Strona 1

Transkrypt

Strona 1
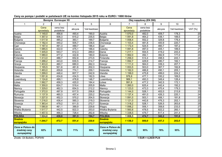
Ceny ex pompa i podatki w państwach UE na koniec listopada 2015 roku w EURO / 1000 litrów
Benzyna Eurosuper 95
1
Austria
Belgia
Bułgaria
Chorwacja
Cypr
Czechy
Dania
Estonia
Finlandia
Francja
Grecja
Hiszpania
Holandia
Irlandia
Litwa
Luxemburg
Łotwa
Malta
Niemcy
Portugalia
Rumunia
Słowacja
Słowenia
Szwecja
Węgry
Wielka Brytania
Włochy
POLSKA
Średnia
europejska
Cena w Polsce do
średniej ceny
europejskiej
2
Cena
sprzedaży
1 140,0
1 357,0
1 017,9
1 182,4
1 167,4
1 085,5
1 445,0
1 080,0
1 413,0
1 288,2
1 403,0
1 165,5
1 493,0
1 299,0
1 051,6
1 124,6
1 062,7
1 350,0
1 329,0
1 372,0
1 137,9
1 227,0
1 216,0
1 363,4
1 080,8
1 517,7
1 457,5
1 024,8
3
cena bez
podatków
456,6
506,3
485,2
440,2
491,3
422,0
543,7
477,2
486,7
443,0
460,7
501,6
459,8
448,4
434,6
499,1
458,3
624,7
462,3
497,9
460,3
452,3
436,4
479,2
461,1
442,5
466,3
438,6
1 244,7
82%
Olej napędowy (EN 590)
4
5
akcyza
Vat kwotowo
493,4
615,2
363,1
505,7
489,7
475,1
612,3
422,8
652,8
630,5
680,0
461,6
774,1
607,7
434,5
478,8
420,0
519,4
654,5
617,5
457,4
570,2
560,3
611,5
389,9
822,3
728,4
391,5
190,0
235,5
169,7
236,5
186,4
188,4
289,0
180,0
273,5
214,7
262,3
202,3
259,1
242,9
182,5
146,7
184,4
205,9
212,2
256,6
220,2
204,5
219,3
272,7
229,8
253,0
262,8
194,7
472,7
551,4
220,6
93%
71%
88%
6
Austria
Belgia
Bułgaria
Chorwacja
Cypr
Czechy
Dania
Estonia
Finlandia
Francja
Grecja
Hiszpania
Holandia
Irlandia
Litwa
Luxemburg
Łotwa
Malta
Niemcy
Portugalia
Rumunia
Słowacja
Słowenia
Szwecja
Węgry
Wielka Brytania
Włochy
POLSKA
Średnia
europejska
Cena w Polsce do
średniej ceny
europejskiej
Źródło: Oil Bulletin, POPiHN
7
Cena
sprzedaży
1 070,0
1 091,8
1 058,4
1 103,4
1 172,4
1 091,6
1 217,1
1 062,0
1 256,0
1 092,7
1 111,0
1 053,5
1 182,0
1 199,0
976,8
969,1
991,8
1 260,0
1 123,0
1 144,0
1 137,4
1 091,0
1 121,0
1 318,2
1 098,2
1 560,8
1 338,5
1 008,5
8
cena bez
podatków
482,0
464,2
552,2
481,8
524,5
497,0
554,5
492,1
514,4
429,9
564,0
503,0
486,8
475,8
477,1
493,3
477,2
625,4
473,3
528,1
491,0
503,1
442,6
528,1
506,1
478,5
479,7
474,7
9
10
11
akcyza
Vat kwotowo
VAT [%]
409,7
438,1
329,8
400,9
460,7
405,1
419,2
392,9
498,5
480,7
339,3
367,7
490,1
499,0
330,2
349,4
342,5
442,4
470,4
402,0
426,3
406,1
476,3
526,5
358,6
822,2
617,4
342,2
178,3
189,5
176,4
220,7
187,2
189,5
243,4
177,0
243,1
182,1
207,7
182,8
205,1
224,2
169,5
126,4
172,1
192,2
179,3
213,9
220,1
181,8
202,1
263,6
233,5
260,1
241,4
191,6
1 139,3
500,0
437,3
202,0
89%
95%
78%
95%
1 EUR = 4,2639 PLN
Strona 1
20
21
20
25
19
21
25
20
24
20
23
21
21
23
21
15
21
18
19
23
24
20
22
25
27
20
22
23
1 200,0
1 100,0
1 000,0
900,0
800,0
1 493,0
1 357,0
1 350,0
Belgia
Malta
Strona 2
1 024,8
1 017,9
POLSKA
Bułgaria
1 051,6
Litwa
1 080,0
Estonia
1 062,7
1 080,8
Węgry
Łotwa
1 085,5
Czechy
1 124,6
1 137,9
Rumunia
Luxemburg
1 140,0
1 165,5
Hiszpania
Austria
1 167,4
Cypr
1 182,4
1 216,0
Słowenia
Chorwacja
1 227,0
1 288,2
Francja
Słowacja
1 299,0
Irlandia
1 329,0
1 363,4
Szwecja
Niemcy
1 372,0
1 403,0
Grecja
