odpis meble niszczarki20121130153542

Transkrypt

odpis meble niszczarki20121130153542
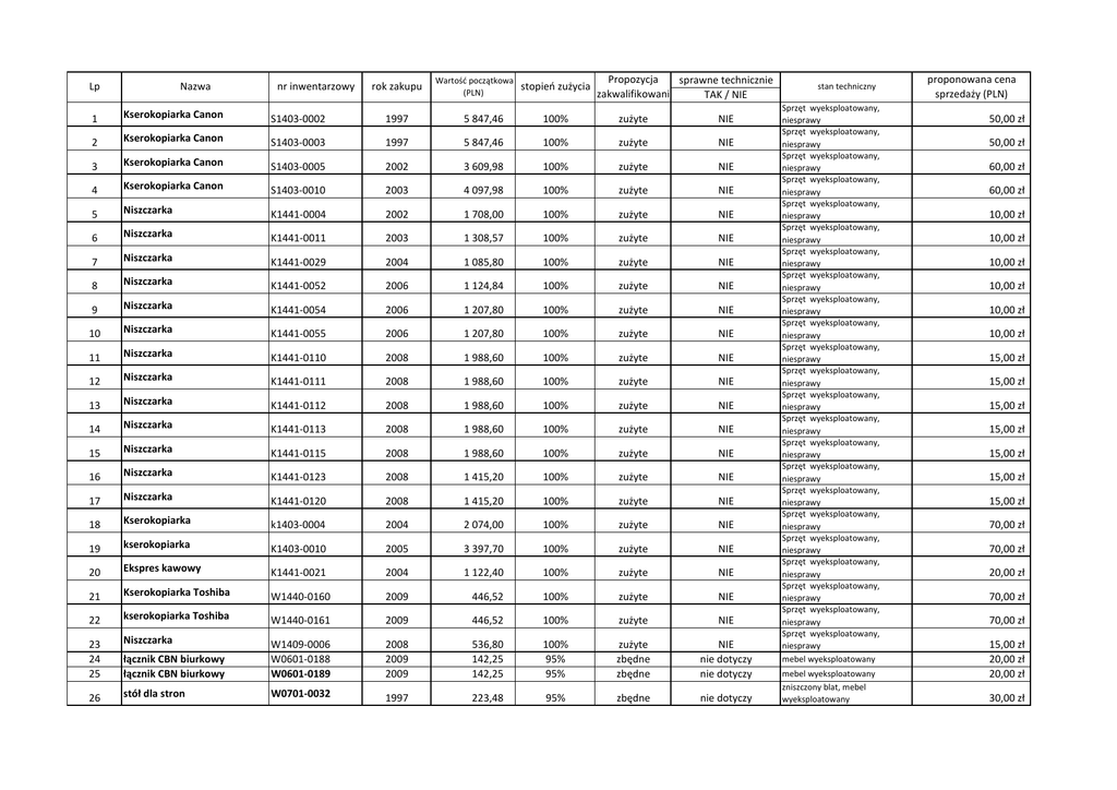
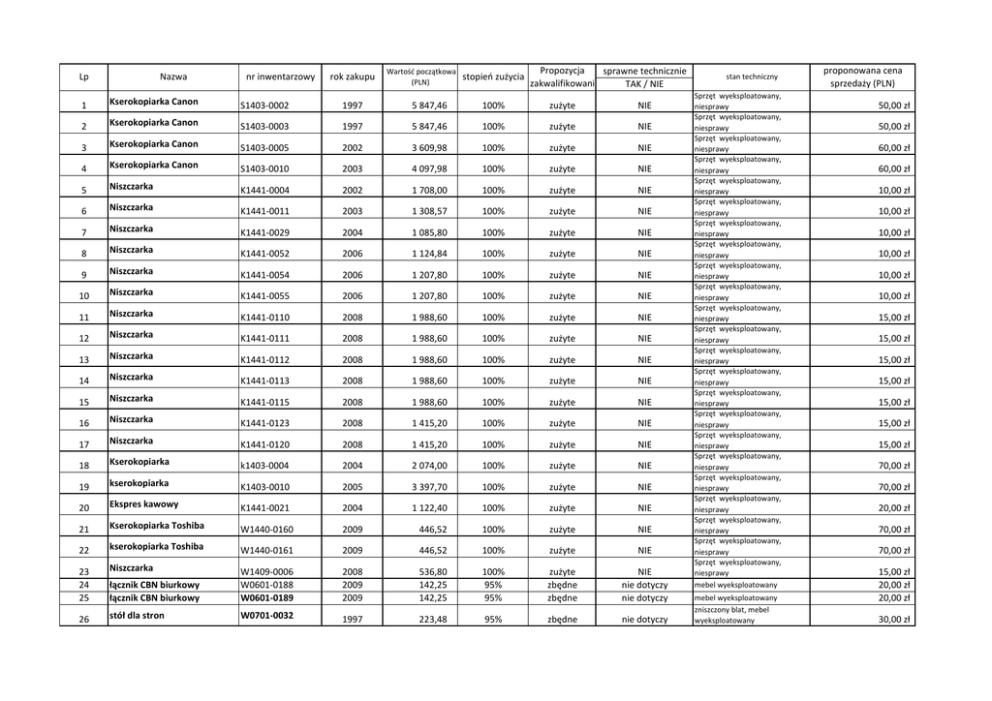
Lp
Nazwa
nr inwentarzowy
rok zakupu
Wartość początkowa
(PLN)
stopień zużycia
Propozycja
sprawne technicznie
zakwalifikowani
TAK / NIE
1
Kserokopiarka Canon
S1403-0002
1997
5 847,46
100%
zużyte
NIE
2
Kserokopiarka Canon
S1403-0003
1997
5 847,46
100%
zużyte
NIE
3
Kserokopiarka Canon
S1403-0005
2002
3 609,98
100%
zużyte
NIE
4
Kserokopiarka Canon
S1403-0010
2003
4 097,98
100%
zużyte
NIE
5
Niszczarka
K1441-0004
2002
1 708,00
100%
zużyte
NIE
6
Niszczarka
K1441-0011
2003
1 308,57
100%
zużyte
NIE
7
Niszczarka
K1441-0029
2004
1 085,80
100%
zużyte
NIE
8
Niszczarka
K1441-0052
2006
1 124,84
100%
zużyte
NIE
9
Niszczarka
K1441-0054
2006
1 207,80
100%
zużyte
NIE
10
Niszczarka
K1441-0055
2006
1 207,80
100%
zużyte
NIE
11
Niszczarka
K1441-0110
2008
1 988,60
100%
zużyte
NIE
12
Niszczarka
K1441-0111
2008
1 988,60
100%
zużyte
NIE
13
Niszczarka
K1441-0112
2008
1 988,60
100%
zużyte
NIE
14
Niszczarka
K1441-0113
2008
1 988,60
100%
zużyte
NIE
15
Niszczarka
K1441-0115
2008
1 988,60
100%
zużyte
NIE
16
Niszczarka
K1441-0123
2008
1 415,20
100%
zużyte
NIE
17
Niszczarka
K1441-0120
2008
1 415,20
100%
zużyte
NIE
18
Kserokopiarka
k1403-0004
2004
2 074,00
100%
zużyte
NIE
19
kserokopiarka
K1403-0010
2005
3 397,70
100%
zużyte
NIE
20
Ekspres kawowy
K1441-0021
2004
1 122,40
100%
zużyte
NIE
21
Kserokopiarka Toshiba
W1440-0160
2009
446,52
100%
zużyte
NIE
22
kserokopiarka Toshiba
W1440-0161
2009
446,52
100%
zużyte
NIE
23
24
25
Niszczarka
łącznik CBN biurkowy
łącznik CBN biurkowy
W1409-0006
W0601-0188
W0601-0189
2008
2009
2009
536,80
142,25
142,25
100%
95%
95%
zużyte
zbędne
zbędne
NIE
nie dotyczy
nie dotyczy
26
stół dla stron
W0701-0032
1997
223,48
95%
zbędne
nie dotyczy
stan techniczny
Sprzęt wyeksploatowany,
niesprawy
Sprzęt wyeksploatowany,
niesprawy
Sprzęt wyeksploatowany,
niesprawy
Sprzęt wyeksploatowany,
niesprawy
Sprzęt wyeksploatowany,
niesprawy
Sprzęt wyeksploatowany,
niesprawy
Sprzęt wyeksploatowany,
niesprawy
Sprzęt wyeksploatowany,
niesprawy
Sprzęt wyeksploatowany,
niesprawy
Sprzęt wyeksploatowany,
niesprawy
Sprzęt wyeksploatowany,
niesprawy
Sprzęt wyeksploatowany,
niesprawy
Sprzęt wyeksploatowany,
niesprawy
Sprzęt wyeksploatowany,
niesprawy
Sprzęt wyeksploatowany,
niesprawy
Sprzęt wyeksploatowany,
niesprawy
Sprzęt wyeksploatowany,
