
2
3
Ilość (szt.)
Wartość brutto
5
6 (kol. 4 x kol. 5)
4
Kurier Pocztex
20
Tabela nr 4 – Suma wartości cenowych podanych w tabelach nr 1, 2 i 3
L.p.
Przedmiot
1
29.
Cena oferty brutto
2
3 (Suma wartości brutto z tab. 1, 2 i 3)
Usługa odbioru, przyjmowania, przemieszczania i doręczania listów zwykłych i poleconych, krajowych i zagranicznych
5
podpis i pieczęć osoby (osób) upoważnionej do reprezentowania wykonawcy