Portugalia
1 413,0
Finlandia
1 445,0
1 300,0
Dania
1 400,0
1 457,5
1 500,0
Włochy
Holandia
1 517,7
1 600,0
Wielka Brytania
Ceny ex pompa EU95 w państwach UE na koniec listopada 2015 roku
EURO /1000 litrów
Strona 3
461,1
460,7
460,3
459,8
458,3
456,6
452,3
448,4
443,0
442,5
440,2
438,6
436,4
434,6
Węgry
Grecja
Rumunia
Holandia
Łotwa
Austria
Słowacja
Irlandia
Francja
Wielka Brytania
Chorwacja
POLSKA
Słowenia
Litwa
422,0
462,3
Niemcy
Czechy
466,3
Włochy
477,2
Estonia
485,2
Bułgaria
479,2
486,7
Finlandia
Szwecja
491,3
Cypr
497,9
Portugalia
300,0
499,1
350,0
Luxemburg
400,0
501,6
450,0
Hiszpania
500,0
506,3
550,0
Belgia
Dania
543,7
624,7
650,0
Malta
Ceny ex pompa EU95 netto w państwach Unii Europejskiej na koniec listopada 2015 roku
EURO / 1000 litrów
600,0
200,0
100,0
0,0
611,5
607,7
Szwecja
Irlandia
Strona 4
461,6
457,4
Hiszpania
Rumunia
363,1
359,0
359,0
Stawka UE min dla Polski
Stawka min dla UE
389,9
Węgry
Bułgaria
391,5
POLSKA
420,0
475,1
Czechy
Łotwa
478,8
Luxemburg
422,8
489,7
Cypr
Estonia
493,4
Austria
434,5
505,7
Chorwacja
Litwa
519,4
Malta
560,3
612,3
Dania
Słowenia
615,2
Belgia
570,2
617,5
Portugalia
Słowacja
630,5
652,8
300,0
Finlandia
400,0
654,5
500,0
Niemcy
600,0
Francja
774,1
822,3
728,4
680,0
700,0
Grecja
Włochy
Holandia
Wielka Brytania
800,0
Akcyza dla EU95 w państwach UE na koniec listopada 2015 roku
EURO / 1000 litrów
100,0
50,0
0,0
259,1
256,6
253,0
Holandia
Portugalia
Wielka Brytania
Strona 5
188,4
186,4
184,4
182,5
180,0
Czechy
Cypr
Łotwa
Litwa
Estonia
Luxemburg
146,7
169,7
190,0
Austria
Bułgaria
194,7
202,3
Hiszpania
POLSKA
204,5
212,2
Niemcy
Słowacja
214,7
Francja
205,9
219,3
Słowenia
Malta
220,2
Rumunia
229,8
235,5
Belgia
Węgry
236,5
Chorwacja
242,9
262,3
Grecja
Irlandia
262,8
Włochy
272,7
150,0
Szwecja
200,0
273,5
250,0
Finlandia
289,0
300,0
Dania
Podatek VAT dla EU95 w państwach UE na koniec listopada 2015 roku
350,0
EURO / 1000 litrów
506,3
Belgia
cena bez podatków
Strona 6
akcyza
456,6
460,3
Austria
Rumunia
VAT
458,3
434,6
438,6
Łotwa
Litwa
POLSKA
485,2
477,2
Estonia
Bułgaria
461,1
422,0
Węgry
Czechy
499,1
501,6
Hiszpania
Luxemburg
491,3
440,2
Chorwacja
Cypr
436,4
Słowenia
452,3
Słowacja
443,0
Francja
472,7
448,4
Irlandia
Średnia europejska
462,3
Niemcy
624,7
479,2
Szwecja
363,1
391,5
434,5
420,0
422,8
389,9
475,1
478,8
457,4
493,4
461,6
489,7
505,7
560,3
570,2
551,4
630,5
607,7
654,5
519,4
615,2
611,5
617,5
680,0
652,8
612,3
728,4
774,1
70%
Malta
497,9
460,7
Grecja
Portugalia
486,7
543,7
Finlandia
Dania
466,3
Włochy
0%
459,8
20%
Holandia
10%
822,3
60%
442,5
169,7
194,7
182,5
184,4
180,0
229,8
188,4
146,7
220,2
190,0
202,3
186,4
236,5
219,3
204,5
220,6
214,7
242,9
212,2
205,9
235,5
272,7
256,6
262,3
273,5
289,0
262,8
259,1
253,0
90%
Wielka Brytania
Struktura cen ex pompa EU95 w państwach UE na koniec listopada 2015 roku
100%
80%
50%
40%
30%
1 000,0
900,0
800,0
700,0
600,0
1 318,2
Strona 7
991,8
976,8
969,1
Łotwa
Litwa
Luxemburg
1 008,5
1 053,5
Hiszpania
1 500,0
POLSKA
1 058,4
1 091,0
Słowacja
Bułgaria
1 091,6
Czechy
1 062,0
1 091,8