niesprawy
Sprzęt wyeksploatowany,
niesprawy
Sprzęt wyeksploatowany,
niesprawy
Sprzęt wyeksploatowany,
niesprawy
Sprzęt wyeksploatowany,
niesprawy
Sprzęt wyeksploatowany,
niesprawy
Sprzęt wyeksploatowany,
niesprawy
mebel wyeksploatowany
mebel wyeksploatowany
zniszczony blat, mebel
wyeksploatowany
proponowana cena
sprzedaży (PLN)
50,00 zł
50,00 zł
60,00 zł
60,00 zł
10,00 zł
10,00 zł
10,00 zł
10,00 zł
10,00 zł
10,00 zł
15,00 zł
15,00 zł
15,00 zł
15,00 zł
15,00 zł
15,00 zł
15,00 zł
70,00 zł
70,00 zł
20,00 zł
70,00 zł
70,00 zł
15,00 zł
20,00 zł
20,00 zł
30,00 zł
zniszczony blat, mebel
wyeksploatowany
zniszczony blat, mebel
wyeksploatowany
zniszczony blat, mebel
wyeksploatowany
zniszczony blat, mebel
wyeksploatowany
zniszczony blat, mebel
wyeksploatowany
zniszczony blat, mebel
wyeksploatowany
mebel wyeksploatowany
27
stół dla stron
W0701-0033
1997
223,48
95%
zbędne
nie dotyczy
28
stół dla stron
w0701-0047
1997
223,00
95%
zbędne
nie dotyczy
29
stół dla stron
W0701-0048
1997
223,00
95%
zbędne
nie dotyczy
30
stół dla stron
w0701-0062
2004
345,26
90%
zbędne
nie dotyczy
31
stół pod ksero
W0701-0066
2005
621,76
90%
zbędne
nie dotyczy
32
33
34
35
stół dla stron
szafka gospodarcza
szafka pod telewizor
szafka pod ksero
W0701-0069
W0810-0010
W0810-0019
w0810-0042
2005
1997
1998
2003
406,02
246,32
200,00
281,82
90%
95%
95%
90%
zbędne
zbędne
zbędne
zbędne
nie dotyczy
nie dotyczy
nie dotyczy
nie dotyczy
36
krzesło tapicerowane
W1002-0070
2000
68,00
95%
zbędne
nie dotyczy
37
krzesło tapicerowane
W1002-0076
2000
68,00
95%
zbędne
nie dotyczy
38
krzesło tapicerowane
W1002-0079
2000
68,00
95%
zbędne
nie dotyczy
39
krzesło tapicerowane
W1002-0104
2003
102,48
90%
zbędne
nie dotyczy
40
krzesło tapicerowane
W1002-0106
2003
102,48
90%
zbędne
nie dotyczy
41
krzesło tapicerowane
W1002-0112
2003
105,12
90%
zbędne
nie dotyczy
42
krzesło tapicerowane
W1002-0140
1996
96,44
95%
zbędne
nie dotyczy
43
krzesło drewniane
W1002-0342
2009
226,16
90%
zbędne
nie dotyczy
44
krzesło drewniane
W1002-0344
2009
226,16
90%
zbędne
nie dotyczy
45
krzesło drewniane
W1002-0345
2009
226,16
90%
zbędne
nie dotyczy
46
krzesło drewniane
W1002-0347
2009
226,16
90%
zbędne
nie dotyczy
47
krzesło drewniane
W1002-0350
2009
226,16
90%
zbędne
nie dotyczy
48
fotel
W1003-0110
2003
483,12
90%
zbędne
nie dotyczy
49
fotel obrotowy
W1004-0001
1997
561,20
95%
zbędne
nie dotyczy
50
ława sądowa
W1008-0017
1996
434,56
95%
