ogłoszenie o wyniku 46 - ENERGA

Transkrypt

ogłoszenie o wyniku 46 - ENERGA
ENERGA – OPERATOR SA. Oddział w
Gdańsku
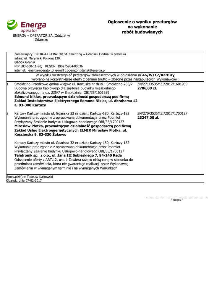
Ogłoszenie o wyniku przetargów
na wykonanie
robót budowlanych
Zamawiający: ENERGA-OPERATOR SA z siedzibą w Gdańsku Oddział w Gdańsku
adres: ul. Marynarki Polskiej 130,
80-557 Gdańsk
NIP 583-000-11-90; REGON: 190275904-00036
internet: energa-operator.pl e-mail : [email protected]
1
2
W wyniku rozstrzygnięć przetargów zamieszczonych w ogłoszeniu nr 46/W/17/Kartuzy
wybrano najkorzystniejsze oferty z cenami brutto – złożone przez następujących Wykonawców:
Smołdzino Przodkowo gmina wiejska ul. Kartuska nr dział.: Smołdzino-235/7 ZN/271/3535MZI/2017/1601959
Budowa przyłącza kablowego dla zasilenia budynku mieszkalnego
2706,00 zł.
zlokalizowanego na dz. 235/7 w Smołdzinie. OBI/35/1601959
Edmund Niklas, prowadzącym działalność gospodarczą pod firmą
Zakład Instalatorstwa Elektrycznego Edmund Niklas, ul. Abrahama 12
a, 83-300 Kartuzy
Kartuzy Kartuzy miasto ul. Gdańska 32 nr dział.: Kartuzy-180, Kartuzy-182
Wykonanie prac zgodnie z opracowaną dokumentacja przez Podmiot
Przyłączany Zasilanie budynku Usługowo-handlowego OBI/35/1700127
Mirosław Płotka, prowadzącym działalność gospodarczą pod firmą
Zakład Usług Elektroenergetycznych ELMIR Mirosław Płotka, ul.
Kościerska 9, 83-330 Żukowo
ZN/270/3535MZI/2017/1700127
23247,00 zł.
Kartuzy Kartuzy miasto ul. Gdańska 32 nr dział.: Kartuzy-180, Kartuzy-182
Wykonanie prac zgodnie z opracowaną dokumentacja przez Podmiot
Przyłączany Zasilanie budynku Usługowo-handlowego OBI/35/1700127
Teletronik sp. z o.o., ul. Jana III Sobieskiego 7, 84-240 Reda
Odrzucenie oferty z ART.12, ust. 1 Zawiera rażąco niską cenę w stosunku do
przedmiotu zamówienia, która nie gwarantuje realizacji przez Wykonawcę
Zamówienia w wymaganym terminie i na wymaganych Warunkach.
Sporządził(a): Tadeusz Kalkowski
Gdańsk, dnia 07-02-2017
.........................................................................
/ podpis /