Belgia
Estonia
1 092,7
Francja
1 070,0
1 098,2
Węgry
Austria
1 103,4
1 121,0
Słowenia
Chorwacja
1 123,0
Niemcy
1 111,0
1137,4
Rumunia
Grecja
1 144,0
1 172,4
Cypr
Portugalia
1 182,0
1 199,0
1 217,1
Holandia
Irlandia
Dania
1 256,0
1 100,0
Finlandia
1 200,0
1 260,0
1 300,0
Malta
Szwecja
1 338,5
1 400,0
Włochy
Wielka Brytania
1 560,8
1 600,0
Ceny ex pompa ON w państwach UE na koniec listopada 2015 roku
EURO / 1000 litrów
400,0
350,0
300,0
524,5
Cypr
Strona 8
491,0
486,8
482,0
481,8
479,7
478,5
477,2
477,1
475,8
474,7
473,3
Rumunia
Holandia
Austria
Chorwacja
Włochy
Wielka Brytania
Łotwa
Litwa
Irlandia
POLSKA
Niemcy
Francja
Słowenia
429,9
442,6
464,2
492,1
Estonia
Belgia
493,3
Luxemburg
503,0
Hiszpania
497,0
503,1
Słowacja
Czechy
506,1
Węgry
514,4
528,1
Szwecja
Finlandia
528,1
Portugalia
552,2
450,0
Bułgaria
500,0
554,5
550,0
Dania
564,0
600,0
Grecja
625,4
650,0
Malta
Ceny ex pompa ON netto w państwach Unii Europejskiej na koniec listopada 2015 roku
EURO / 1000 litrów
Strona 9
342,2
339,3
330,2
330,0
330,0
329,8
POLSKA
Grecja
Litwa
Stawka UE min dla Polski
Stawka min dla UE
Bułgaria
392,9
Estonia
342,5
400,9
Chorwacja
Łotwa
402,0
Portugalia
349,4
405,1
Czechy
Luxemburg
406,1
Słowacja
358,6
409,7
Austria
Węgry
419,2
Dania
367,7
426,3
Rumunia
Hiszpania
438,1
460,7
Cypr
Belgia
470,4
Niemcy
442,4
476,3
Słowenia
Malta
480,7
Francja
0,0
490,1
100,0
Holandia
200,0
498,5
300,0
Finlandia
400,0
499,0
500,0
Irlandia
526,5
600,0
Szwecja
Włochy
Wielka Brytania
617,4
700,0
822,2
Akcyza dla ON w państwach UE na koniec listopada 2015 roku
EURO / 1000 litrów
0,0
260,1
220,1
Rumunia
Strona 10
189,5
189,5
187,2
182,8
182,1
181,8
179,3
178,3
177,0
176,4
172,1
169,5
Belgia
Czechy
Cypr
Hiszpania
Francja
Słowacja
Niemcy
Austria
Estonia
Bułgaria
Łotwa
Litwa
Luxemburg
191,6
POLSKA
202,1
Słowenia
192,2
205,1
Holandia
Malta
207,7
Grecja
213,9
220,7
Chorwacja
Portugalia
224,2
233,5
Irlandia
Węgry
241,4
50,0
Włochy
100,0
243,1
126,4
150,0
Finlandia
200,0
243,4
250,0
Dania
Wielka Brytania
263,6
300,0
Szwecja
Podatek VAT dla ON w państwach UE na koniec listopada 2015 roku
EURO / 1000 litrów
cena bez podatków
500,0
491,0
473,3
442,6
Średnia europejska
Rumunia
Niemcy
Słowenia
Strona 11
akcyza
482,0
Austria
VAT
503,0
474,7
477,2
477,1
493,3
POLSKA
Łotwa
Litwa
Luxemburg
552,2
Hiszpania
Bułgaria
492,1
503,1
Słowacja
Estonia
497,0
464,2
Czechy
Belgia
429,9
506,1
Węgry
Francja
481,8
Chorwacja
564,0
528,1
Portugalia
Grecja
524,5
Cypr
486,8
554,5
514,4
Holandia
0%
475,8
10%
Irlandia
Dania
Finlandia
30%
625,4
528,1
479,7
442,4
349,4
330,2
342,5
342,2
367,7
329,8
392,9
409,7
406,1
405,1
438,1
480,7
358,6
400,9
339,3
476,3
470,4
426,3
437,3
402,0
460,7
490,1
499,0
419,2
498,5
526,5
617,4
70%
Malta
Szwecja
Włochy
20%
822,2
60%
478,5
126,4
169,5
172,1
191,6
182,8
176,4
177,0
178,3
181,8
189,5
189,5
182,1
233,5
220,7
207,7
202,1
179,3
220,1
202,0
213,9
187,2
205,1
224,2
243,4
243,1
192,2
263,6
241,4
260,1
90%
Wielka Brytania
Struktura cen ex pompa ON w państwach UE na koniec listopada 2015 roku
100%
80%
50%
40%