zbędne
nie dotyczy
51
ława sądowa
W1008-0029
2003
480,68
90%
zbędne
nie dotyczy
52
ława sądowa
W1008-0031
2003
480,68
90%
zbędne
nie dotyczy
mebel wyeksploatowany
zniszczone obicia, mebel
wyeksploatowany
zniszczone obicia, mebel
wyeksploatowany
zniszczone obicia, mebel
wyeksploatowany
zniszczone obicia, mebel
wyeksploatowany
zniszczone obicia, mebel
wyeksploatowany
zniszczone obicia, mebel
wyeksploatowany
zniszczone obicia, mebel
wyeksploatowany
zniszczone obicia, mebel
wyeksploatowany
zniszczone obicia, mebel
wyeksploatowany
zniszczone obicia, mebel
wyeksploatowany
zniszczone obicia, mebel
wyeksploatowany
zniszczone obicia, mebel
wyeksploatowany
zniszczone obicia, mebel
wyeksploatowany
zniszczone obicia, mebel
wyeksploatowany
zniszczony blat, mebel
wyeksploatowany
zniszczony blat, mebel
wyeksploatowany
zniszczony blat, mebel
wyeksploatowany
W1011-0151
2005
456,77
95%
zbędne
nie dotyczy
krzesło podniszczone, uszkodzony
mechanizm podnoszenia
krzesło obrotowe
53
mebel wyeksploatowany
30,00 zł
30,00 zł
30,00 zł
30,00 zł
40,00 zł
30,00 zł
20,00 zł
20,00 zł
30,00 zł
10,00 zł
10,00 zł
10,00 zł
10,00 zł
10,00 zł
10,00 zł
10,00 zł
20,00 zł
20,00 zł
20,00 zł
20,00 zł
20,00 zł
30,00 zł
20,00 zł
15,00 zł
15,00 zł
15,00 zł
20,00 zł
W1011-0152
2005
456,77
95%
zbędne
nie dotyczy
krzesło podniszczone, uszkodzone
oparcie
20,00 zł
W1011-0153
2005
456,77
95%
zbędne
nie dotyczy
krzesło podniszczone, uszkodzone
podłokietniki i kółka
20,00 zł
W1011-0154
2005
456,77
95%
zbędne
nie dotyczy
krzesło podniszczone, uszkodzone
podłokietniki i kółka
20,00 zł
W1011-0158
2005
456,77
95%
zbędne
nie dotyczy
krzesło podniszczone, uszkodzone
podłokietniki i oparcie
20,00 zł
W1011-0166
2005
456,77
95%
zbędne
nie dotyczy
W1011-0167
2005
456,77
95%
zbędne
nie dotyczy
krzesło podniszczone, uszkodzony
mechanizm podnoszenia
krzesło podniszczone, uszkodzone
oparcie
W1011-0169
2005
456,77
95%
zbędne
nie dotyczy
krzesło podniszczone, uszkodzone
podłokietniki i oparcie
20,00 zł
W1011-0187
2006
311,10
95%
zbędne
nie dotyczy
krzesło podniszczone, uszkodzone
podłokietniki i kółka
20,00 zł
W1011-0196
2006
311,10
95%
zbędne
nie dotyczy
krzesło podniszczone, uszkodzone
podłokietniki i kółka
20,00 zł
W1011-0202
2006
311,10
95%
zbędne
nie dotyczy
krzesło podniszczone, uszkodzony
mechanizm podnoszenia
20,00 zł
W1011-0207
2006
311,10
95%
zbędne
nie dotyczy
krzesło podniszczone, uszkodzone
podłokietniki i oparcie
20,00 zł
W1011-0209
2006
311,10
95%
zbędne
nie dotyczy
krzesło podniszczone, uszkodzone
podłokietniki i kółka
20,00 zł
W1011-0210
2006
311,10
95%
zbędne
nie dotyczy
67
krzesło obrotowe
W1011-0215
2006
311,10
95%
zbędne
nie dotyczy
68
krzesło obrotowe
W1011-0217
2006
311,10
95%
zbędne
nie dotyczy
krzesło podniszczone, uszkodzone
podłokietniki i oparcie
krzesło podniszczone, uszkodzone
oparcie
krzesło podniszczone, uszkodzone
oparcie
dywan
W1203-0001
2004
963,80
90%
zbędne
nie dotyczy
zniszczony, przetarcia po
krzesłach, nieliczne przebarwienia
40,00 zł
2004
963,80
90%
zbędne
nie dotyczy
zniszczony, przetarcia po
krzesłach, nieliczne przebarwienia
40,00 zł
2004
963,80
90%
zbędne
nie dotyczy
zniszczony, przetarcia po
krzesłach, nieliczne przebarwienia
40,00 zł
54
krzesło obrotowe
krzesło obrotowe
55
krzesło obrotowe
56
krzesło obrotowe
57
krzesło obrotowe
58
59
krzesło obrotowe
krzesło obrotowe
60
krzesło obrotowe
61
krzesło obrotowe
62
kresło obrotowe
63
krzesło obrotowe
64
krzesło obrotowe
65
krzesło obrotowe
66
69
dywan
W1203-0002
70
dywan
71
W1203-0003
20,00 zł
20,00 zł
20,00 zł
20,00 zł
20,00 zł
dywan
dywan
dywan
Sukno
Sukno
Sukno
Sukno
Sukno
Sukno
40,00 zł
2004
951,60
90%
zbędne
nie dotyczy
zniszczony, przetarcia po
krzesłach, nieliczne przebarwienia
40,00 zł
2004
951,60
90%
zbędne
nie dotyczy
zniszczony, przetarcia po
krzesłach, nieliczne przebarwienia
40,00 zł
2004
951,60
90%
zbędne
nie dotyczy
zniszczony, przetarcia po
krzesłach, nieliczne przebarwienia
40,00 zł
2004
951,60
90%
zbędne
nie dotyczy
zniszczony, przetarcia po
krzesłach, nieliczne przebarwienia
40,00 zł
2004
951,60
90%
zbędne
nie dotyczy
zniszczony, przetarcia po
krzesłach, nieliczne przebarwienia
40,00 zł
2005
963,80
90%
zbędne
nie dotyczy
zniszczony, przetarcia po
krzesłach, nieliczne przebarwienia
40,00 zł
2005
963,80
90%
zbędne
nie dotyczy
zniszczony, przetarcia po
krzesłach, nieliczne przebarwienia
40,00 zł
2005
633,33
90%
zbędne
nie dotyczy
zniszczony, przetarcia po
krzesłach, nieliczne przebarwienia
40,00 zł
2005
485,25
90%
zbędne
nie dotyczy
zniszczony, przetarcia po
krzesłach, nieliczne przebarwienia
40,00 zł
2005
485,25
90%
zbędne
nie dotyczy
zniszczony, przetarcia po
krzesłach, nieliczne przebarwienia
40,00 zł
2005
485,25
90%
zbędne
nie dotyczy
zniszczony, przetarcia po
krzesłach, nieliczne przebarwienia
40,00 zł
2005
485,25
90%
zbędne
nie dotyczy
zniszczony, przetarcia po
krzesłach, nieliczne przebarwienia
40,00 zł
2005
2003
2003
2003
2003
2003
2003
485,25
204,00
204,00
204,00
204,00
204,00
204,00
90%
90%
90%
90%
90%
90%
90%
zbędne
zbędne
zbędne
zbędne
zbędne
zbędne
zbędne
nie dotyczy
nie dotyczy
nie dotyczy
nie dotyczy
nie dotyczy
nie dotyczy
nie dotyczy
W1203-0040
85
86
87
88
89
90
91
92
zniszczony, przetarcia po
krzesłach, nieliczne przebarwienia
W1203-0038
84
dywan
nie dotyczy
W1203-0036
83
dywan
zbędne
W1203-0034
82
dywan
90%
W1203-0027
81
dywan
951,60
1203-0025
80
dywan
2004
W1203-0023
79
dywan
40,00 zł
W1203-0020
78
dywan
zniszczony, przetarcia po
krzesłach, nieliczne przebarwienia
W1203-0014
77
dywan
nie dotyczy
W1203-0013
76
dywan
zbędne
W1203-0011
75
dywan
90%
W1203-0009
74
dywan
951,60
W1203-0007
73
dywan
2004
W1203-0006
72
W1203-0043
W1208-0013
W1208-0015
W1208-0017
W1208-0018
W1208-0020
W1208-0021
zniszczony, przetarcia po
krzesłach, nieliczne przebarwienia
naderwane, przebarwienia
naderwane, przebarwienia
naderwane, przebarwienia
naderwane, przebarwienia
naderwane, przebarwienia
naderwane, przebarwienia
40,00 zł
5,00 zł
5,00 zł
5,00 zł
5,00 zł
5,00 zł
5,00 zł
93
94
95
96
97
98
99
100
101
102
103
104
105
106
Lampka biurkowa
Lampka biurkowa
Lampka biurkowa
Lampka biurkowa
Lampka biurkowa
Lampka biurkowa
Lampka biurkowa
Lampka biurkowa
Lampka biurkowa
lampka biurkowa
Lampka biurkowa
Lampka biurkowa
Lampka biurkowa
Lampka biurkowa
W1301-0012
W1301-0013
W1301-0028
W1301-0029
W1301-0033
W1301-0039
W1301-0046
W1301-0050
W1301-0077
W1301-0086
W1301-0099
W1301-0121
W1301-0161
W1301-0162
2002
2002
2003
2003
2003
2003
2003
2003
2005
2005
2005
2000
2008
2008
102,00
102,00
165,67
165,67
165,67
102,00
120,78
120,78
179,00
179,00
44,95
54,66
99,19
99,19
100%
100%
100%
100%
100%
100%
100%
100%
100%
100%
100%
100%
100%
100%
zużyte
zużyte
zużyte
zużyte
zużyte
zużyte
zużyte
zużyte
zużyte
zużyte
zużyte
zużyte
zużyte
zużyte
NIE
NIE
NIE
NIE
NIE
NIE
NIE
NIE
NIE
NIE
NIE
NIE
NIE
NIE
107
Maszyna do pisania
W1401-0005
1996
585,60
100%
zużyte
NIE
108
Maszyna do pisania
W1401-0007
1996
573,40
100%
zużyte
NIE
109
Maszyna do pisania
W1401-0009
1996
585,60
100%
zużyte
NIE
110
Maszyna do pisania
W1401-0025
1997
628,30
100%
zużyte
NIE
111
Maszyna do pisania
W1401-0024
1997
628,30
100%
zużyte
NIE
112
Kalkulator
W1402-0006
2003
664,90
100%
zużyte
NIE
113
Kalkulator
W1402-0008
2003
664,90
100%
zużyte
NIE
114
kalkulator
W1402-0010
2005
294,24
100%
zużyte
NIE
115
Kalkulator
W1402-0011
2005
294,24
100%
zużyte
NIE
116
Kalkulator
W1402-0012
2005
294,24
100%
zużyte
NIE
117
Kalkulator
W1402-0013
2005
294,24
100%
zużyte
NIE
118
Niszczarka
W1409-0004
2004
638,06
100%
zużyte
NIE
119
120
121
122
123
124
125
126
Niszczarka
W1409-0006
W1410-0002
W1410-0003
W1410-0006
W1410-0008
W1410-0013
W1410-0015
W1410-0033
2008
1998
1998
1998
1998
1998
1998
2000
536,80
88,00
88,00
88,00
88,00
88,00
88,00
99,00
100%
100%
100%
100%
100%
100%
100%
100%
zużyte
zużyte
zużyte
zużyte
zużyte
zużyte
zużyte
zużyte
NIE
NIE
NIE
NIE
NIE
NIE
NIE
NIE
Aparat telelefoniczny
Aparat telelefoniczny
Aparat telelefoniczny
Aparat telelefoniczny
Aparat telelefoniczny
Aparat telelefoniczny
Aparat telelefoniczny
lampka zniszczona, niesprawna
lampka zniszczona, niesprawna
lampka zniszczona, niesprawna
lampka zniszczona, niesprawna
lampka zniszczona, niesprawna
lampka zniszczona, niesprawna
lampka zniszczona, niesprawna
lampka zniszczona, niesprawna
lampka zniszczona, niesprawna
lampka zniszczona, niesprawna
lampka zniszczona, niesprawna
lampka zniszczona, niesprawna
lampka zniszczona, niesprawna
lampka zniszczona, niesprawna
urządznie wyeksploatowane,
niesprawne
urządznie wyeksploatowane,
niesprawne
urządznie wyeksploatowane,
niesprawne
urządznie wyeksploatowane,
niesprawne
urządznie wyeksploatowane,
niesprawne
urządznie wyeksploatowane,
niesprawne
urządznie wyeksploatowane,
niesprawne
urządznie wyeksploatowane,
niesprawne
urządznie wyeksploatowane,
niesprawne
urządznie wyeksploatowane,
niesprawne
urządznie wyeksploatowane,
niesprawne
urządznie wyeksploatowane,
niesprawne
urządznie wyeksploatowane,
niesprawne
aparat zużyty, niesprawny
aparat zużyty, niesprawny
aparat zużyty, niesprawny
aparat zużyty, niesprawny
aparat zużyty, niesprawny
aparat zużyty, niesprawny
aparat zużyty, niesprawny
5,00 zł
5,00 zł
5,00 zł
5,00 zł
5,00 zł
5,00 zł
5,00 zł
5,00 zł
5,00 zł
5,00 zł
2,00 zł
2,00 zł
2,00 zł
2,00 zł
15,00 zł
15,00 zł
15,00 zł
15,00 zł
15,00 zł
1,00 zł
1,00 zł
1,00 zł
1,00 zł
1,00 zł
1,00 zł
20,00 zł
20,00 zł
5,00 zł
5,00 zł
5,00 zł
5,00 zł
5,00 zł
5,00 zł
5,00 zł
127
128
129
130
131
132
133
134
135
136
137
138
139
140
141
142
143
144
145
146
147
148
149
150
151
152
153
154
155
156
157
158
159
160
161
162
Aparat telelefoniczny
Aparat telelefoniczny
Aparat telelefoniczny
Aparat telelefoniczny
Aparat telelefoniczny
Aparat telelefoniczny
Aparat telefoniczny bezprzew.
Aparat telefoniczny bezprzew.
Aparat telelefoniczny
Aparat telelefoniczny
Aparat telelefoniczny
Aparat telelefoniczny
Aparat telelefoniczny
Aparat telelefoniczny
Aparat telelefoniczny
Aparat telelefoniczny
Aparat telelefoniczny
Aparat telelefoniczny
Aparat telelefoniczny
Aparat telefoniczny bezprzew.
Aparat telelefoniczny
Aparat telelefoniczny
Aparat telelefoniczny
Aparat telelefoniczny
Aparat telelefoniczny
Aparat telelefoniczny
Aparat telelefoniczny
Aparat telelefoniczny
Aparat telefoniczny bezprzew.
Aparat telefoniczny bezprzew.
Aparat telefoniczny bezprzew.
Aparat telefoniczny bezprzew.
Aparat telelefoniczny
Aparat telelefoniczny
Aparat telelefoniczny
Aparat telelefoniczny
W1410-0034
W1410-0050
W1410-0053
W1410-0056
W1410-0060
W1410-0069
2000
2002
2003
2003
2003
2003
99,00
69,00
82,43
82,43
82,43
82,43
100%
100%
100%
100%
100%
100%
zużyte
zużyte
zużyte
zużyte
zużyte
zużyte
NIE
NIE
NIE
NIE
NIE
NIE
aparat zużyty, niesprawny
aparat zużyty, niesprawny
5,00 zł
5,00 zł
5,00 zł
5,00 zł
5,00 zł
5,00 zł
W1410-0081
2003
258,00
100%
zużyte
NIE
aparat zużyty, niesprawny
15,00 zł
W1410-0088
W1410-0096
W1410-0097
W1410-0100
W1410-0104
W1410-0105
W1410-0106
W1410-0118
W1410-0119
W1410-0120
W1410-0122
W1410-0123
2004
2004
2004
2004
2005
2005
2005
2005
2005
2005
2005
2005
651,48
143,53
143,53
143,53
79,00
79,00
79,00
79,00
79,00
79,00
79,00
79,00
100%
100%
100%
100%
100%
100%
100%
100%
100%
100%
100%
100%
zużyte
zużyte
zużyte
zużyte
zużyte
zużyte
zużyte
zużyte
zużyte
zużyte
zużyte
zużyte
NIE
NIE
NIE
NIE
NIE
NIE
NIE
NIE
NIE
NIE
NIE
NIE
aparat zużyty, niesprawny
15,00 zł
5,00 zł
5,00 zł
5,00 zł
5,00 zł
5,00 zł
5,00 zł
5,00 zł
5,00 zł
5,00 zł
5,00 zł
5,00 zł
W1410-0125
W1410-0128
W1410-0130
W1410-0131
W1410-0132
W1410-0134
W1410-0140
W1410-0146
W1410-0148
2005
2005
2005
2005
2005
2005
2005
2005
2006
243,90
79,00
79,00
79,00
79,00
79,00
79,00
95,16
95,16
100%
100%
100%
100%
100%
100%
100%
100%
100%
zużyte
zużyte
zużyte
zużyte
zużyte
zużyte
zużyte
zużyte
zużyte
NIE
NIE
NIE
NIE
NIE
NIE
NIE
NIE
NIE
aparat zużyty, niesprawny
aparat zużyty, niesprawny
15,00 zł
5,00 zł
5,00 zł
5,00 zł
5,00 zł
5,00 zł
5,00 zł
5,00 zł
5,00 zł
W1410-0166
2006
380,00
100%
zużyte
NIE
aparat zużyty, niesprawny
15,00 zł
W1410-0167
2006
380,00
100%
zużyte
NIE
aparat zużyty, niesprawny
15,00 zł
W1410-0169
2006
380,00
100%
zużyte
NIE
aparat zużyty, niesprawny
15,00 zł
W1410-0170
W1410-0187
W1410-0188
W1410-0191
W1410-0218
2006
2007
2007
2007
2007
380,00
109,99
109,99
109,99
109,99
100%
100%
100%
100%
100%
zużyte
zużyte
zużyte
zużyte
zużyte
NIE
NIE
NIE
NIE
NIE
aparat zużyty, niesprawny
15,00 zł
5,00 zł
5,00 zł
5,00 zł
5,00 zł
aparat zużyty, niesprawny
aparat zużyty, niesprawny
aparat zużyty, niesprawny
aparat zużyty, niesprawny
aparat zużyty, niesprawny
aparat zużyty, niesprawny
aparat zużyty, niesprawny
aparat zużyty, niesprawny
aparat zużyty, niesprawny
aparat zużyty, niesprawny
aparat zużyty, niesprawny
aparat zużyty, niesprawny
aparat zużyty, niesprawny
aparat zużyty, niesprawny
aparat zużyty, niesprawny
aparat zużyty, niesprawny
aparat zużyty, niesprawny
aparat zużyty, niesprawny
aparat zużyty, niesprawny
aparat zużyty, niesprawny
aparat zużyty, niesprawny
aparat zużyty, niesprawny
aparat zużyty, niesprawny
aparat zużyty, niesprawny
aparat zużyty, niesprawny
aparat zużyty, niesprawny
163
164
165
166
167
W1410-0219
W1410-0220
W1410-0223
w1410-0223
W1410-0225
2007
2007
2007
2007
2007
109,99
109,99
109,99
109,99
109,99
100%
100%
100%
100%
100%
zużyte
zużyte
zużyte
zużyte
zużyte
NIE
NIE
NIE
NIE
NIE
aparat zużyty, niesprawny
w1410-0234
W1410-0246
W1410-0250
W1412-0020
W1412-0029
W1412-0054
W1412-0058
W1412-0067
W1412-0071
W1412-0077
W1412-0091
2008
2008
2008
1999
2004
2004
2004
2005
2005
2005
2005
331,84
189,04
189,00
145,00
180,72
175,68
175,68
205,00
205,00
205,00
205,00
100%
100%
100%
100%
100%
100%
100%
100%
100%
100%
100%
zużyte
zużyte
zużyte
zużyte
zużyte
zużyte
zużyte
zużyte
zużyte
zużyte
zużyte
NIE
NIE
NIE
NIE
NIE
NIE
NIE
NIE
NIE
NIE
NIE
aparat zużyty, niesprawny
Aparat telelefoniczny
Aparat telelefoniczny
Aparat radiowy
Aparat radiowy
Aparat radiowy
Aparat radiowy
Aparat radiowy
Aparat radiowy
Aparat radiowy
Aparat radiowy
179
Kserokopiarka E163
W1440-0160
2009
446,52
100%
zużyte
NIE
180
Kserokopiarka E163
W1440-0161
2009
446,52
100%
zużyte
NIE
181
Kserokopiarka E163
W1440-0162
2009
446,52
100%
zużyte
NIE
182
Biurko pod komputer
W0601-0103
2000
275,00
95%
zbędne
nie dotyczy
168
169
170
171
172
173
174
175
176
177
178
Aparat telelefoniczny
Aparat telelefoniczny
Aparat telelefoniczny
Aparat telelefoniczny
Aparat telelefoniczny
Aparat telefoniczny bezprzew.
aparat zużyty, niesprawny
aparat zużyty, niesprawny
aparat zużyty, niesprawny
aparat zużyty, niesprawny
aparat zużyty, niesprawny
aparat zużyty, niesprawny
aparat zużyty, niesprawny
aparat zużyty, niesprawny
aparat zużyty, niesprawny
aparat zużyty, niesprawny
aparat zużyty, niesprawny
aparat zużyty, niesprawny
aparat zużyty, niesprawny
aparat zużyty, niesprawny
urządznie wyeksploatowane,
niesprawne
urządznie wyeksploatowane,
niesprawne
urządznie wyeksploatowane,
niesprawne
zniszczony blat, mebel
wyeksploatowany
5,00 zł
5,00 zł
5,00 zł
5,00 zł
5,00 zł
15,00 zł
5,00 zł
5,00 zł
10,00 zł
10,00 zł
10,00 zł
10,00 zł
10,00 zł
10,00 zł
10,00 zł
10,00 zł
25,00 zł
25,00 zł
25,00 zł
15,00 zł